对抗网络环境下的高阶多智能体事件驱动控制
doi: 10.7641/CTA.2024.20814
郑维 , 傅乐平 , 王洪斌
燕山大学电气工程学院, 河北 秦皇岛 066004 ; 燕山大学河北省智能康复及神经调控重点实验室, 河北 秦皇岛 066004
基金项目: 国家自然科学基金项目(62203379), 河北省自然科学基金项目(F2021203083, F2021203104, QN2021138), 河北省重点研发计划项目(21372001D), 河北省创新能力提升计划项目(22567619H), 河北省杰出青年基金项目(F2021203033), 燕山大学基础创新科研培育项目企业联合基金专项项目 (2024LGQL006)资助.
High-order multi-agent event-driven control in adversarial network environment
ZHENG Wei , FU Le-ping , WANG Hong-bin
College of Electrical Engineering, Yanshan University, Qinhuangdao Hebei 066004 , China ; Key Laboratory of Intelligent Rehabilitation and Neromodulation of Hebei Province, Yanshan University, Qinhuangdao Hebei 066004 , China
Funds: Supported by the National Natural Science Foundation of China (62203379), the National Natural Science Foundation of Hebei Province (F2021203 083, F2021203104, QN2021138), the Key Research and Development Program of Hebei Province (21372001D), the Innovation Ability Promotion Plan Project of Hebei Province (22567619H), the Natural Science Foundation for Distinguished Young Scholars of Hebei Province (F2021203033) and the Enterprise Joint Fund Special Project of Basic Innovation and Research Cultivation Project of Yanshan University (2024LGQL006).
摘要
本文为了解决通讯拓扑图为结构平衡无向拓扑图的条件下, 存在对抗网络的多智能体系统中的事件驱动控制问题, 通过状态反馈信息设计静态事件触发条件, 同时结合自适应控制方法, 提出一种基于静态事件触发机制的分布式控制策略. 该控制策略减少了控制器的更新频次, 缓解了系统的通信压力. 文中采用Lyapunov稳定性理论, 证明了在该控制策略下, 存在输入非线性扰动的多智能体系统状态在固定时间内能够工作在二部一致状态, 且系统内不存在Zeno行为, 同时也避免了由初始状态随机变化引发的系统收敛时间不确定的问题. 最后, 仿真结果表明该分布式控制策略具有良好的控制性能.
Abstract
In order to solve the problem of event-driven control in multi-agent systems with adversarial networks under the condition that the communication topology is a structurally balanced undirected topology, this paper designs static event-triggered conditions through state feedback information. At the same time, combined with adaptive control methods, a distributed control strategy based on static event-triggered mechanism is proposed. The control strategy reduces the update frequency of the controller and relieves the communication pressure of the system. Based on the Lyapunov stability theory, it is proved that the state of the multi-agent system with input nonlinear disturbance can work in the bipartite consensus state in a fixed time under the control strategy, and there is no Zeno behavior in the system. At the same time, it avoids the problem of uncertain convergence time caused by the random change of initial state. Finally, the simulation results show that the distributed control strategy has good control performance.
1 引言
在过去的几年里,随着无线通信技术的发展,多智能体系统协同控制技术被广泛的应用于多机器人群体控制、智能交通、智能电网和分布式传感器网络等领域 [1-4] . 一致性问题作为多智能体协同控制研究中的基本的问题,长期以来被诸多学者广泛研究. 一致性控制的目标是根据各个智能体之间的通讯网络拓扑设计控制算法,使所有智能体的状态通过局部的信息交互达到一个共同的值. 在过去的一段时间里,国内外的众多学者从智能体间的协同作用入手,取得了丰硕的研究成果. 例如文献 [5] 中Khalid等人提出了一种新的重复博弈策略,来强化智能体之间的协同作用. Mezgebe等人 [6] 针对多智能体的制造系统提出了一种新的算法来增强系统的抗扰能力. Pu等人 [7] 针对异构多智能体系统,考虑了自适应调节、加权分布、系统状态等因素,结合复频率分析方法提出了一种基于自适应的一致性控制器. Shang等人 [8] 研究了具有未知参数和非线性不确定性的高阶系统的一致性跟踪控制问题. 利用改进的功率积分器方法,提出了一种新的利用改进的功率积分器的鲁棒的固定时间一致性跟踪算法. 上述文献均基于智能体间的协同作用对一致性问题进行了深入的研究.
在实际应用中,复杂系统各个智能体之间不止存在合作(协同)关系,例如现实的网络化系统中,机器人之间会发出抑制对方动作的信号,此时该系统中既存在合作关系又存在竞争关系,可称其为合作竞争系统. 面对存在对抗网络的系统,传统的基于协同作用的控制器将不再适用,因此二部控制器受到越来越多的学者的重视. 合作竞争系统达到的一致性称为二部一致性 [9-10],即将系统划分为两组,两组最终达到一致的状态是数值相同符号相反的.2012年,Altafini [11] 在研究存在对抗网络的系统时,提出了符号图中的智能体怎样通过分布式协议实现一致,及其可达到何种程度的一致的疑问,并提出了二部一致问题. 近几年,众多学者针对存在网络对抗的多智能体系统控制问题问题进行研究,设计了自适应一步间歇性二部一致控制器 [12]、异步脉冲控制器 [13]、基于状态反馈的异构多智能体系统分布式控制器 [14]、基于神经网络的分布式控制器 [15] 等.
通过众多学者对多智能体系统有限时间一致性控制问题的研究,可以得知有限时间稳定控制器虽然可以令系统具有更快的收敛速度以及更强的抗干扰能力,然而会令各智能体的动态特性会受到初始状态的影响 [16] . 在输出调节方法的基础上,还需要考虑具有不同初始状态的多智能体系统的有限时间输出一致性问题. 因此,有限时间稳定控制器相比于固定时间稳定控制器有更多的局限性. 而Hao等人 [17] 针对线性系统设计了新型的分布式固定时间输出二部一致性控制器,使稳定时间与智能体的初始状态无关,更具有工业应用前景.
此外通过对多智能体应用问题的研究中可以得知,系统野外工作环境复杂且通讯带宽有限,个体间的连续通讯不仅占用了更多的通讯资源,而且容易造成能量消耗,不利于系统的稳定使用. 以无人机群为例,单个无人机所存储的能量有限,而智能体控制器持续的更新将导致巨大的通信成本和能源浪费. 相比较于传统的固定时间间隔触发机制,事件触发具有使控制器更新更加灵活,数据传输效率更高的特点,因此在过去几年引起了大量关注 [18-19] . 例如Sun等人 [20] 针对具有噪声和时延的多智能体系统,设计了事件触发控制器使系统实现均方一致. Deng等人 [21] 也结合扰动补偿技术,针对欧拉—拉格朗日系统提出了新的控制器,并在不利用速度信息的情况下构造了事件触发控制算法. 事件触发控制器的相关研究一直被不断地完善.
本文将从网络拓扑的角度,结合协同网络控制的研究中使用的图论和线性代数论等理论,以提高通讯效率减少系统能耗为目的,研究在无向符号图下,基于静态事件触发的高阶多智能体系统的固定时间二部一致性问题. 网络拓扑图被扩展到符号图的情况下,当权重的符号为负时则代表智能体之间是竞争关系. 根据系统一致性研究中基于状态误差设计控制器的思想,文章中提出了一种新的事件驱动的固定时间自适应控制器,实现多智能体网络系统的固定时间二部一致控制,并使系统的稳定时间与智能体的初始状态无关. 此外,通过推导出执行间隔的正下界,证明触发机制不存在Zeno行为.
注 1 定义Rn×nn × n维空间矩阵集合,Rnn维实向量集合,INN × N单位矩阵,⊗表示克罗内克积, 表示Forbenius范数,∞表示向量的无穷范数,sgn(·)表示符号函数,diag{·}表示对角矩阵,向量运算符号|xi|与(xik分别表示为 |xi| = [|xi1| |xi2| · · · |xin|] T,(xik = [(xi1kxi2k · · ·(xink ] T,矩阵或向量AA ′式表示对矩阵或向量 A求导,1nn维单位向量.
2 准备工作及问题描述
2.1 准备工作
文章中使用加权无向图G =(VEA)模型来描述系统的通讯拓扑图,其中N个智能体组成的节点集用集合V = {v1v2,· · ·,vN }来表示,EV ×V 表示边的集合,A = [aij ] ⊆ RN×N来表示符号图G的加权邻接矩阵. 当第i个智能体与第j个智能体之间能够进行信息交互,即(vivj )∈ E,那么权值aij ≠ 0,否则为aij = 0. 当aij >0时表示智能体ij之间为合作关系,当aij <0时,表示智能体ij之间为对抗关系. 本文不考虑含有自环的系统,对∀viVaii = 0. 对于无向符号图G,如果图中任意两个节点之间存在一条路径,则称图G为连通图. 图G的Laplacian矩阵L 的定义为
lii=j=1N aij,lij=-aij,ij.
(1)
定义 1 对于符号图G,如果存在两个节点集V1 V2,满足V1V2 =V1V2 =V 使得对于∀vivjVp vj Vqqp ∈ {1,2})条件下满足 aij >0,对于∀vi Vp条件下满足aij ≤ 0,那么符号图G被称为结构平衡图,否则被称为结构不平衡图 [11] .
引理 1 符号图G是结构平衡的,必定存在对角矩阵 D = diag{d1d2,· · ·,dN },di ∈ {−1,1},使得 DAD中所有的元素非负 [11] .
引理 2 对于符号图 G 的Laplacian矩阵 L,令 λKL),k = 1,2,· · ·,N表示矩阵L的第k个特征值. 当符号图G连通且结构平衡时则存在:
1)自然数0是矩阵L 的一个特征值,非零特征值λiL),i>1具有正实部,即0=λminL)=λ1L)<· · · <λNL).
2)Laplacian矩阵L的最小非零特征值λ2L)满足: λ2L)= minxTLxxTxx01nTx=0,其中特征值 λ2L)被称为图G的代数连通度.
定义 2 当被控系统在控制器uit)的作用下从任意初始值xi(0)出发,最终能达到稳定状态,且稳定时间T ∈(0,+∞)不依赖于初始状态值,此外系统稳定时系统状态值满足式(2)所示关系:
xj(t)-sgnaijxi(t)ε,tT,
(2)
则称该在多智能体系统在固定时间内实现二部一致,其中: xi xjV ε为大于零常数 [22] .
引理 3 对于一个标量系统,存在Lyapunov函数 V 满足关系式
V˙(t)=-aVα(t)-bVβ(t)+c,
(3)
则该标量系统能在固定时间内稳定,式中参数abc 为大于零的常数,参数αβ满足α ∈(0,1),β >1,系统稳定时间为
Tx0Tmax=1aκ(1-α)+1bκ(β-1),
(4)
式中参数κ满足0 <κ <1,系统收敛域为
limtT x(t)Vmina1,b1,
(5)
其中:a1=a-1αc1-κ1αb1=b-1βc1-κ1β.引理 3在文献 [23-24] 中详细证明.
事件触发机制相对于传统的按时间周期触发的触发机制有很大的优越性. 该机制根据设计的事件触发条件进行触发,当系统满足条件时,控制器在触发器的作用下会进行更新. 从而在保证系统性能的前提下,不仅能减少控制器的更新频次,同时还能降低系统的能耗,提高系统通讯效率. 因此在应对资源有限的微处理器与带宽有限的网络时,事件触发技术的应用愈发重要.
静态事件触发机制的类型根据阈值项是否与系统状态有关可分为以下3种: 状态无关、全状态依赖和混合型. 本文主要讨论全状态依赖的静态事件触发机制.在文献 [25] 中提出如下定律来确定事件触发时间序列:
t i 1 = 0 , t i k + 1 = max e i 2 ( t ) σ i 4 l i i ϖ i ( t ) .
(6)
在式(6)中满足条件rtikttikrσi0,1ϖit=-12j=1n lijxjt-xit20.
注 2 Zeno现象指在事件触发控制中,控制器在有限时间内被无限次更新的现象. 出现Zeno现象说明触发条件不断地满足,即触发函数设计不合理. 该现象将会使系统的能耗增加,与引入事件触发机制以节省通信资源的目的相悖. 能否排除Zeno现象是判断事件触发器设计的是否成功的重要条件.
引理 4 假设ξ1ξ2,· · ·,ξN >0且p0 ∈(0,1],则存在不等式
i=1N ξip0i=1N ξip0.
(7)
引理 5 假设ξ1,· · ·,ξN >0且p1 ∈(1,+∞)则存在不等式:
i=1N ξip1N1-p1i=1N ξip1.
(8)
引理4–5在文献 [23] 中详细证明.
2.2 问题描述
本文中所考虑的被控系统为N个高阶线性智能体组成的时变系统,即
x ˙ i ( t ) = A x i ( t ) + B u i ( t ) + r i ( t ) , y i ( t ) = C x i ( t ) ,
(9)
其中:xt=x1TtxNTtTARn×n是同构智能体i的系统矩阵,选取输入矩阵B为所有特征值非负的n阶对角矩阵,xitRnuitRn分别代表着第i个智能体的状态和控制输入, rit)是智能体i存在的n阶有界扰动,存在ritΔ1n,其中∆ >0.
为提高系统稳态性能,在控制器uit)中引入自适应参数υij进行调节,即
vij(t)=aijxj(t)-sgnaijxi(t)j'Ni xj'(t)-sgnaij'xi(t).
(10)
下文中υijt)简写为υij,结合式(11),设计智能体 i的固定时间分布式时变控制器为
νi(t)=c1ωi(t)2-pq+c2ωi(t)pq+c3ωi(t),
(11)
其中:ωit=j=1N aij+vijxjt-sgnaijxiti=1,2N; pq为正奇数且满足p <q; 参数c1c2c3为大于零常数; sgn(·)为符号函数.
结合静态事件触发器设计智能体i的事件触发控制器为
ui(t)=νitik
(12)
其中: tik 表示智能体ik次事件触发时刻,xitik)表示智能体ik次事件触发时刻的状态. 定义系统测量误差Eit)为
Ei(t)=ui(t)-νi(t)
(13)
其中:Ei=Ei1tEiNtTE=E1tENtT.结合式(12)–(13),控制器uit)可表示为
ui(t)=c1wi(t)2-pq+c2wi(t)pq+c3wi(t)+Ei(t)
(14)
3 主要结果
文章中参考式(6)的触发思想设计事件触发器,并证明在所设计的触发器触发下,系统能在固定时间内达到二部一致的稳定状态,且不存在Zeno现象.
定理 1 当存在任意正定矩阵 Q0 满足条件 AT + A + Q0 = 0,且系统输入矩阵B的特征值满足 λminB)− λmaxBεmax >0,参数εmax为大于0的常数,假设多智能体系统的通讯拓扑图G为不定向结构平衡图,考虑系统式(9)在控制器(10)的作用下,静态事件触发器如下所示:
gih(t)=-εic1Yih(t)2-pq-ϑiYih(t)+Eih(t),
(15)
其中:Yiht=j=1N aij+vijxjht-sgnaijxiht; 向量git=gi1tgi2tgintT; 常数εi∈(0,1),向量ε=[ε1 · · · εN ] T; 常数ϑi >0. 当git)>0时,uit)进行更新,此时在任意初始条件下,多智能体系统(9)均能实现固定时间二部一致性,稳定时间为
T2qc1κY1Np-q2qY23q-p2q(q-p)+2qc2κλmin(B)Y2q+p2q(q-p),
(16)
其中:
Y1=λmin (B) -λmax (B) εmax, Y2=21+kmin'21+kmax'λ2 (L) , εmax=maxεi,
kmin'kmax'为常数. 具体证明过程见附录部分.
定理 2 当智能体之间通讯拓扑图G为无向连通图时,多智能体系统(9)在控制器(12)及触发器(15)的作用下有限时间内达到二部一致时不存在Zeno现象.
wt)=[w1t w2t)· · · wit)· · · wN t)]Tψt)=Et/w 2−p/qt,下列式子中ψt)简写为ψEt)简写为 Ewt)简写为w,在每个时间段 [tktk+1)内有
ψ˙= (E) T (E) 'E/w2-p/q-Ew2-p/qTw2-p/q'w2-p/q3
E'w2-p/q+Ew2-p/q'w2-p/q2=
c1w2-p/q'+c2wp/q'+c3w'w2-p/q+
ψw2-p/q'w2-p/q.
(17)
因为ψt)大于0,且参数c1c2c3为大于零常数,则可进一步推导出
ψ˙ (1+ψ) 1+c1w2-p/q'w2-p/q+
(1+ψ) c2wp/q'+c3w'w2-p/q
(1+ψ) w'w2-p/q1+c12-pqw1-p/q+
(1ψ)w'w2-p/qc2(p/q)wp/q-1+c3.
(18)
W0=diagw111-p/q, w121-p/q, , wij1-p/q, , wNn1-p/q,
W1=diagw11p/q-1, w12p/q-1, , wijp/q-1, , wNnp/q-1,
结合引理4–5可推导出
ψ˙(1+ψ)LY1(t)ψ+Y2(t)LY1(t)1+ψ+Y2(t)2
(19)
其中:
Y1 (t) =1+c1 (2-p/q) w1-p/q+c2 (p/q) w1-p/q+c3,
Y2 (t) =c1w2-p/q+c2wp/q+c3ww2-p/q.
结合引理2以及定理1中所选Lyapunov函数可以得出
i=1N wiTwi=1+k'2x~TLInx~
λN (L) 1+k'2x~Tx~=
2λN(L)V(t)2λN(L)V(0)
(20)
x~=LIn12x,从式(20)可得w的范数w满足
w2λN(L)V(0),
(21)
因此可得出结论: 式LY1t)与(1 + Y2t))必定存在最大值; 假设其最大值分别为 η1η2,代入式(19)中,整理可得
ψ˙η1ψ+η22
(22)
函数ϕitϕ0i)为下列式子的解:
ϕ˙iη1ϕi+η22
(23)
ϕi0ϕ0iϕ0i,结合式(22)–(23)可知ψit)满足
ψi(t)ϕit,ϕ0i
(24)
通过对式(24)求解可得函数ϕiτi,0)满足
ϕiτi,0τiη1η221-τiη1η2
(25)
其中参数τi表示智能体i的最小时间触发间隔,由事件触发条件可知在事件触发时刻tik,事件触发函数git)= 0. 此时有
Eiwi2-p/qεminc1,
(26)
其中εmin =min{ε1ε2,· · ·,εN },根据式(24)–(26)可得
ϕiτi,0εminc1,
(27)
结合式(25)和式(27)得出触发间隔
τiεminc1η1η22+εminc1η1η2,
(28)
由于事件触发时间间隔τi存在正下界,因此可以判断触发机制不存在Zeno行为. 证毕.
4 仿真验证
在这一部分中,将通过数值仿真来对定理1以及定理2进行进一步的验证. 仿真实验中选取的被控对象为8个智能体组成的无领导者系统,多智能体系统的通讯拓扑如图1所示,其中“+”表示智能体之间为协同关系,“−”表示智能体之间为对抗关系.
选取i的系统矩阵A、输入输出矩阵BC分别为
A=-30-0.80-41-0.81-0.465,B=C=1 0 00 1 00 0 1.
(29)
系统通讯拓扑图如图1所示为含有对抗网络的全连通无向符号拓扑图,对该系统采用分布式控制策略. 其中智能体 iV1i = 1,2,3,7,智能体 i V2i = 4,5,6,8,V1 V2 = V1V2 = V .
1通讯拓扑图
Fig.1Communication topology diagram
选定各个智能体的初始工作状态,根据通讯拓扑图可推导出系统的Laplacian矩阵,计算系统通讯拓扑图1的Laplacian矩阵的特征值为: λ1L)= 0,λ2L)= 0.074 8,λ3L)= 0.127 4,λ4L)= 0.263 7,λ5L)= 0.314 5,λ6L)= 1.040 9,λ7L)= 1.331 5,λ8L)=1.6473.
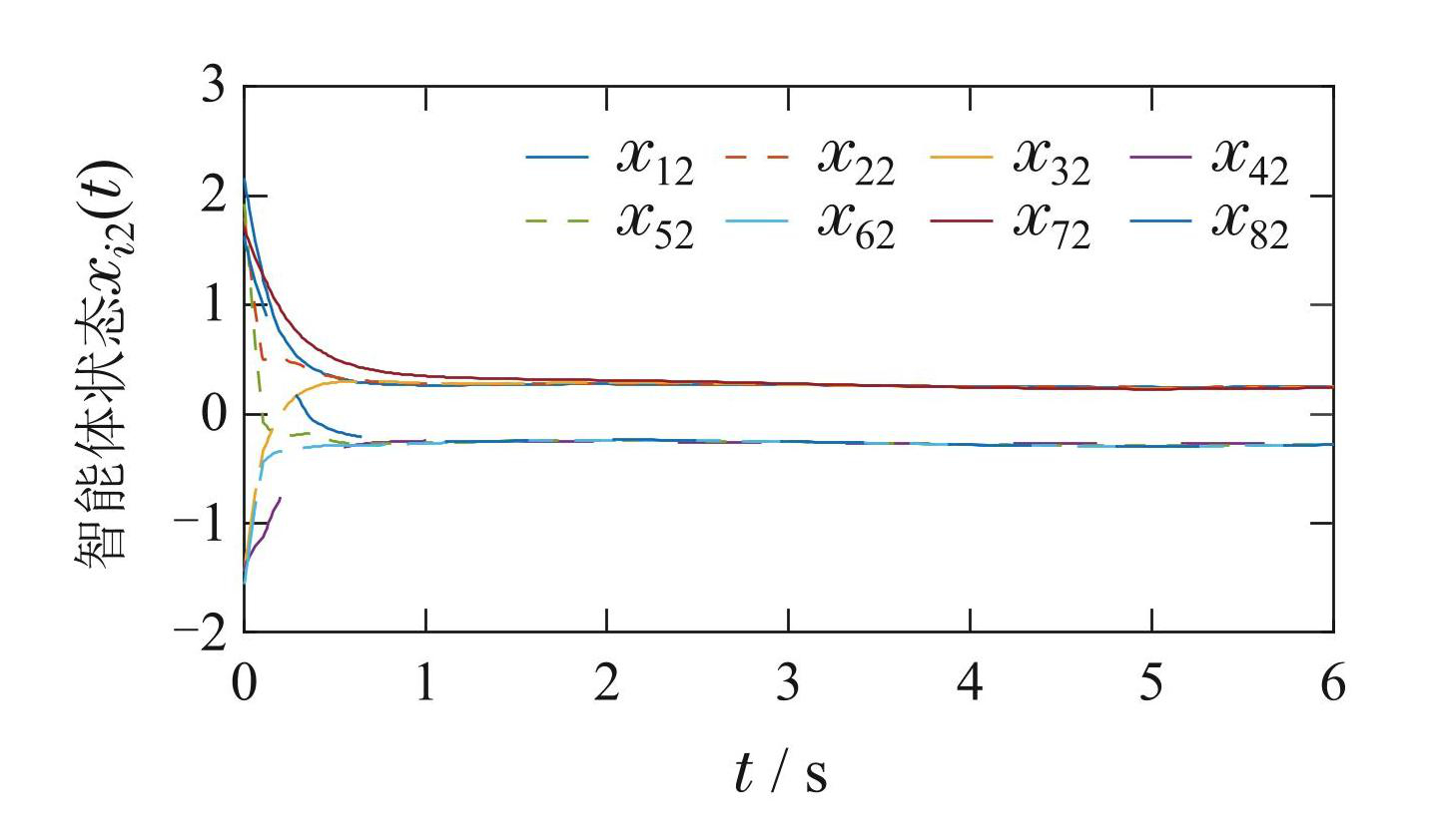
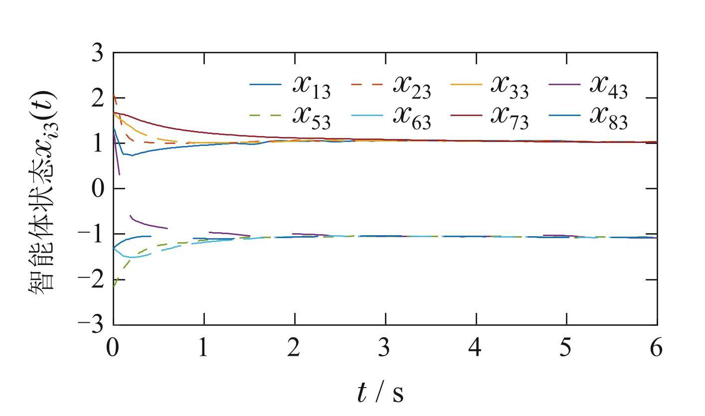
对所设计的事件触发控制器进行仿真验证证明其有效性,选取系统控制器中的常量参数分别为: ε = [0.9 0.9 0.9 0.9 0.9 0.9 0.9 0.9]Tq = 5,p = 3,c1 = 1.8,c2 = 0.8,c3 = 3.5,图2–4表示各智能体在不引入自适应参数的事件触发控制器的作用下系统状态变化曲线,从图中可知该智能体系统在系统受到外部正弦扰动干扰的情况下,最终能够达到二部一致.
2智能体i状态1变化曲线
Fig.2State1 change curve of agent i
3智能体i状态2变化曲线
Fig.3State2 change curve of agent i
4智能体i状态3变化曲线
Fig.4State3 change curve of agent i
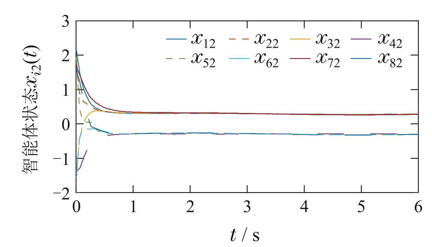
图5–7表示各智能体在引入了自适应参数的事件触发控制器的作用下系统的状态变化曲线. 从状态变化曲线可知在各智能体系统受到外部正弦扰动干扰的情况下,控制器对多智能体系统的调控能力显著提升,初期对系统的调控变得更加剧烈使得系统的收敛时间更短且抗干扰能力更强,相比较于不含有自适应参数的控制器更适合应用于含有各类噪声信号的工业环境.
5引入自适应参数后智能体i状态1变化曲线
Fig.5State1 change curve of agent i after introducing adaptive parameters
6引入自适应参数后智能体i状态2变化曲线
Fig.6State2 change curve of agent i after introducing adaptive parameters
7引入自适应参数后智能体i状态3变化曲线
Fig.7State3 change curve of agent i after introducing adaptive parameters
通过对比多智能体系统在固定时间触发和静态事件触发机制式(15)下的触发次数的差别,可得出结论: 多智能体系统在只满足事件触发条件时才进行通讯比起按固定周期触发所进行的触发次数更少. 进一步证明所选触发机制能够达到减少通信能耗节约能源的目的. 表1图8分别给出在静态事件触发机制式(15)下,8个智能体不引入自适应参数时的事件触发的次数与时间间隔图.
1智能体触发次数对比
Table1Comparison of trigger times of agents
8智能体触发时间间隔
Fig.8Agent trigger time interval
表2图9分别给出在静态事件触发机制式(15)下,8个智能体引入自适应参数时的事件触发的次数与时间间隔图. 由表2以及图9可知,引入自适应参数后,系统对状态的调控更为剧烈.
2引入自适应参数后智能体触发次数对比
Table2Comparison of trigger times of agents after introducing adaptive parameters
9引入自适应参数后智能体触发时间间隔
Fig.9The trigger time interval of the agent after the introduction of adaptive parameters
5 结论
本文考虑的被控对象为存在未知外部扰动的高阶无领航者多智能体系统,所研究系统的通讯拓扑图为结构平衡且含有对抗网络的无向符号图,并且针对该系统设计了基于静态事件触发的事件触发控制器,所采用的事件触发机制存在最小时间间隔能够排除 Zeno行为. 相比于仅考虑协同作用的分布式控制器,本文所提出的固定时间二部一致分布式控制器更具有普适性. 此外事件触发控制与固定时间触发控制相比更加节约能量,同时也更加合理的使用了有限的通讯带宽.
与有限时间一致性控制器相比,本文所提出的控制器解决了由于系统初始状态随机变化而导致的收敛时间不确定的问题,使系统的收敛时间不再与系统的初始状态有关,只与多智能体网络拓扑结构、控制器的参数以及系统内部参数有关. 此外通过引入自适应参数,使控制器对受到外界非线性有界扰动影响的被控系统调控能力增强.
附录
因为系统通讯拓扑图G是结构平衡的,结合引理1可以得知DAD中的所有元素均非负数,即DAD >0. 令zt)=(D Inxt),其中 zt)= [z1tz2t)· · · zNt)]Tzit)= [zi1tzi2t)· · · zint)]T,可得zit)为
zi(t)=dixi(t),i=1,2,,N,
(A1)
初始状态z(0)=(DInx(0),因为DAD >0,可以推导出 didjaij =|aij |,及didj = sgn aij,已知条件di2 = 1,以及di = di2-p/q=dip/q,可知
dij=1N ϖijxj(t)-sgnaijxi(t)=j=1N diϖijdj2xj(t)-didjxi(t)=j=1N didjϖijdjxj(t)-dixi(t)=j=1N ϖ^ijzj(t)-zi(t)
(A2)
其中 ϖij = aij + υijϖ^ij=aij+vij. 采用 Lyapunov稳定性分析方法对系统稳定性进行分析,选取Lyapunov 函数 Vt)为
V (t) =12zT (L^+Γ^) Inz=
14i=1N j=1N ϖ^ijy~ij(t)Ty~ij(t),
(A3)
其中: y~ijt=zjt-zitL^=DLDΓ=vijn×nΓ^= = DΓD. 因为状态矩阵满足AT + A = −Q0,其中−Q0为负定矩阵,即矩阵的全部特征根均具有负实部,对V t)求导并进行放缩比较可得
V˙(t)=-12i=1N j=1N ϖ^ijy~ij(t)TQ0y~ij(t)-i=1N j=1N ϖ^ijy~ij(t)TdiBui(t)-i=1N j=1N ϖ^ijy~ij(t)Tdiri(t)-i=1N j=1N ϖ^ijy~ij(t)TdiBui(t)-i=1N j=1N ϖ^ijy~ij(t)Tdiri(t).
(A4)
由于 rit)为外部有界扰动,则式(A4)不等式右半部分中含 rit)项满足如下不等式:
-i=1N j=1N ϖ^ijy~ij(t)Tdiri(t)i=1N j=1N ϖ^ijy~ij(t)TdiΔ1n=i=1N j=1N ϖ^ijy~ij(t)TΔ1n,
(A5)
将式(14)(A5)代入式(A4)整理可得
V˙(t)-i=1N w^i(t)TBc1w^i(t)2-pq-i=1N w^i(t)TBc2w^i(t)pq-i=1N w^i(t)TBc3w^i(t)+diEi+i=1N w^i(t)TΔ1n
(A6)
其中w^it=j=1N aij+vijzjt-zit. 式(A6)中含误差Eit)项部分有
i=1N w^i(t)TBdiEii=1N w^i(t)TdiBEi,
(A7)
λminB),λmaxB)分别表示矩阵B的最小、最大特征值,根据触发函数特点在非触发时刻t,触发函数giht)<0,联立式(15)(A6)与式(A7)得
V˙ (t) -c1λmin (B) i=1N w^i (t) Tw^i (t) 3q-p2q-c2λmin (B) i=1N w^i (t) Tw^i (t) q+p2q-c3λmin (B) i=1N w^i (t) Tw^i (t) +
εmaxλmax (B) c1i=1N w^i (t) Tw^i (t) 3q-p2q+i=1N w^i (t) Tλmax (B) diϑiwi (t) +
i=1N w^i(t)TΔ1n,
(A8)
对式(A8)进行整理得
V˙(t)-c1Y1i=1N w^i(t)Tw^i(t)3q-p2q-c2λmin(B)i=1N w^i(t)Tw^i(t)q+p2q-Y^1i=1N w^i(t)Tw^i(t)+i=1N w^i(t)TΔ1n.
(A9)
因为Y^1=c3λminB-λmaxBϑmax>0,对式(A9)中后两项通过二次函数顶点公式进行整理,并结合引理4以及引理 5代入不等式(A9)中则此时式(A9)可以表示为
V˙(t)-c1Y1Np-q2qi=1N w^i(t)Tw^i(t)3q-p2q-c2λmin(B)i=1N w^i(t)Tw^i(t)q+p2q+N2Δ24Y^1.
(A10)
ttktk+1 时,ϖ^ij=aij+vij=aij1+k',可知k'有界,即k'kmin'kmax'. 因为L^为半正定矩阵,根据文献 [26] 可知存在唯一半正定矩阵M使得L^ = MTM成立,结合引理2可得
i=1N w^i (t) Tw^i (t) V (t)
i=1N j=1N aijy~ij (t) Tj=1N aijy~ij (t) 14i=1N j=1N aijy~ij (t) Ty~ij (t) =
2k~zTL^InTL^InzzTL^Inz=
2k~zTMMTInTMTMInzzTMTMInz=
2k~zTMMTInTMTMInzzTMTMInz=
2k~zT (M~) TM~ (M~) TM~zzT (M~) TM~z=
2k~zT (M~) TL^InM~zzT (M~) TM~z
2k~λ2(L^)=2k~λ2(L),
(A11)
其中: k~=1+kmin'2/1+kmax'M~=MIn. 联立式(A10)–(A11)可将V˙t整理成如下形式:
V˙(t)-c1Y1Np-q2qY2V(t)3q-p2q-c2λmin(B)Y2V(t)q+p2q+N2Δ24Y^1
(A12)
Vt)≠ 0时,根据引理3可得稳定时间T
T2qc1κY1Np-q2qY23q-p2q(q-p)+2qc2κλmin(B)Y2q+p2q(q-p)
(A13)
由于 zjzi = dj xjt)− sgn aij xit)),此时 |zjzi | = |xjt)− sgn aij xit)|. 根据引理3 和定义2,可知此时系统实现二部一致. 证毕.
1通讯拓扑图
Fig.1Communication topology diagram
2智能体i状态1变化曲线
Fig.2State1 change curve of agent i
3智能体i状态2变化曲线
Fig.3State2 change curve of agent i
4智能体i状态3变化曲线
Fig.4State3 change curve of agent i
5引入自适应参数后智能体i状态1变化曲线
Fig.5State1 change curve of agent i after introducing adaptive parameters
6引入自适应参数后智能体i状态2变化曲线
Fig.6State2 change curve of agent i after introducing adaptive parameters
7引入自适应参数后智能体i状态3变化曲线
Fig.7State3 change curve of agent i after introducing adaptive parameters
8智能体触发时间间隔
Fig.8Agent trigger time interval
9引入自适应参数后智能体触发时间间隔
Fig.9The trigger time interval of the agent after the introduction of adaptive parameters
1智能体触发次数对比
Table1Comparison of trigger times of agents
2引入自适应参数后智能体触发次数对比
Table2Comparison of trigger times of agents after introducing adaptive parameters
XI J, WANG L, ZHENG J,et al. Energy-constraint formation for multiagent systems with switching interaction topologies. IEEE Transactions on Circuits and Systems I: Regular Papers,2020,67(7):2442-2454.
SATUNIN S, BABKIN E. A multi-agent approach to intelligent transportation systems modeling with combinatorial auctions. Expert Systems With Applications,2014,41(15):6622-6633.
SINGH V P, KISHOR N, SAMUEL P. Distributed multi-agent system-based load frequency control for multi-area power system in smart grid. IEEE Transactions on Industrial Electronics,2017,64(6):5151-5160.
WANG J Q, WANG C, WEI Y J,et al. Neuroadaptive sliding mode formation control of autonomous underwater vehicles with uncertain dynamics. IEEE Systems Journal,2020,14(3):3325-3333.
KHALID R, SAMUEL O, JAVAID N,et al. A secure trust method for multi-agent system in smart grids using blockchain. IEEE Access,2021,9:59848-59859.
MEZGEBE T T, DEMESURE G, ElHAOUZI H B,et al. CoMM: A consensus algorithm for multi-agent-based manufacturing system to deal with perturbation. International Journal of Advanced Manufacturing Technology,2019,105(9):3911-3926.
PU X, LIU Y, REN L,et al. The weighted couple-group consensus for a kind of continuous heterogeneous multi-agent systems based on self-adaptive and cooperative-competitive mechanism. IEEE Access,2020,8:37321-37333.
SHANG S, XU S, FENG H. Robust fixed-time consensus tracking control of high-order multiple nonholonomic system. IEEE Transactions on Systems Man Cybernetics-Systems,2021,51(3):1869-1880.
QIN J, ZHENG W X, GAO H. Consensus of multiple second-order vehicles with a time-varying reference signal under directed topology. Automatica,2011,47(9):1983-1991.
YU W, CHEN G, CAO M. Some necessary and sufficient conditions for second-order consensus in multi-agent dynamical systems. Automatica,2010,46(6):1089-1095.
ALTAFINI C. Consensus problems on networks with antagonistic interactions. IEEE Transactions on Automatic Control,2013,58(4):935-946.
XU C J. Adaptive bipartite consensus of competitive linear multiagent systems with asynchronous intermittent communication. Robust Nonlinear Control,2022,32(9):5120-5140.
ZHANG L, LI Y, LOU J,et al. Bipartite asynchronous impulsive tracking consensus for multi-agent systems. Frontiers of Information Technology Electronic Engineering,2022,23(10):1522-1532.
HAN T, ZHENG W X. Bipartite output consensus for heterogeneous multi-agent systems via output regulation approach. IEEE Transactions on Circuits and Systems II: Express Briefs,2021,68(1):281-285.
LIU G, BASIN M V, LIANG H,et al. Adaptive bipartite tracking control of nonlinear multiagent systems with input quantization. IEEE Transactions on Cybernetics,2022,52(3):1891-1901.
ZHAO M, PENG C, TIAN E. Finite-time and fixed-time bipartite consensus tracking of multi-agent systems with weighted antagonistic interactions. IEEE Transactions on Circuits and Systems I: Regular Papers,2021,68(1):426-433.
HAO L, ZHAN X, WU J,et al. Bipartite finite-time and fixed-time output consensus of heterogeneous multi-agent systems under state feedback control. IEEE Transactions on Circuits and Systems II: Express Briefs,2021,68(9):2067-2071.
LIU Y J, TANG R Q, ZHOU C,et al. Event-triggered leaderfollowing consensus of multiple mechanical systems with switched dynamics. International Journal of Systems Science,2020,51(16):3563-3572.
SUN J, WANG Z S, FAN X F. Periodic event-triggered consensus control for multi-agent systems with switching jointly connected topologies. IET Control Theory & Applications,2020,14(19):3282-3290.
SUN F L, SHEN Y H, KURTHS J,et al. Mean-square consensus of multi-agent systems with noise and time delay via event-triggered control. Journal of the Franklin Institute,2020,357(9):5317-5339.
DENG Q, PENG Y, HAN T. Event-triggered bipartite consensus in networked Euler-Lagrange systems with external disturbance. IEEE Transactions on Circuits and Systems II: Express Briefs,2021,68(8):2870-2874.
MA H W, LIU D R, WANG D,et al. Bipartite output consensus in networked multi-agent systems of high-order power integrators with signed digraph and input noises. International Journal of Systems Science,2016,47(13):3116-3131.
POLYAKOV A. Nonlinear feedback design for fixed-time stabilization of linear control systerns. IEEE Transactions on Automatic Control,2012,57(8):2106-2110.
JIANG B, HU Q L, FRISWELL M I. Fixed-time attitude control for rigid spacecraft with actu-ator saturation and faults. IEEE Transactions on Control Systems Technology,2016,24(5):1892-1898.
HORN R A, JOHNSON C R. Matrix Analysis. USA: Cambridge University Press,1985.
ZUO Z, TIE L. A new class of finite-time nonlinear consensus protocols for multiagent systems. International Journal of Control,2014,87(2):363-370.