柔性航天器全局有限时间姿态容错控制
doi: 10.7641/CTA.2023.30151
朱婉婉1,2 , 杨玉凯3,4 , 宗群5
1. 中国矿业大学信息与控制工程学院, 江苏 徐州 221116
2. 中国矿业大学地下空间智能控制教育部工程研究中心, 江苏 徐州 221116
3. 北京精密机电控制设备研究所, 北京 100076
4. 航天伺服驱动与传动技术实验室, 北京 100076
5. 天津大学电气自动化与信息工程学院, 天津 300072
基金项目: 国家自然科学基金项目(62203445, 62003236, 62073234, 62022060), 中央高校基本科研业务费项目(2022QN1056)资助.
Global finite time attitude fault-tolerant control of flexible spacecraft
ZHU Wan-wan1,2 , YANG Yu-kai3,4 , ZONG Qun5
1. School of Information and Control Engineering, China University of Mining and Technology, Xuzhou Jiangsu 221116 , China
2. Engineering Research Center of Intelligent Control for Underground Space, Ministry of Education, China University of Mining and Technology, Xuzhou Jiangsu 221116 , China
3. Beijing Institute of Precision Mechatronics and Controls, Beijing 100076 , China
4. Laboratory of Aerospace Servo Actuation and Transmission, Beijing 100076 , China
5. School of Electrical and Information Engineering, Tianjin University, Tianjin 300072 , China
Funds: Supported by the National Natural Science Foundation of China (62203445, 62003236, 62073234, 62022060) and the Fundamental Research Funds for the Central Universities (2022QN1056).
摘要
本文针对在模型不确定性、外界干扰与执行器故障影响下柔性航天器姿态控制问题, 设计一种自适应容错控制算法, 该算法包括标称控制部分和补偿控制部分. 首先, 标称控制部分用于实现不考虑综合不确定影响下航天器有限时间姿态控制; 其次, 补偿控制部分基于积分滑模理论进行设计, 该补偿控制器通过对综合不确定有效估计, 在控制器中作补偿, 减少对姿态控制精度的影响, 提高航天器姿态控制精度. 该算法特点在于可实现柔性航天器全局有限时间姿态控制, 放宽角速度或其导数、执行器故障或其导数有界的假设. 同时, 基于Lyapunov函数严格证明整个闭环系统的稳定性. 最后, 通过仿真验证该控制算法的有效性.
Abstract
In this paper, an adaptive fault-tolerant attitude control algorithm is designed for flexible spacecraft under model uncertainties, external disturbance, and actuator fault. The proposed control algorithm includes the nominal control part and the compensated control part. First, the nominal control algorithm is proposed to realize spacecraft attitude control in the absence of lumped uncertainties. Then, based on integral sliding mode control, an adaptive compensated control algorithm which acted as a disturbance observer, is designed to eliminate the lumped uncertainty. The main feature of the proposed control algorithm is that it is global finite time attitude control, i.e., the assumption that angular velocity or its derivative, as well as the actuator failure or its derivative, are bounded. Simultaneously, the stability of the whole closed loop system is strictly proved by Lyapunov techniques. Finally, numerical examples are given to illustrate the efficiency of the proposed control algorithm.
1 引言
近年来,航天器技术在信号通信、资源调查和气象观测等各个领域的应用引起了人们的广泛关注 [1] . 为完成日益复杂的航天任务,对火箭、卫星和其他航天器姿态控制的可靠性与精度提出了更高要求. 然而,由于航天器组件老化、短路、电路烧毁等不可预测因素,航天器执行器在运行过程中可能会发生故障 [2-3] . 此外,航天器姿态控制精度还会受到模型不确定性、外部干扰和柔性振动的影响,这将进一步破坏航天器姿态控制精度 [4] . 因此,研究容错控制(fault tolerant control,FTC)算法对于保证柔性航天器安全、平稳运行具有重要意义.
为解决航天器执行器故障问题,研究学者提出了多种FTC算法 [5-7],主要分为被动FTC算法与主动FTC算法. 在被动FTC算法中,通常将执行器故障作为干扰,设计鲁棒控制算法,实现航天器姿态控制. 在文献 [5] 中,提出一种自适应多变量被动FTC,用于实现航天器姿态跟踪. 在该控制算法中,将执行器故障作为扰动,该扰动包括执行器故障,同时,假设该综合不确定性有界. 然而,在航天器运行过程中,执行器故障与控制力矩有关,而控制力矩与角速度有关,这意味着航天器的角速度被假定为有界的. 因此,整个闭环系统的稳定性不能得到保证. 在主动FTC中,执行器容错通过故障重构方法实现. 在文献 [7] 中,设计了一种基于故障识别方法的主动FTC算法,用于实现航天器姿态控制. 在该控制算法中,假设航天器执行器故障的导数有界,类似地,航天器闭环系统稳定性无法保证. 因此,本文提出一种自适应FTC,用于实现柔性航天器的全局有限时间姿态控制.
此外,模型的不确定性是影响航天器姿态控制精度的另一个重要因素. 为解决该问题,学者们提出了多种鲁棒控制算法. 在文献 [8] 中,提出了两种终端滑模控制方法,以保证航天器姿态控制. 在该控制算法中,假设包括角速度在内的模型不确定性是有界的. 在文献 [9] 中,设计了一种基于固定时间观测器的连续自适应控制方法,实现航天器姿态跟踪控制. 在该方法中,假设包括导数角速度在内的模型不确定性是有界的. 上述航天器姿态控制算法可以实现模型不确定性下的姿态控制. 因此,在不考虑上述两个假设的情况下,提出了一种自适应FTC算法来实现综合不确定性情况下,柔性航天器有限时间姿态控制.
基于上述分析,本文设计了一种自适应FTC算法,实现在综合不确定性情况下柔性航天器有限时间姿态控制. 本文的主要贡献在于设计的自适应FTC算法可实现在模型不确定性、外部干扰和执行器故障情况下,柔性航天器全局有限时间姿态控制. 与文献 [7-9] 相比,所提出的自适应 FTC 放宽执行器故障或其导数、角速度或其导数有界的假设.
本文的结构如下: 第2节阐述了柔性航天器模型和问题描述; 在第3节中,设计了一种自适应FTC算法,以实现在模型不确定性、外部干扰和执行器故障情况下,柔性航天器全局有限时间姿态控制; 在第4节中给出了仿真,证明所提出的控制算法有效性; 最后,在第5节中给出了本文总结.
2 柔性航天器模型
考虑四元数模型具有非奇异性和计算简单优点,本文使用单位四元数描述柔性航天器模型.
2.1 柔性航天器姿态运动模型
柔性航天器的运动学模型为
q˙v=12q0I3+qv×ω,q˙0=-12qvTω,
(1)
其中: q=q0 qvT=q0 q1 q2 q3T为四元数,并且满足q02+q12+q22+q32=1; ω=ω1 ω2 ω3T 为角速度; I3R3×3为3阶单位矩阵,对于向量 v =v1 v2 v3TR3 斜对称矩阵为
v×=0-v3v2v30-v1-v2v10.
柔性航天器的动力学模型为
J ω ˙ + δ T η ¨ = ω × J ω + δ T η ˙ + u a + d , η ¨ + C η ˙ + K η + δ ω ˙ = 0 ,
(2)
其中: J=J0+ΔJR3×3为总转动惯量,J0ΔJ分别为标称转动惯量与扰动转动惯量, ua = [ua1 ua2 ua3 ] TR3为执行机构实际作用给系统的控制力矩,d=d1 d2 d3TR3为外部干扰力矩,ηRN为柔性振动模态向量, δRN×3为柔性和刚性动力学之间耦合矩阵,
C=diag2ξiΛi, i=1, 2, , NRN×N
K=diagΛi2, i=1, 2, , NRN×N
为阻尼和刚度矩阵,N为柔性振动模态数,Λiξi为柔性振动频率与阻尼.
在柔性航天器运行过程中,受空间环境的影响和柔性航天器部件的老化的影响,执行器可能会发生如下故障:
ua=ρu+f
(3)
其中: 乘性故障 ρ = diag{ρ1ρ2ρ3}满足 0 <ρi <1(i = 1,2,3),u = [u1 u2 u3] T为期望的控制力矩,f = [f1 f2 f3] T是执行器加性故障.
将执行器故障式(3)代入动力学方程(2)可得
Jω˙+δTη¨=-ω×Jω+δTη˙+ρu+f+d,
(4)
将式(2)中η¨=-Cη˙-Kη-δω˙ 代入式(4)可得
J-δTδω˙=-ω×Jω+u-ω×δTη˙+δT(Cη˙+Kη)+ρu+f+d,
(5)
式(6)左右两边同时乘以J0J-δTδ-1可得
J0ω˙=J0J-δTδ-1-ω×Jω+u-ω×δTη˙+δT (Cη˙+Kη) +ρu+f+d=
-ω×J0ω+u+χ
(6)
其中,综合不确定为χ=χ1 χ2 χ3T=-J0J-δTδ-1ω×Jω+ω×J0ω-u+J0J-δTδ-1ρu+f-ω×δTη˙+δTCη˙+Kη+d.
为简化综合不确定χ,定义变量ψ=η˙+δω 则柔性航天器振动方程可转化为
η˙ψ˙=0I-K-Cηψ+-δCδω,
(7)
N=η ψT 则可得
N=eAtN(0)+0t eA(t-τ)Bω(τ)dτ,
(8)
其中: A=0I-K-CB=-δCδ. 由于K >0, C >0,则矩阵A是赫尔维兹矩阵. 因此,存在正常数bi >0(i = 1,2,3,4),使得N上界满足
Nb1+b2sup[0,t] ω(τ)b1+b2max[0,t] ω(τ)+ε=b1+b2ε+b3ωb1+b2ε+b4ω,
(9)
上式中应用了范数等价性性质. 令Ξ=η η˙ 基于 ψ=η˙+δωNb1+b3ω可得,存在正常数 la >0与lb >0使得Ξlaω+lb.
假设 1 存在l0 >0,l1 >0,l2 >0与0 <ς <1使得柔性航天器(4)中综合不确定χ满足χl0+l1ω+l2ω2+ςu.
2.2 控制目标
本文控制目标为基于柔性航天器运动学模型(1)和动力学模型(4)设计一种综合容错控制算法,实现在模型不确定性、外部干扰和执行器故障的情况下,柔性航天器有限时间T >0内姿态控制.
3 自适应容错控制算法设计
本部分设计自适应容错控制器,该控制器包括两部分: 一部分为标称控制部分,用于解决无综合不确定情况下柔性航天器姿态控制; 另一部分为补偿控制部分,用于估计综合不确定,减少对姿态控制精度的影响,提高柔性航天器姿态控制精度.
3.1 标称控制器设计
为实现无综合不确定下柔性航天器姿态控制,给定如下终端滑模面:
s=ω+k1sigr0qv,
(10)
其中: s = [s1 s2 s3] T,正常数k1 >0,0 <r0 <1.
基于柔性航天器模型(1)(4),标称控制器设计为
unominal =ω×J0ω-σ1s-σ2sigr1s-k1γqv,
(11)
其中: 正常数 0 <σ1,0 <σ2,0 <r1 <1,γqv)= r0sigr0-1qv.
引理 1 基于柔性航天器模型(1)(4),当忽略综合不确定,控制参数满足k1 >0,0 <σ1,0 <σ2,0 <r0 <1与0 <r1 <1时,标称控制器(11)可实现柔性航天器有限时间姿态控制.
系统稳定性证明包括两部分. 首先,证明滑模曲面s在有限时间内收敛; 其次,当滑模面s收敛时,姿态四元数qv和角速度ω在有限时间内收敛.
首先,基于滑模面(10)与控制器(11),s的导数为
J0s˙=-σ1s-σ2sigr1s.
(12)
考虑以下Lyapunov函数:
Vs=12sTJ0s,
(13)
Vs的导数为
V˙s=sTJ0s˙=sT-ω×J0ω+unominal +k1γqv=sT-σ1s-σ2sigr1(s)-2σ1λJ0Vs-σ22λJ01+r12Vs1+r12,
(14)
其中λJ0J0的特征值. 因此,滑模面s在有限时间收敛. 其次,当到达滑模面后,四元数qv与角速度ω在有限时间收敛,证明过程详见文献 [10] . 证毕.
3.2 综合控制策略设计
为实现柔性航天器有限时间姿态控制,基于柔性航天器动力学模型(1)(4),设计如下容错控制器:
u=unominal +ucom ,
(15)
其中标称控制部分如式(11)所示,补偿控制部分ucom = [ucom1 ucom2 ucom3] T
ucom=-(l+ρ(t))sig0sb,
(16)
其中: 正常数l >0,自适应增益ρt)定义为
ρ(t)=α0(t)+α1(t)ω+α2(t)ω2.
(17)
自适应增益αit)为
α˙i(t)=μisbωi-ζiαi(t),
(18)
其中: 正常数 µi >0,ζi >0(i = 0,1,2). 在式(16)中,积分滑模面sb
sb=J0ω-J0ω(0)-0t -ω×J0ω+unominal dτ,
(19)
其中ω(0)为柔性航天器角速度初始值.
基于式(4)(15)(19),积分滑模面sb的导数为
sb˙=u+χ-unominal =ucom +χ,
(20)
当方程sb˙ = 0成立时,等效控制为ucom = −χ.
定理 1 考虑柔性航天器的运动学模型(1)和动力学模型(4),在假设1成立条件下,当正常数满足 k1 >0,0 <σ1,0 <σ2,l >0,0 <ri <1 和ζi >0(i = 0,1,2)时,所提出的自适应 FTC(15)、自适应增益(18),则可实现柔性航天器在综合不确定性影响下有限时间姿态控制.
整个航天器系统的稳定性证明分为3部分. 首先,证明补偿控制算法ucom可实现对综合不确定χ有限时间估计; 其次,证明标称控制器–补偿控制器综合控制系统在有限时间内不会发生逃逸现象; 最后,证明标称控制器–补偿控制器综合控制系统的有限时间收敛特性.
步骤 1 基于方程(15)–(16),可得存在正常数 εi >0(i = 0,1,2,3)使得
uε0+ε1ω+ε2ω2+ε3ρ(t).
(21)
基于假设1,可得存在正常数ξi >0(i = 0,1,2,3),使得
χξ0+ξ1ω+ξ2ω2+ε3ρ(t).
(22)
将控制算法(15)–(16)代入方程(20),可得
sb˙=-(l+ρ(t))sig0sb+χ.
(23)
考虑如下Lyapunov函数:
Vsb=121-ε3sbTsb+i=02 12μiαi-αi*2.
(24)
基于式(23),Vsb的导数为
V˙sb=11-ε3sbT-(l+ρ(t))sig0sb+χ+i=02 1μiαi-αi*α˙i-i=02 αi-αi*sbωi-1μiα˙i-l1-ε3sb,
(25)
基于ρtsb=i=02 αisbωi 方程(25)为
V˙sb-l1-ε3sb-i=02 αi-αi*×sbωi-1μiα˙i
(26)
基于以下等式:
αi-αiα˙i=αi-αiμisbωi+
ζiαiαi*-ζiαi2
(27)
可得
V˙sb-lsb-i=02 ζiμiα~i2212+i=02 ζiμiα~i2212-i=02 ζiμiαiαi*-αi2,
(28)
其中估计误差为α~i=αi*-αi.
基于不等式αiαi*-αi2-αi*-αi22+αi*22i=02 ςiα~i221+r2-i=02 ςiαiαi*-αi2i=02 ςi3+αi*22 可得,Vsb的导数为
V˙sb-ι1Vsb12+ι2
(29)
其中: ι1=minl21-ε312ζiμiι2=i=02 ζiμi3+αi*22.
步骤 2 将证明在控制算法(15)下,综合控制系统不会发生有限时间逃逸现象.
考虑以下Lyapunov函数:
Vs=12sTJ0s,
(30)
V 的导数为
V˙s=sT-ω×J0ω+u+χ+k1γqv=sT-σ1s-σ2sigr1s-(l+ρ(t))sig0sb+χ,
(31)
因此,滑模面s在有限时间内不会逃逸到无穷远,则四元数和角速度也不会在有限时间内逃逸到无穷远.
步骤 3 标称控制器–补偿控制器综合控制系统有限时间收敛稳定性证明.
Vs的导数为
V˙s=sTJ0s˙=sT-σ1s-σ2sigr1s+ocom-σ22λJ01+r12Vs1+r12,sΓ,
(32)
其中: Γ=sR3so-σ1λJ021r1eo-. 此外,方程v˙=-γv1+r12 的解为v0=v00如下所示:
v (t) =v01+r12-21-r1t21-r1,
然后,不等式Vsvt以及时间T满足以下条件:
T1-r12Vs1+r12-ε1-r12,
因此,可得姿态四元数和角速度在有限时间内收敛.
证毕.
4 仿真
4.1 参数选择
通过以下仿真证明所设计控制算法的有效性. 柔性航天器动力学方程的转动惯量矩阵为
J=35034327010410190kgm2, ΔJ=03430104100kgm2.
期望四元数和角速度分别为qd = [1 0 0 0]Tωd =[0 0 0] T rad/s. 初始四元数和角速度值分别为 q(0)= [0.8832 0.3 −0.2 −0.3] Tω(0)= [0.05 −0.1 0.05]T rad/s. 此外,外部干扰力矩为 d = [0.1sin(0.5t)− 0.1cos(0.6t)0.1sin(0.5t)]T Nm. 以下分别给出仿真曲线.
4.2 无执行器故障仿真结果
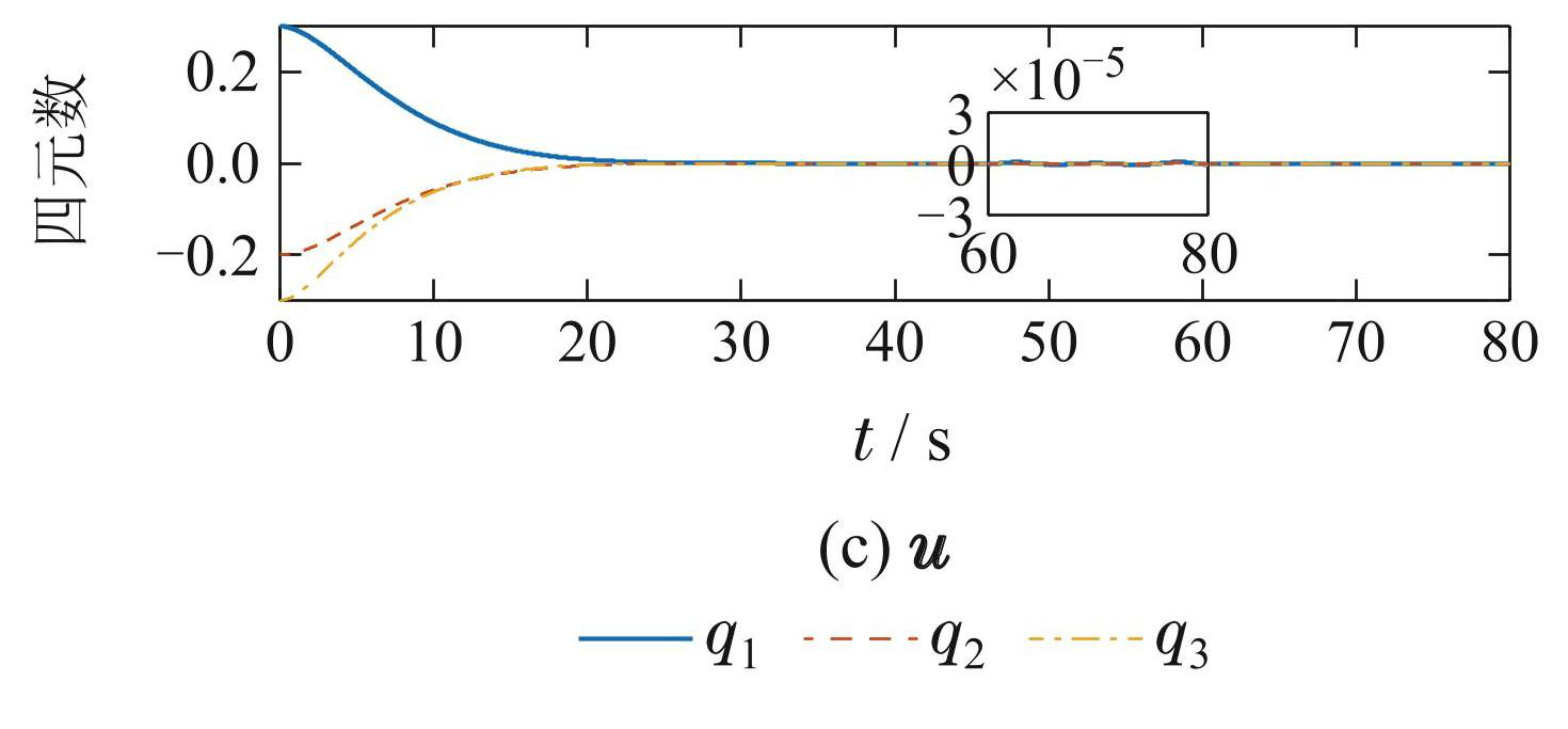
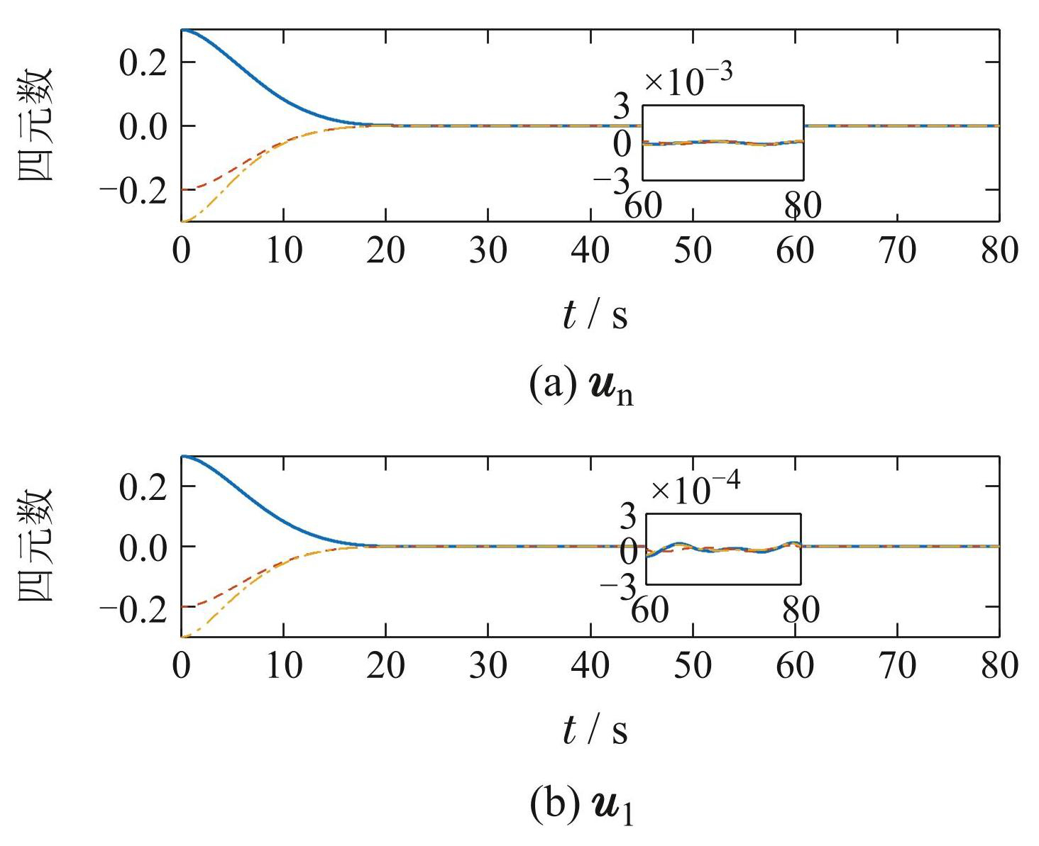
与文献 [11-12] 中控制器unulu作对比,控制参数为σ1 = 100,σ2 = 3.5和k1 = 0.3. 柔性航天器的补偿器参数为l= 3,µ0 = 0.3,µ1 = 0.03,µ2 = 0.003. 基于设计控制器(15),柔性航天器的控制参数为σ1 = 80,σ2 = 3.5,k1 = 0.3. 此外,柔性航天器的自适应定律参数为 ζ1 = 5,ζ2 = 1和ζ3 = 1. 控制器unulu对比响应曲线如图1–4所示.
图1–2中,给出了控制器unulu作用下柔性航天器姿态曲线,在设计控制器作用下,将姿态四元数精度从 3×10−3,3×10−4 提升到 3×10−5,角速度控制精度从2 × 10−3 rad/s,2 × 10−4 rad/s提升到2 × 10−5 rad/s. 因此,设计控制算法可实现柔性航天器高精度姿态控制.
图3–4给出了设计控制器综合不确定性估计和估计误差曲线. 由图3可得综合不确定性估计在1.5 s内收敛. 由图4可得,通过设计的控制u可实现综合不确定估计误差收敛到7 × 10−2 .
1姿态四元数对比
Fig.1Comparisons of attitude quaternion
2角速度对比
Fig.2Comparisons of angular velocity
3综合不确定性估计
Fig.3Lumped uncertainty estimation
4综合不确定性估计误差
Fig.4Lumped uncertainty estimation errors
4.3 发生执行器故障仿真结果
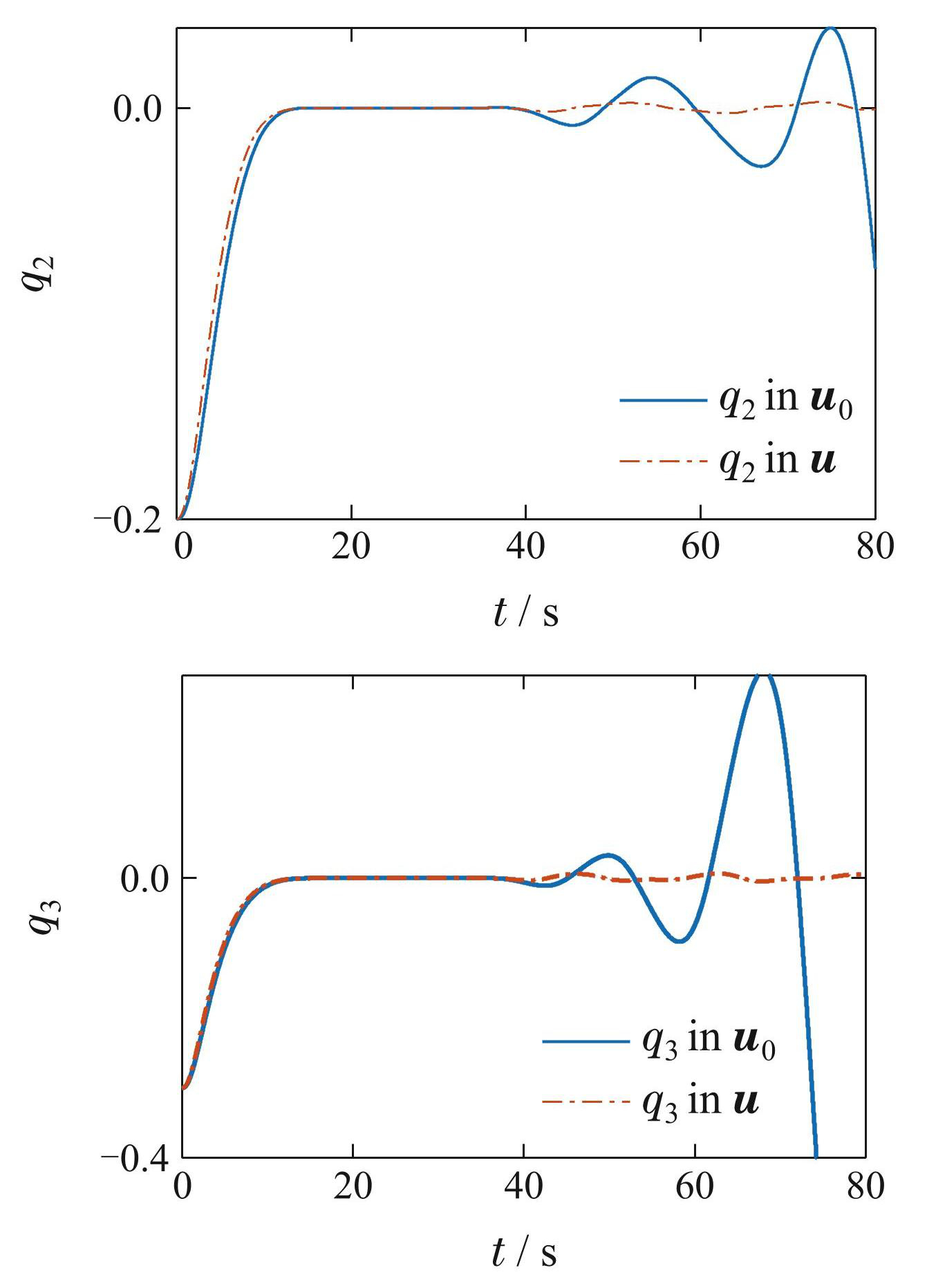
与文献 [5] 中控制器u0作对比,当t<35 s时,执行器成性故障因子为ρ=[0 0 0]T,执行器的加性故障为 f =[0 0 0]T. 当35 s ≤ t时,执行器效率因子为 ρ = [0.4 0.5 0.4]T,执行器附加故障为f = [0.6sin(0.2t)0.6 cos(0.3t)0.6 sin(0.4t)]T(Nm)+ 100ω. 控制器 u0和设计控制器u之间对比响应曲线如图5–7所示.
图5–6中,给出了在控制器u0与设计控制器(15)作用下柔性航天器姿态四元数与角速度曲线. 当执行器在35 s发生故障时,基于与角速度相关的自适应增益,航天器姿态四元数与角速度可在控制算法u作用下实现有限时间收敛,在控制算法u0作用下姿态四元数与角速度发散. 自适应律变化曲线如图7所示,所提出的自适应律是非过估计的. 当柔性航天器的综合不确定性较大时,自适应增益较大. 当柔性航天器的综合不确定性减小时,自适应增益减小.
5姿态四元数对比
Fig.5Comparisons of attitude quaternion
6角速度对比
Fig.6Comparisons of angular velocity
7控制力矩对比
Fig.7Comparisons of control torque
5 结论
由于柔性航天器零部件老化、电路短路或烧毁等不可预测因素影响,柔性航天器在运行过程中可能会发生执行器故障. 本文在模型不确定性、外部干扰和执行器故障的情况下,设计柔性航天器姿态容错控制算法,该算法可实现柔性航天器全局有限时间姿态控制,放宽角速度或其导数、执行器故障或其导数是有界的假设. 通过多组仿真,证明控制系统在有限时间稳定. 未来将继续展开柔性航天器编队姿态控制研究.
1姿态四元数对比
Fig.1Comparisons of attitude quaternion
2角速度对比
Fig.2Comparisons of angular velocity
3综合不确定性估计
Fig.3Lumped uncertainty estimation
4综合不确定性估计误差
Fig.4Lumped uncertainty estimation errors
5姿态四元数对比
Fig.5Comparisons of attitude quaternion
6角速度对比
Fig.6Comparisons of angular velocity
7控制力矩对比
Fig.7Comparisons of control torque
WU Aiguo, DONG Ruiqi, ZHANG Ying. Sliding mode attitude control for flexible spacecraft with inertia uncertainty. Control Theory & Applications,2018,35(10):1422-1429.(吴爱国, 董瑞琦, 张颖. 转动惯量存在不确定性的挠性航天器滑模姿态控制. 控制理论与应用,2018,35(10):1422-1429.)
TU Y Y, WANG D Y, STEVEN,et al. A reconfiguration-based faulttolerant control method for nonlinear uncertain systems. IEEE Transactions on Automatic Control,2022,67(11):6060-6067.
XIAO B, SHEN Y. A deep learning based data-driven thruster fault diagnosis approach for satellite attitude control system. IEEE Transactions on Industrial Electronics,2021 68(10):10162-10170.
HU Q L, LIU Y Y, ZHANG Y M. Velocity-free saturated control for spacecraft proximity operations with guaranteed safety. IEEE Transactions on Systems, Man,and Cybernetics: Systems,2022,52(4):2501-2513.
ZHAO X Y, ZONG Q, TIAN B L,et al. Adaptive multivariable finitetime continuous fault-tolerant control of rigid spacecraft. International Journal of Robust and Nonlinear Control,2019,29(10):2927-2940.
LI L L, LUO H, STEVEN X D,et al. Performance-based fault detection and fault-tolerant control for automatic control systems. Automatica,2019,99:308-316.
SHEN Q, YUE C F, GOH C H,et al. Active fault-tolerant control system design for spacecraft attitude maneuvers with actuator saturation and faults. IEEE Transactions on Industrial Electronics,2018,66(5):3763-3772.
ZHANG J H, ZHAO W S, SHEN G H,et al. Disturbance observerbased adaptive finite-time attitude tracking control for rigid spacecraft. IEEE Transactions on Systems, Man,and Cybernetics: Systems,2021,51(11):6606-6613.
CUI B, ZHANG L J, XIA Y Q,et al. Continuous distributed fixedtime attitude controller design for multiple spacecraft systems with a directed graph. IEEE Transactions on Circuits and Systems II: Express Briefs,2022,69(11):4478-4482.
ZHU W W, ZONG Q, TIAN B L. Adaptive tracking and command shaped vibration control of flexible spacecraft. IET Control Theory & Applications,2019,13(8):1121-1128.
ZHANG X Y, XUE W C, ZHAO Y L. On observability analysis and observer design for a class of nonlinear uncertain systems with general elastic vibration dynamics. Asian Journal of Control,2016,24(4):2013-2024.
ZOU A M, FAN Z. Fixed-time attitude tracking control for rigid spacecraft without angular velocity measurements. IEEE Transactions on Industrial Electronics,2020,67(99):6795-6805.