准最优稳定的约束非线性系统优先级多目标模型预测控制
doi: 10.7641/CTA.2024.21041
田宇 , 何德峰 , 穆建彬
浙江工业大学信息工程学院, 浙江 杭州 310000
基金项目: 国家自然科学基金项目(62173303), 中央引导地方科技发展资金项目(2023ZY1045)资助.
Prioritized multi-objective model predictive control of constrained nonlinear systems with quasi-optimal stability
TIAN Yu , HE De-feng , MU Jian-bin
College of Information Engineering, Zhejiang University of Technology, Zhejiang Hangzhou 310000 , China
Funds: Suppoted by the National Natural Science Foundation of China (62173303) and the Central Guidance Local Science and Technology Development Fund Projects (2023ZY1045).
摘要
针对具有控制约束的非线性系统, 提出一种准最优稳定的优先级多目标模型预测控制策略. 采用多目标字典序方法, 根据决策者偏好排序多目标函数, 将冲突多目标控制问题转化为具有优先级顺序的单目标序列优化控制问题. 再引入准稳态最优性准则, 得到各个优化控制问题目标函数的终端性质, 进而建立优先级多目标滚动时域优化控制问题的递推可行性和闭环性能的近似最优性. 数值仿真结果验证了本文策略的优越性.
Abstract
This paper proposes a prioritized multi-objective model predictive control (MO-MPC) strategy with quasioptimal stability for nonlinear systems subject to control constraints. Using the multi-objective lexicographical method, the multiple objective functions are sorted based on decision-maker’s preferences. Then the conflict multi-objective optimization control problem is transformed into a sequence of single objective optimization control problems with the priority order. By introducing the quasi steady-state optimality criterion, the terminal properties of the objective function for each optimization control problem are obtained. Moreover, the recursive feasibility and approximate optimality of closed-loop performance for the prioritized multi-objective receding horizon optimal control problem are established. Numerical simulation results verify the effectiveness of the proposed strategy.
1 引言
工业控制问题通常涉及多个重要性不同且相互冲突的控制目标,如设定点跟踪 [1-2]、经济效益 [3-4]、污染物减排 [5-6] 等冲突目标. 由于多个目标之间缺乏统一的度量标准,常见的加权多目标控制方法难以有效解决目标间不可公度问题 [7-9],进而不能显式地处理系统多目标优先级控制要求. 近年来,基于目标优先级和滚动时域控制原理的字典序多目标模型预测控制(multi-objective model predictive control,MO-MPC)方法成为冲突多目标优先级控制问题的最有效解决方案之一 [10-13],但由于字典序MO-MPC采用分层优化策略,在应用中存在优化求解计算量大等问题,特别是对非线性系统,其计算量问题尤为突出.
传统字典序MO-MPC首先解决最高优先级的优化问题,然后在下一层优化问题中施加关于上层值函数的优先级约束,保证更高优先级目标的最优性. 同时,结合平衡点处的终端三要素建立字典序MO-MPC的递推可行性和闭环稳定性. 例如,文献 [14] 提出了一种次优字典序MO-MPC策略,在降低计算量的同时实现闭环系统的稳定性,文献 [15] 进一步将该策略推广到一般的经济目标函数优化,并在文献 [16] 中实现了变目标优先级的字典序MO-MPC策略设计. 上述方法采用优先级最高目标函数的值函数构建Lyapunov函数,保证闭环系统的渐近稳定性,但随着字典序MOMPC优化问题层数的增加,其在线优化的计算量也将大幅增加. 同时为保证优化问题递推可行性添加的终端约束进一步限制了系统的控制性能.
为了降低计算复杂度和提高闭环系统性能,相关学者采用隐藏模型预测控制(model predictive control,MPC)的终端约束,提出了无终端约束MPC方法,确保闭环系统达到近似最优,避免了终端约束对原始性能的影响,同时降低了优化问题的计算量. 例如,文献 [17]采用强对偶假设下的近似最优性质消除了MPC优化问题的终端约束,提高了控制器的计算效率; 文献 [18] 基于耗散性和可控性条件,去除了终端约束并证明闭环系统的近似最优; 文献 [19]N步可达性假设下,通过在目标函数中增加状态增量的罚项,推导出使闭环系统满足近似最优的参数调节MPC策略,使得系统在有限时域内渐近稳定到包含最优稳态的邻域内. 相比于附加终端约束MPC策略 [20-22],上述无终端约束MPC策略通过施加一定条件使得系统渐近稳定到一个包含最优稳态的邻域. 据笔者所知,目前还未见到约束非线性系统的无终端约束字典序MO-MPC 策略的结果.
考虑约束非线性系统多目标优先级控制问题,本文提出一种准最优稳定的非线性字典序MO-MPC策略. 将目标函数按照优先级顺序排列,使多目标问题表述为字典序优化问题. 在不显式处理系统稳态的前提下,通过在目标函数中引入对状态增量的罚项以实现闭环系统的近似最优,并推导了优化问题递推可行性和闭环系统近似最优的充分条件. 相比于传统字典序MO-MPC方法,本文策略避免在最高层构建关于稳态的Lyapunov函数,并去除了字典序 MO-MPC的终端约束,降低预测控制器在线优化的计算量,同时扩大了闭环系统初始可行域范围. 最后仿真对比实验结果验证了本文策略的优越性.
2 问题描述与预备知识
考虑离散时间非线性系统
xk+1=fxk,uk,kI0,
(1)
其中:xkRnukRm为采样时刻k的状态和控制输入,函数 f 关于 xu 满足 Lipschitz连续,且f(0,0)= 0. 进一步考虑控制约束集URm为紧集. 定义系统(1)的状态增量函数为
Δ (x, u) =f (x, u) -x,
则该系统的平衡点集为
Z=(x,u)Rn×UΔ(x,u)=0.
(2)
考虑系统(1)的lI2个相互冲突且优先级各异的性能函数Lj:Rn×RmRjI1:l.不失一般性,约定下标越小则优先级越高,即L1优先级最高,Ll 优先级最低. 为书写方便,令z =(xu). 定义关于性能函数L1z)的最优平衡点集ZsZ如下:
Zs=zsZL1(z)L1zs,zZ,
(3)
则最优稳态集XsRnZs在状态空间的投影.
定义 1 [19] 考虑系统(1)及其平衡点zs和性能函数L1z)及充分小常数ε >0. 当k → ∞时,该系统满足不等式
Δzkε,
(4a)
L1zk-L1zsε,
(4b)
则系统(1)在平衡点zsε准最优稳定的. 进一步,满足不等式(4)的状态–控制对zk集合称为ε域. 若在ε域内存在L1zs)= 0,且在ε域外L1zk)非零,则当k → ∞ 且ε足够小时,有L1zk)→ L1zs)和zkzs .
假设 1 存在 κ 类函数ψ(·)和δs(·),当ε 足够小时,对满足d(z,Zs)≤ δsε)的所有z,下述不等式
L1zsL1(z)+ψ(Δ(z))
(5)
成立. 通常δsε)取值为1.
引理 1 [19] 考虑系统(1),性能函数L1z)和充分小常数 ε ≥ 0. 令Lψ表示函数ψz))关于 z 的Lipschitz常数,则存在参数α >Lψ使不等式
L1(z)+αΔ(z)εΔ(z)κ1εL1(z)-κ2εε
(6)
成立,其中:κ1=1/α-Lψκ2=α/α-Lψ.
本文目标是寻找系统(1)的多目标状态反馈控制律,在极小化l个性能函数的同时满足系统控制量约束,并使闭环系统达到近似最优. 为此,本文将采用字典序多目标优化方法设计多目标模型预测控制策略.
下面回顾字典序多目标优化基本概念,具体细节可参考文献 [1523] . 考虑l个性能函数φjjI1:l定义相应多目标优化问题
minθΘ φ1(θ),φ2(θ),,φl(θ),
(7)
其中:ΘRP为决策变量θ的可行集; φj是关于标量 θ值函数,∀jI1:lφ1优先级最高,φl优先级最低.
定义 2 [15] 考虑多目标问题(7)的可行解 θ ∈ Θ,当且仅当不存在其他可行解θΘ和标量iI2:l ,使得对所有iI1:i*-1满足φi*θ<φi*θ*φiθ)= φiθ*,则θ为该优化问题一个字典序最优解.
求解字典序最优解的标准方法是将多目标问题(7)转换为按优先级排列的单目标优化问题,即
φ1*=minθΘ φ1(θ),
(8a)
φi*=minθΘ φi(θ)φj(θ)=φj*,jI1:i-1,iI2:l,
(8b)
则多目标问题(7)的字典序最优解为
θ*=argminθΘ φl(θ)φj(θ)=φj*,jI1:l-1.
(9)
为改进字典序优化的计算效率,通常将优先级等式约束φjθ=φj*松弛为
φj(θ)φj*+σ,jI1:l-1,
(10)
其中容差σ ≥ 0为充分小数. 为简单起见,将不等式约束(10)记为φjθφj*.
注 1 假设每个φjjI1:lΘ内达到最小值,则问题(7)的最优化是在支配性概念 [15] 上定义. 由定义2可知,字典序最优解θ本质上是一个考虑各性能函数优先级的Pareto最优解,当且仅当性能函数φi极小化的同时,至少有一个其他更高优先级的目标函数{φ1φ2,· · ·,φi−1}非极小化,从而字典序最优解总是存在的,且对应的最优值函数是唯一.
3 优先级多目标预测控制
NI1为预测时域,定义k时刻的控制序列uk=u0ku1kuNk和相应预测状态量序列xk=x0kx1kxNk其中: 控制量utk表示在 k时刻对第k + t步的预测控制量,状态xtk表示在k时刻对第k + t步的预测状态量. 令
ψ1 (x, u) =L1 (x, u) +αΔ (x, u) , V1xk, uk=t=0N-1 ψ1xtk, utk, E1xk, uk=γψ1xNk, uNk, uN-1k=uNk,
参数α >0,γ >0. 定义系统(1)中l个性能函数对应的有限时域目标函数
J1xk,uk=t=0N-1 ψ1xtk,utk+γψ1xNk,uNk,
(11a)
Jjxk,uk=t=0N-1 Ljxtk,utk,jI2,
(11b)
进一步定义系统(1)的控制可行域Cxk)为
Cxk=ukUN+1xt+1k=fxtk,utk,x0k=xk,utkU,tI0:N,ψ1xNk,uNkε,
(12)
其中x0|k = xk为初始条件.
在当前时刻k求解如下字典序多目标优化问题:
J1*(k)=minuk J1xk,ukukCxk,
(13a)
Jj*(k)=minuk Jjxk,ukJixk,ukJi*(k),ukCxk,iI1:j-1,
(13b)
其中:jI2:l; Ji*为第i个目标函数最优值函数,对应的最优控制序列为ukj*. 求解优化问题(13)得字典序最优控制序列
uk(l)*=argminuk Jlxk,ukJjxk,ukJj*(k),ukCxk,jI1:l-1,
(14)
uk(l)*=u0k(l)*,u1k(l)*,uN-1k(l)*,uNk(l)*.
(15)
根据 MPC 滚动时域控制原理,定义优先级MOMPC控制律为
uk=ukmpc=u0k(l)*,kI0,
(16)
其中u0kl*是最优解序列(15)的第1个分量,则对应的闭环系统为
xk+1=fxk,ukmpc,kI0.
(17)
算法(准最优稳定MO-MPC算法):
步骤 1 设置预测时域N ≥ 1和l ≥ 2个性能指标,参数α >0和γ >0; 令k = 0.
步骤 2 测量k时刻的状态量xk,并使用以下子过程在线求解字典序有限时域最优控制问题(13):
1)求解优化问题(13)第1层子问题(13a),得到最优序列uk1*;
2)求解优化问题(13)的第jI2:l层的优化子问题(13b),得到最优序列ukj*;
3)计算多目标优化问题(13)的字典序最优序列uk*=ukl*.
步骤 3 将字典序多目标最优控制序列uk*k的第 1个分量作用于系统(1).
步骤 4k = k + 1,并返回到步骤2.
假设 2 [19] 考虑初始状态集X0Rn对于任意xkX0系统(1)存在 N + 1步可达控制序列uk#UN+1 满足 xNk#uNk#Zs.
假设 2给出字典序优化问题(13)的一个可行解,使初始状态xkX0能够N + 1步进入到最优稳态集Xs . 存在特殊情况,当k → ∞且ε足够小时,
ψ1xNk#, uNk#0.
引理 2(终端性质)[19] 考虑初始状态集X0和参数α >Lψ,对于任意初始状态xkX0,存在两个正实数κ3κ4,目标函数(11a)满足以下终端不等式:
ΔxNk,uNk(1)*γ-1κ3,L1xNk,uNk(1)*γ-1κ4,
(18)
其中:κ02maxxuX0×U Vxkukκ3=κ0κ1κ4=κ0max1κ2uk1*表示第1层字典序优化问题的最优解.
引理 3 考虑系统(1)和参数αγ >0,则对于任意xk X0,字典序优化问题各层最优解(13b)满足如下终端性质:
ΔxNk,uNk(j)*γ-1κ3max1,κ2+ακ1-1,L1xNk,uNk(j)*γ-1κ4max1,κ2+ακ1-1,
(19)
其中:jI2:l.ukj*表示jI2:l层字典序优化问题的最优解,κ02maxxuX0×U V1xkukκ3=κ0κ1κ4=κ0max1κ2.
已知字典序优化问题(13b)中包含字典序约束J1xkukj*J11*kjI2:l则可得
J1xk,uk(j)*-J1(1)*(k)=t=0N-1 ψ1xtk,utk(j)*+γψ1xNk,uNk(j)*-t=0N-1 ψ1xtk,utk(1)*+γψ1xNk,uNk(1)*0,
(20)
推得
ψ1xNk,uNk(j)*ψ1xNk,uNk(1)*-κ0γ,
(21)
其中
V-xk, uk=maxV1xk, uk (j) *, V1xk, uk (1) *, κ02V-xk, uk.
由引理1得到
ψ1xNk,uNk(1)*γ-1κ0max1,κ2+ακ1,
(22)
将(22)代入(21)得到
ψ1xNk,uNk(j)*γ-1κ0max1,κ2+ακ1-1.
(23)
根据引理1可得
ΔxNk,uNk(j)*γ-1κ3max1,κ2+ακ1-1L1xNk,uNk(j)*γ-1κ4max1,κ2+ακ1-1
(24)
其中:jI2:lκ3=κ0κ1κ4=κ0max1κ2.
证毕.
定义 3 [14] 给定多目标优先级p,在当前时刻k,如果由第j层子问题的可行性可以推得第j + 1层子问题也是可行的,则字典序优化问题(13)具有层级递推可行性.
定义 4 [14] 如果由字典序优化问题(13)在当前时刻k的可行性可以推得其在k + 1时刻也是可行的,则字典序优化问题(13)具有时域递推可行性.
注 2 层级递推可行性描述的是同一时刻层级子问题之间的可行性,时域递推可行性描述的是整个优化问题在相邻时刻的可行解的存在性. 两者共同构成字典序MO-MPC的递推可行性.
定理 1 考虑假设2和字典序优化问题(13),如果第1层优化问题(13a)在k时刻优化可行,则字典序优化问题(13)在k + 1时刻也可行.
1)根据假设2,设候选控制序列
uk*=u0k*,,uN-1k*,uNk*
(25)
为第1层优化问题(13a)在k时刻的可行解,则满足约束(12)和(18). 再考虑第jI2:l个目标函数及其优化问题(13b)将uk*代入上述优化问题,则满足约束(12)和(19),字典序约束JixkukjJij*kiI1:l-1jI2:l成立,从而优化问题(13)在k时刻存在可行解. 考虑到j的任意性,可得第1层优化问题(13a)可行,意味着后续各层优化问题都是可行的.
2)考虑第1层优化问题(13a)及其k时刻一个可行解uk*
uk+1*:=u1k*,,uN-1k*,uNk*,uNk*,
(26)
考虑假设 2成立,控制序列(26)是优化问题(13a)在 k + 1时刻的一个可行解. 故通过归纳得到字典序最优控制问题(13)在k + 1时刻可行. 证毕.
定理 2 考虑系统(1)和假设1–2及其参数 αγ >0,如果优化问题(13)初始可行,则闭环系统(17)在初始可行集X0内满足ε准最优稳定.
第1层字典序优化问题(13a)初始可行,从定理1可知,在kI0时刻,字典序优化问题(13)都可行. 令uk*为k时刻问题(13)的最优解,uk1*k时刻第 1层子问题(13a)的最优解. 通常uk*uk1*满足J1xkuk*J11*k. 令 uk+1*k + 1时刻问题(13)的最优解,uk+11*k + 1时刻第1层子问题(13a)最优解,将k时刻和k + 1时刻最优控制uk*uk+1*分别代入式(11a),并沿闭环轨迹(17)做差分运算,得
J1*(k+1)-J1*(k)-L1x0k,u0k*+αΔx0k,u0k*+ψxNk,uNk#+γψxk+1,uk+1*-ψxNk,uNk*,
(27)
进一步整理得
ψxk+1,uk+1*-ψxNk,uNk*L1+αLΔΔxNk,uNk*,
(28)
结合假设2,整理式(27)有
J1*(k+1)-J1*(k)-L1x0k,u0k*+αΔx0k,u0k*+γL1+αLΔΔxNk,uNk*-L1x0k,u0k*+αΔx0k,u0k*+ρ(α,γ),
(29)
其中: LlL分别是L1的Lipschitz常数,
ρ (α, γ) :=γL1+αLΔΔx0k, u0k*.
定义系统(1)的集合
S=xkRnL1xk,uk+αΔxk,uk2ρ(α,γ),
(30)
则当状态x停留在集合S外,可得
J1*xk+1-J1*xk-ρ(α,γ),
(31)
显然,最高优先级目标函数最优值J1单调递减. 当xk S内,系统以2ραγ)为边界进行约束. 结合定义 1 和假设 1可知,邻域δs(2ραγ))≤ 1,使系统满足ε准最优稳定.
在上限时刻 k- 存在V1xkuk)= Ks(1). 当kk- 时,得到下述不等式:
Δ1=x0k,u0k*2κ1ρ(α,γ),
(32)
L1x0k,u0k*2max1,κ2ρ(α,γ),
(33)
随着时间 k 趋于充分大,闭环系统的状态轨迹将渐近稳定于最优稳态集XsX0. 证毕.
4 实例仿真
考虑具有平行反应的非线性连续搅拌釜反应器,在反应器中给定物料R1进行二级反应,一个反应 R1P1,另一个反应R1P2. 其动态方程可描述为 [1924]
x ˙ 1 = 1 10 4 x 1 2 e 1 / x 3 400 x 1 e 0.55 / x 3 x 1 , x ˙ 2 = 10 4 x 1 2 e 1 / x 3 a x 2 , x ˙ 3 = u x 3 ,
(34)
其中: 状态量x1代表P1的浓度,x2代表P2浓度,x3代表反应器中混合物的温度. 控制量u在0.049和0.449 范围内. 给出目标函数L1xu)= −x2L2xu)= x1,目的是在保证废品量最小的前提下,保证产物量最大. 系统稳态表示为xs =(0.0832,0.0846,0.149)和us = 0.149. 仿真步长为Tsim = 60,预测步长为6,采样周期Ts为0.1 s. 终端代价Exk=xNk-xsT×QxNk-xsQ=diag{1,11}R=1.终端域XT=xR3Ex0.01.用已知系统稳态的传统字典序MO-MPC 算法 [18-2022](traditional-lexicographical MPC,Tra-LMPC)与本文算法(Our-LMPC)进行对比.
4.1 仿真实验1
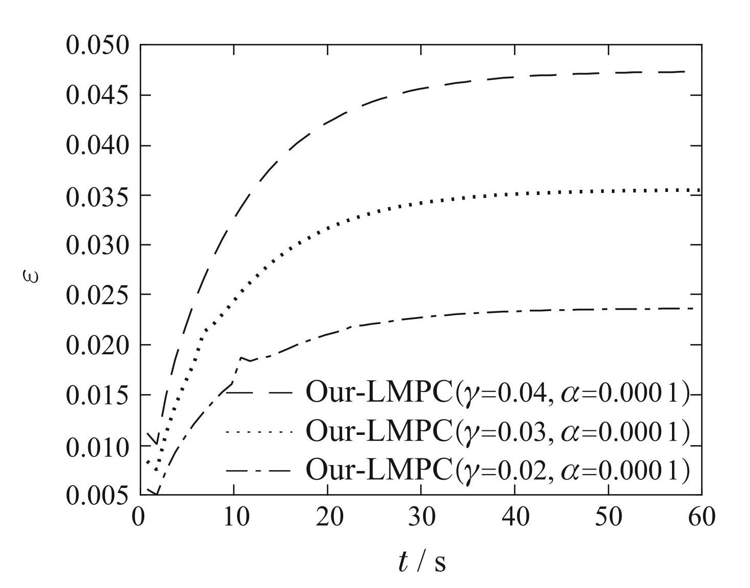
考虑初始状态对(x0u0)=(0.001,0.02,0.13,0.12),针对参数αγ选择不同,对应控制效果如图1所示. 其中,实线为 Tra-LMPC的仿真结果; 虚线为 Our-LMPC(γ = 0.04,α = 0.0001)的仿真结果; 点线为Our-LMPC(γ = 0.03,α = 0.0001)的仿真结果; 点划线为 Our-LMPC(γ = 0.02,α = 0.0001)的仿真结果. 当α不变(α = 0.0001)时,α/γ越小(值函数V1xkuk)不变,终端性质E1xk)起主要作用),约束(19)越严格,Our-LMPC效果越接近Tra-LMPC对应的期望稳态,且变化过程越平稳. 产物浓度x2变化大致相同,物料浓度x1越高,反应温度x3越低,说明物料转化率越高. 同时结合定理2观察系统,Tra-LMPC计算时间是 37.84 s,稳定起始时刻从12 s开始收敛,提前到OurLMPC的5 s. 结合表1看出,Tra-LMPC的显式处理系统稳态和带终端约束将影响原始性能,会加重MPC在线优化的计算量,Our-LMPC具有更快收敛性和计算速度.
由定义1可知,在不显式处理系统稳态的前提下,可通过 ε控制系统准稳态域. 由式(32)–(33)可知,当 α =0.0001时,γ越大,ε准稳态域越大,系统可行域越大. 结合图1–2所示,参数α/γ越小,约束(19)越严格,系统在期望稳态的 ε邻域内越稳定. 其中,当 α = 0.0001时,受α/γ 的影响,γ = 0.04比γ = 0.01的约束条件(19)更严格,效果更稳定,计算的更快.
1不同γ的状态量和控制量曲线
Fig.1Profiles of states and control with different γ
1不同γ的总计算时间
Table1The total computation time with different γ
2不同γε准稳态最优值曲线
Fig.2Profiles of ε quasi steady-state optimal values with different γ
图3所示,考虑初始状态对(x0u0)=(0.001,0.03,0.13,0.12). 其中: 实线为 Tra-LMPC的仿真结果; 虚线为 Our-LMPC(γ = 0.01,α = 0.000 1)的仿真结果; 点线为 Our-LMPC(γ = 0.01,α = 0.000 01)的仿真结果; 点划线为 Our-LMPC(γ = 0.01,α = 0.000 001)的仿真结果. 当γγ = 0.01)不变时,α越大(目标函数V1xkuk)和终端性质E1xk)受到影响主要调节状态幅值变化xkuk)Our-LMPC越接近对应的期望稳态). 对比Tra-LMPC,Our-LMPC受参数α 影响明显,α变大的过程中,V1xkuk)起主要作用,降低终端性质E1xk)对系统的影响. 参数α取值变化细微,但E1xk)也随参数α的变大而变大,故仿真过程中产生震荡,可见松弛约束条件(19)对ε准稳态具有很大影响. 观察图3仿真可知在 γ = 0.01,α = 0.000 1时震荡最小. 另外,对比计算速度,Tra-LMPC 计算时间是34.13 s,Our-LMPC求解速度更快,如表2所示.
3不同α的状态量和控制量曲线
Fig.3Profiles of states and control with different α
2不同α的总计算时间
Table2The total computation time with different α
图4所示,当γγ = 0.01)不变时,参数α变化,ε 的范围大体一致. 由式(32)–(33)可知,在ε准稳态域相同的情况下,参数γ比参数α更影响ε的范围. 对比表2,看出Our-LMPC计算量也受参数α影响. 说明改善终端性质对计算量产生影响.
4不同αε准稳态最优值曲线
Fig.4Profiles of ε quasi steady-state optimal value with different α
因此,可以通过调节参数αγ改善系统的收敛速度和计算量,从而提高预测控制器应用的灵活性.
4.2 仿真实验2
根据集合S可知状态轨迹与Lipschitz常数相关,系统在可达控制序列下渐近到最优稳态集Xs内,预测时域的变化会影响系统的稳定性和计算量. 考虑初始状态对(x0u0)=(0.001,0.03,0.13,0.15),为了验证 Our-LMPC的优越性,将Our-LMPC和Tra-LMPC对比不同预测时域下控制效果.
表3表示两种策略在不同预测时域下的平均运行时长对比,在相同预测时域下,Our-LMPC速度更快; 随着预测时域变化,Our-LMPC整体运行速度更快. 但是随着预测时域的增加(N = 4的情况过短的预测时域会影响系统性能,如图5所示,从计算的角度,OurLMPC效果很可观),反应器中的产物x1浓度变高,废物x2浓度相近,反应器中的温度低,说明产品转化率变高,体现出随着预测时域的变化经济效果越好但是计算时间越长,不同预测步数表现出相近的产量,N = 2更接近系统最优稳态. 实际上,通过调节参数缩小ε准稳态区域大小,确实起到了减小计算量的效果. 综上,本文算法运行速度更快,且预测时域越短效果越好.
3不同预测时域下平均运行时长
Table3The average running times with different prediction horizons
5在不同预测时域下的状态量和控制量曲线
Fig.5Profiles of states and control with different prediction horizons
4.3 仿真实验3
以相同的初始点作为初始量,对比 Tra-LMPC和 Our-LMPC的最小预测时域. 根据表4看出,在相同的初始值下,Our-LMPC比Tra-LMPC预测时域更小,说明Our-LMPC具有更大的可行范围.
4保证MO-MPC初始可行性的最短预测时域(N
Table4The shortest prediction hrizon (N) ensuring the initial feasibility of MO-MPC
5 结论
本文提出了一种准最优稳定的优先级MO-MPC策略. 将准最优稳定MPC位于最高优先级,利用该MPC 的近似最优性质优先解决系统渐近到最优稳态的问题,同时实现去掉全局终端约束的效果,该算法从去掉终端约束条件和不用显式处理系统稳态的角度减少字典序优化算法计算量. 本文算法没有利用跟踪稳态构造最高优先级的目标函数,而是对目标函数进行设计,通过设计参数使系统在较小邻域内维持稳定,降低了计算量,并且扩大了可行域. 最后结合字典序约束给出目标函数满足的终端性质,证明了该策略的可行性和近似最优性.
1不同γ的状态量和控制量曲线
Fig.1Profiles of states and control with different γ
2不同γε准稳态最优值曲线
Fig.2Profiles of ε quasi steady-state optimal values with different γ
3不同α的状态量和控制量曲线
Fig.3Profiles of states and control with different α
4不同αε准稳态最优值曲线
Fig.4Profiles of ε quasi steady-state optimal value with different α
5在不同预测时域下的状态量和控制量曲线
Fig.5Profiles of states and control with different prediction horizons
1不同γ的总计算时间
Table1The total computation time with different γ
2不同α的总计算时间
Table2The total computation time with different α
3不同预测时域下平均运行时长
Table3The average running times with different prediction horizons
4保证MO-MPC初始可行性的最短预测时域(N
Table4The shortest prediction hrizon (N) ensuring the initial feasibility of MO-MPC
NADERI Y, HOSSEINI S H, SAVAGHEBI M,et al. Multi-objective model predictive control for microgrid applications. International Journal of Electrical Power & Energy Systems,2023,154:109441.
ZHENG Y, WANG D. A survey of recommender systems with multiobjective optimization. Neurocomputing,2022,474:141-153.
XAVIER J, PATNAIK S K, PANDA R C. Economic optimization and predictive control for nonlinear systems using Lyapunov based nonlinear cost function design. Chemical Engineering Science,2023,270:118530.
ZHANG Z, LI S. Enhanced reinforcement learning in two-layer economic model predictive control for operation optimization in dynamic environment. Chemical Engineering Research & Design,2023,196:133-143.
OH J, BARTOS M. Model predictive control of stormwater basins coupled with real-time data assimilation enhances flood and pollution control under uncertainty. Water Research,2023,235:119825.
LUND N S V, FALK A K V, BOAUP M,et al. Model predictive control of urban drainage systems: A review and perspective towards smart real-time water management. Critical Reviews in Environmental Science and Technology,2018,48(3):279-339.
QAZANI M R C, ASADI H, MOHAMED S,et al. A time-varying weight MPC-based motion cueing algorithm for motion simulation platform. IEEE Transactions on Intelligent Transportation Systems,2022,23(8):11767-11778.
GARG S, JAIN A, MUKHERJEE P,et al. Cryptography with weights: MPC,encryption and signatures. Annual International Cryptology Conference. Cham: Springer Nature Switzerland,2023:295-327.
TAHERIAN S, HALDER K, DIXIT S,et al. Autonomous collision avoidance using MPC with LQR-based weight transformation. Sensors,2021,21(13):4296.
ANILKUMAR M, PADHIYAR N, MOUDGALYA K. Lexicographic optimization based MPC: Simulation and experimental study. Computers & Chemical Engineering,2016,88:135-144.
RASEKHIPOUR Y, FADAKAR I, KHAJEPOUR A. Autonomous driving motion planning with obstacles prioritization using lexicographic optimization. Control Engineering Practice,2018,77:235-246.
WANG H, HUANG Y, KHAJEPOUR A,et al. Ethical decisionmaking platform in autonomous vehicles with lexicographic optimization based model predictive controller. IEEE Transactions on Vehicular Technology,2020,69(8):8164-8175.
HU J, DING B, ZHANG M,et al. Enhancing output feedback robust MPC via lexicographic optimization. IEEE Transactions on Industrial Informatics,2022,19(3):3068-3078.
HE D F, WANG L, SUN J. On stability of multi-objective NMPC with objective prioritization. Automatica,2015,57:189-198.
HE D F, YU S M, OU L L. Lexicographic MPC with multiple economic criteria for constrained nonlinear systems. Journal of the Franklin Institute,2018,355(9):753-773.
HE D F, LI H, DU H. Lexicographic multi-objective MPC for constrained nonlinear systems with changing objective prioritization. Automatica,2021,125:109433.
GRÜNE L. Economic receding horizon control without terminal con-straints. Automatica,2013,49(3):725-734.
GRÜNE L, STIELER M. Asymptotic stability and transient optimal-ity of economic MPC without terminal conditions. Journal of Process Control,2014,24(8):1187-1196.
ALAMIR M, PANNOCCHIA G. A new formulation of economic model predictive control without terminal constraint. Automatica,2021,125:109420.
AMRIT R, RAWLING J B, ANGELI D. Economic optimization using model predictive control with a terminal cost. Annual Reviews in Control,2011,35:178-186.
ANGELI D, AMRIT R, RAWLINGS J B. Receding horizon cost optimization for overly constrained nonlinear plants. In Proceedings of the 48th IEEE Conferenceon Decision and Control. Shanghai, China: IEEE,2009,7972-7977.
ANGELI D, RAWLINGS J B. Receding horizon cost optimization and control for nonlinear plants. In Proceedings of the 8th IFAC Symposium on Nonlinear Control Systems(NOLCOS). Bologna, Italy:2010:1217-1223.
MARLER R T, ARORA J S. Survey of multi-objective optimization methods for engineering. Structural and Multidisciplinary Optimization,2004,26(6):369-395.
MÜLLER M, ANGELI D, ALLGÖWER F,et al. Convergence in e-conomic model predictive control with average constraints. Automatica,2014,50(12):3100-3111.