摘要
在设计风力机多目标独立变桨控制器时, 通常忽略了未建模动力学和系统模型参数的不确定性, 这些不确定性会降低控制性能甚至导致系统不稳定. 针对该问题, 本文提出了基于随机干扰校正控制的风力机独立变桨优化控制策略, 利用卡尔曼滤波器来观测标称控制输入的修正部分, 从而最小化模型不确定性和外部风速干扰对于系统控制性能的影响. 基于OpenFAST-MATLAB对NREL 5MW风力机仿真, 结果表明与变增益PI控制和干扰校正控制相比, 本文提出的控制策略能够保证高风速区域下风电机组输出功率平稳, 同时还进一步降低了叶片和塔架的载荷, 延长了风力机的使用寿命.
Abstract
In the design of multi-objective independent pitch controllers for wind turbines, uncertainties in unmodeled dynamics and system model parameters are usually ignored. When only nominal control inputs are used, these uncertainties can degrade control performance and cause a system of instability. Aiming at this problem, this paper presents the stochastic disturbance accommodating control theory, and proposes to use the Kalman filter to observe the correction part of the nominal control input, to minimize the adverse effects of model uncertainty and external wind speed disturbance on the system control performance. The co-simulation of OpenFAST’s 5MW wind turbine model and MATLAB shows that compared with gain scheduling PI control and disturbance accommodating control, this control method can ensure the stable power output in the high wind speed area, and further reduce the wind turbine blades and tower load. It is meant to extend the service life of wind turbines.
Keywords
1 引言
为了捕获更多的风能,提高风力发电效益,大容量、大尺寸成为当前风电机组的发展趋势. 但是随着风电机组容量和尺寸的增大,风切变、风湍流的影响更加突出,增加了风电机组关键部件的振动和疲劳载荷,减少了风电机组的有效运行时间 [1-2] . 为进一步降低风能开发的成本,需要解决最大功率输出、结构负载降低和可靠性提升的多目标协调控制问题 [3] .
风电机组的降载减振问题涉及多学科知识,是一个复杂的系统性问题 [4],风电机组振动抑制方法主要分为两类: 被动控制和主动控制. 被动控制主要是对风电机组关键部件结构进行优化设计,如对叶片尾缘进行了对称加厚处理,从而改善结构阻尼 [5]; 在叶片和塔架上安装质量阻尼器 [6-7]; 在风电机组的齿轮箱中安装减振支撑装置等 [8] . 被动控制虽然简单易行,但是不易应用于已经运行的风电机组,而且成本较高.主动控制主要是通过对风电机组电磁转矩和桨距角的控制,降低风力机的气动载荷,减小部件的振动. 文献 [9] 基于风电机组传动链扭振模型,采用线性二次控制(linear quadratic regulator,LQR)设计发电机转矩控制器,以增强传动链阻尼; 文献 [10] 基于风电机组塔架前后弯曲模型和刚性传动链模型,采用线性二次高斯算法(linear quadratic Gaussian,LQG)设计变桨控制器,实现对风电机组转子转速和塔架前后振动的多目标控制; 文献 [11] 基于风力机叶片挥舞弯曲模型和刚性传动链模型,采用干扰校正控制(disturbance accommodating control,DAC)设计了独立变桨控制器,有效降低叶片挥舞振动和风电机组转子转速波动,但系统模型参数的变化对于干扰校正控制影响较大; 文献 [12] 在统一变桨控制的基础上,增添了主动阻尼独立变桨控制,借助于离线的多目标函数模型整定PI参数,实现风电机组转子转速、塔架和叶片振动抑制的协调控制,但各个PI控制回路相互影响,显著增加了控制器设计难度. 上述主动控制可分为单入单出控制(single-input single-output,SISO)和多入多出控制(multi-input multi-output,MIMO),而风电机组作为一个多输入多输出、强耦合非线性系统,使用SISO设计多个控制回路,各个控制回路存在相互耦合,难以获得良好的多目标控制性能. 同时,上述MIMO控制器基本上是基于线性降阶模型设计,会降低控制性能并导致系统不稳定,且未建模的高阶动力学特性也会影响控制性能. 因此,采取合适的控制策略来减少风电机组关键部件振动和疲劳损伤,对于提高风电机组运行的可靠性和发电效益具有十分重要的意义.
本文提出基于随机干扰校正控制风力机独立变桨控制策略,采用卡尔曼滤波器,从带有测量噪声的系统输出中估计被控对象模型状态、外部干扰状态以及模型不确定性,并确定标称控制输入的修正部分,从而最小化模型不确定性,减小外部干扰对于被控系统的影响. 其中使用LQR设计标称控制输入,实现对风电机组转子转速、叶片振动和塔架振动的多目标控制. 采用OpenFAST中5 MW风力机模型,基于MATLAB/ Simulink平台设计控制器并进行仿真,并与传统的变增益PI控制和干扰校正控制进行比较,仿真结果表明,本文提出的控制策略能够保证高风速区域下风电机组输出功率平稳,并提高了控制系统在系统参数变化和未建模动力学模型下的鲁棒性,可进一步减小转子转速波动、塔架与叶片的振动.
2 风力机系统模型
OpenFAST使用假设模态法对柔性部件进行动力学建模,其中气动载荷使用叶素动量理论进行计算. 对于三桨叶水平轴风力机,OpenFAST采用了24个自由度进行建模,本文为降低控制器设计的复杂性,被控模型仅涉及刚性传动链、各叶片挥舞一阶模态、塔架前后弯曲一阶模态共计5个自由度,风力机运动方程如下 [13-14] :
(1)
式中:为矢量位移,其中q1,q2,q3为各叶尖挥舞位移,qt为塔架前后位移,qg为发电机转角; 为矢量速度; 为加速度; M为质量矩阵系数; f为非线性函数; u为输入矢量; t为时间. 基于降阶模型所设计的控制器可通过全自由度非线性风力机模型仿真来验证其控制性能.
采用NREL 5 MW风力机作为仿真对象,将其在风速v = 18 m/s、转子转速Ωr = 12.1 r/min、桨距角 β = 14.77◦的工作点处线性化 [15-16],可得到小扰动线性化模型,以作为变桨控制器设计的被控对象. 其一般化动力学方程描述如下:
(2)
式中: M为质量矩阵,C为阻尼矩阵,K为刚度矩阵, F为输入矩阵. 将上式转化为系统的状态方程和输出方程如下:
(3)
式中:为系统状态矩阵; 为系统输入矩阵; C为单位输出阵; u = [uc v] T为系统输入,包含各个叶片上的桨距角控制输入uc = [β1 β2 β3] T和各个叶尖上的扰动风速输入 v = [v1 v2 v3] T; 系统测量输出; 系统状态变量
3 风力机变桨控制系统
3.1 统一变桨变增益PI控制
机组统一变桨控制是采用PI控制器实现对发电机转速的控制,即在指定工作点对刚性传动链模型进行线性化后,根据转速响应的性能要求设计PI控制器,并可用增益校正器来提高控制器性能 [17],且风电机组是一个MIMO系统,控制目标除了实现最大风能跟踪控制、恒功率控制,还包含叶片和塔架降载等.
3.2 基于多叶片坐标变换的干扰校正控制
干扰校正控制理论为设计反馈控制器提供了一种可自动检测结构化干扰并使其影响最小化的方法. 即在基本的系统状态观测器中引入干扰状态观测器,并在标称控制上附加一个干扰校正控制以抵消干扰的影响. 因此对于风电机组,由于风切变的影响,风力机叶片风速为
(4)
式中: vi是叶片i叶尖风速; vhub是轮毂中心风速; h是相对轮毂中心的高度; H是轮毂中心离地面高度; m 是风切变指数; ϕi是叶片i的方位角; A1P是1倍风轮转速时的风切变系数.
根据式(2)–(3)得系统状态方程如下:
(5)
通过应用多叶片坐标变换(multi-blade coordinate,MBC),可消去方位角对于风速的影响,从而减小周期性对于控制模型的影响,提高线性时不变模型的准确性. MBC变换如下:
(6)
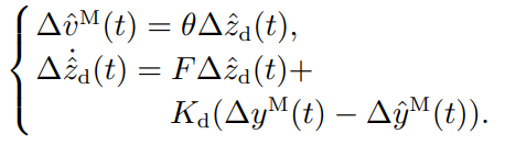
式(4)中各叶尖风速是受转速1P影响的余弦波形,经MBC变换后的均匀风速分量vu、垂直剪切风速分量vnc和水平剪切风速分量vns为阶跃波形,且不依赖于方位角,其中vns可忽略,即基于MBC的干扰校正控制是为消除量vu和vnc的干扰,风速干扰∆v M(t)和状态干扰∆zd(t)建模如下:
(7)
式中:
联立式(4)–(7)可得MBC线性时不变模型 [11]

(8)
在确保可控的同时,干扰校正控制通过LQR计算标称控制增益Gx来获取期望的系统性能,以及使用干扰校正增益Gd来消除风速的干扰. 将标称控制输入和干扰校正输入综合得如下:
(9)
由LQR控制理论,计算标称控制增益Gx为
(10)
式中: R为输入权重矩阵; Q为状态权重矩阵; P为 Riccati方程的对称正定解.
将式(9)代入式(8)可得系统模型如下:
(11)
因此为尽可能精确地消除风速干扰∆zd(t),需最小化可使用广义逆求解.
带干扰的系统状态观测器如下式所示:

(12)
其中风速干扰观测模型表示如下:

(13)
式(12)–(13)中的Kx和Kd是用于确保状态误差 ∆e(t)快速收敛到零的观测器增益,状态估计误差可表示如下:
(14)
式中:
为确保的观测性,需配置的极点在复平面虚轴的左侧,以实现误差快速衰减. 传统干扰校正控制框图如图1所示.
图1传统干扰校正控制框图
Fig.1Disturbance accommodating control diagram
3.3 基于卡尔曼滤波器的随机干扰校正控制
随机干扰校正控制(stochastic DAC,SDAC)的基本思想是用一个附加的状态来扩展系统状态,以表达作用于已知系统的非线性和未建模动力学的动态特性 [18] . 根据给定系统的基本模型,通过由加性不确定性f(t)来估计未建模动力学或模型误差对风电机组的影响,因此将系统模型式(8)改写如式(15)所示:

(15)
式中: V (t)为测量输出噪声,矩阵N表示未知输入,假设未知输入扰动项f(t)的动力学模型为
(16)
式中: D为Hurwitz稳定性矩阵; Wf(t)是过程干扰噪声.
联立式(7)和式(15)–(16),可得增广系统如下:
(17)
输出方程为
(18)
虽然扰动项是未知的,但Wf(t)和V(t)可假设具有一定的随机特性,可以用卡尔曼滤波器在反馈回路中实现最优估计,从系统测量输出来估计未测系统状态和干扰项. 增广系统的观测器动力学模型可表示为
(19)
卡尔曼增益其中可以通过求解如下Riccati方程得到Pf :
(20)
卡尔曼增益计算所需测量噪声协方差Rf可以通过传感器校准得到,而过程噪声矩阵Qf作为一个调谐参数.
系统的状态反馈控制输入如下:
(21)
其中: 标称控制输入ux(t)用于实现控制目标,通过标准极点配置或LQR方法得到; uf(t)用于消除非线性和未建模的动力学f(t)的影响; ud(t)用于消除外部干扰 ∆z(t)影响.
基于卡尔曼滤波器的随机干扰校正变桨控制系统结构如图2所示,经过MBC变化的测量输出y和测量桨距角βucs,减去稳态工作点yop,作为控制器的输入,控制器根据式(19)和式(22)更新输出βucs,加上桨距角的稳态工作点βop,再经过桨距角饱和模块、变桨限速模块和变桨执行器得到各叶片的桨距输入信号β123. 此外,状态反馈控制器存在稳态误差问题,因此可增加发电机转速对应的积分环节.
图2基于随机干扰校正控制的风力机独立变桨控制框图
Fig.2The control diagram of individual-pitch control using stochastic disturbance accommodating control
综合控制信号为
(22)
结合式(22)和式(15)将实际系统重写如下:
(23)
为消除干扰项 zd(t)和f(t)的影响,需要使范数和最小化,在此使用广义逆来求解,即
(24)
4 仿真实验及算例分析
本文使用开源风力机仿真平台OpenFAST联合 MATLAB/Simulink 对5 MW 全自由度风力机系统进行仿真分析.
为对比两种干扰校正控制器的控制效果,计算控制器增益时采用了相同的状态权重矩阵Q和输入权重矩阵R,即采用了相同的标称控制输入来改善系统性能,如式(25)所示:
(25)
LQR配置前后的系统特征根如表1所示.
表1系统极点配置
Table1System pole configuration
风速输入采用了12 m/s 到18 m/s,阶跃幅值为 2 m/s,其风速曲线如图3(a)所示,并在发电机转速测量中加入方差为10 r/min 的高斯白噪声. 在变增益统一变桨控制,即增益调度 PI控制(gain scheduling PI,GSPI)、传统 DAC和基于卡尔曼滤波器的 SDAC下,NREL 5 MW风电机组转子转速、输出功率曲线、叶片挥舞弯矩、塔架前后弯矩和桨距角变化对比如图3(b)–(f)所示.
其中图3(b)表明,GSPI可以使风力机转子转速稳定在12.1 r/min,拥有较好的稳态响应,但是有较大的超调且动态响应较慢,DAC则拥有较好的动态性能,但存在较为明显的稳态误差,且相较于GSPI和DAC,采用SDAC控制能够获得更好的转速调节性能,各控制器在高风速区域均使用恒转矩控制器,发电机输出功率如图3(c)所示,可见SDAC使得功率输出的更加平稳. 同时,从图3(d)–(e)可以看出,采用SDAC控制,叶片挥舞弯矩、塔架前后弯矩波动幅值明显降低.
此外,由图3(f)可见,由于DAC和SDAC相较于GSPI增加了叶片和塔架振动抑制的控制目标,因而多目标独立变桨控制提高了变桨执行机构的动作次数,但采用卡尔曼滤波器的SDAC控制相对DAC控制,能够降低噪声对于控制器的影响,降低桨距角的变化波动.
图3阶跃风下各控制方法的风力机系统响应
Fig.3System response under step wind
DAC和SDAC都是基于降阶线性模型设计,包含了刚性传动链模型、叶片挥舞振动模型和塔架前后振动模型,但被控风力机还涉及未建模动力学,如传动链扭振模型、叶片摆振模型、塔架侧向振动模型及其高阶动力学等模型,且随着风速的变化会引起模型参数的变化.
为分析所设计控制器的鲁棒性,将降阶线性模型和降阶非线性模型相对比,风速输入采用18 m/s到 20 m/s,阶跃幅值为2 m/s,如图4所示,SDAC相对于 DAC的时域响应更为一致,可见SDAC对系统参数变化具有较好的鲁棒性,为了凸显加性不确定性的补偿影响,此处SDAC中不包含积分器.
图4线性模型和非线性模型对比图
Fig.4Comparison of linear model and nonlinear model
同时基于相同的风速输入,将降阶非线性模型和高阶非线性模型相对比,如图5所示,基于卡尔曼滤波器的SDAC能够改善未建模动力学和高阶振动模态对于控制所产生的影响.
图5有无未建模动力学对比图
Fig.5Unmodeled dynamic contrast diagram
5 结论
本文针对传统干扰校正控制器设计中忽略未建模动力学和建模误差对于控制系统的影响,提出基于卡尔曼滤波器的随机干扰校正控制,并应用在风电机组的多目标控制上,在存在高阶动力学分量和系统参数变化的情况下能够进一步提高控制性能. 在阶跃风下,仿真结果表明本文提出的基于卡尔曼滤波器的随机干扰校正控制在高风速区域内能够提高叶片和塔架的降载减振效果,有效降低功率波动和延长风力机关键部件的使用寿命.