摘要
本文针对含LuGre摩擦模型的永磁同步电机系统中参数未知问题, 提出了一种新颖的基于参数估计误差信息的自适应非奇异快速终端滑模控制方法, 以保证参数估计误差和跟踪误差同时收敛. 为了估计系统的未知参数, 通过引入辅助滤波器来提取参数估计误差信息, 然后将参数估计误差信息嵌入到自适应律设计中, 实现对系统未知参数的估计. 为了提高永磁同步电机的跟踪精度, 提出了一种改进的滑模面, 并将设计的自适应律嵌入到滑模面中, 设计了自适应非奇异快速终端滑模控制器, 通过李雅普诺夫稳定性理论保证估计误差和跟踪误差的同时收敛. 最后, 通过对比仿真和实验验证了本文所提控制算法的有效性.
Abstract
This paper proposes a novel adaptive non-singular fast terminal sliding mode control method based on parameter estimation error information for the unknown parameters of permanent magnet synchronous motor system with LuGre friction model to guarantee the parameter estimation error convergence and tracking error convergence simultaneously. For this purpose, an auxiliary filter is introduced to extract the error information of parameter estimation. Then the error information of parameter estimation is used to drive adaptive law design to realize the estimation of unknown parameters of the system. In order to improve the tracking accuracy of permanent magnet synchronous motor, an improved non-singular fast terminal sliding mode surface is proposed. Then the new adaptation is incorporated into an improved non-singular fast terminal sliding mode surface to design controller. Then, using the Lyapunov stability analysis to ensure the convergence of estimation error and tracking error simultaneously. Finally, the effectiveness of the developed method is validated by using the comparative simulations and experiments.
1 引言
永磁同步电机(permanent magnet synchronous motor,PMSM)以其结构简单、可靠性高等优点,在工业过程中得到了广泛应用 [1-3] . 然而,这些系统中存在未知动态,例如摩擦、系统不确定性和外部干扰等,降低了永磁同步电机的控制性能. 其中,摩擦是降低电机性能的主要因素 [4-5],它能够导致明显的稳态跟踪误差、极限环振荡,从而导致控制系统的不稳定. 为了解决这些问题,研究人员提出了多种先进的控制算法,如自适应控制 [6]、鲁棒控制 [7]、模糊控制 [8]、滑模控制(sliding mode control,SMC)[9-10] 和神经网络控制 [11] 等. 在上述的控制策略中,基于摩擦模型的自适应摩擦补偿技术能够保持稳定性的同时消除系统中的大部分摩擦,被广泛的用于PMSM的控制中.
然而,为了将自适应摩擦补偿技术运用到永磁同步电机控制中,需要一个完整的摩擦模型以及对应的参数识别方案. 在摩擦模型中,LuGre模型能够模拟大多数摩擦行为,包括Stribeck效应、滞后和变化的分离力等 [12] . 但是,使用LuGre模型进行自适应控制设计的困难在于LuGre模型内摩擦状态不可测量,而且刷毛刚度、阻尼和粘性摩擦分量(σ0,σ1,σ2)是未知的. 所以如何估计内摩擦状态和模型中的未知参数是使用LuGre模型需要解决的问题. LuGre模型的内摩擦状态,通常可以通过设计一个状态观测器来得到 [5,13],而摩擦系数可以通过自适应参数估计设计得到. 现在自适应律很多是基于梯度下降算法实现的,根据系统的观测误差或者跟踪误差来设计,从而造成了参数收敛速度慢,并且当系统受到干扰时,估计参数不能收敛到其真值. 在文献 [14-17] 中,引入了一种新的通过滤波器来提取的估计误差设计自适应律的方法,避免了广泛的使用观测器的同时,保证了估计误差收敛. 本文设计了一种新颖的参数自适应律来估计系统的未知参数,并将其用于控制器设计.
另一方面,从永磁同步电机跟踪控制设计的角度来看,滑模控制已被证明是抑制未知有界扰动的有效方法 [18-19] . 文献 [20] 提出了一种非奇异终端滑模控制(non-singular terminal SMC,NTSMC)方法,该方法具有非奇异性、强鲁棒性、瞬态误差小等优点. 而非奇异快速终端滑模控制(non-singular fast terminal SMC,NFTSMC)方法 [21] 相比于传统的NTSMC方法,在保留NTSMC方法优点的同时改善了动态响应能力. 同时为了平衡收敛速度和抖动,许多新的趋近律被运用到控制器设计中,一种无开关型趋近律 [22] 提高了受控系统的鲁棒性; 而改进的指数趋近律 [23] 可以减少 SMC的抖振,改善谐波失真的总体特性. 所以可以通过使用新的滑模面设计,进一步修改了NFTSMC,保留NFTSMC的优势的同时提供更快的收敛速度和更小的抖振. 然而,当NFTSMC与具有经典自适应律的自适应控制相结合来实现永磁同步电机的跟踪控制时,无法保证估计参数的收敛.
受上述讨论的启发,本文针对LuGre摩擦模型的永磁同步电机系统中参数未知的问题,提出了一种新的自适应参数估计方法,并将其与改进的非奇异快速终端滑模控制相结合,以保证估计误差和跟踪误差的同时收敛,提高了受控系统的鲁棒性. 首先引入了一个辅助滤波器来提取估计误差,然后运用估计误差构造的自适应律. 将设计的自适应律与改进非奇异快速终端滑模面结合设计控制器,更新参数自适应律,保证估计误差和跟踪误差的同时收敛. 相对于传统的控制方法,本文提出的方法避免了传统TSMC方法中潜在的奇点问题,通过稳定性分析保证参数估计误差和跟踪误差的同时收敛. 最后,通过对比仿真和实验验证了所开发方法的有效性.
本文的结构安排如下: LuGre摩擦模型的永磁同步电机模型如第2节所示,在第3节中给出自适应参数估计方法,第4节介绍了改进NFTSMC控制设计,第5 节提供了仿真验证,第6节提供了实验验证,总结在第7节给出.
2 LuGre摩擦模型的永磁同步电机模型
将电机的转子坐标轴作为参考坐标,那么表贴式永磁同步电机的数学模型可以描述为
(1)
式中: id,iq分别为d轴和q轴的电流; ud,uq分别为d轴和q轴的电压; R为定子电阻; Ld,Lq分别为d轴和q轴的电感且满足Ld = Lq = L; ψf为永磁体产生的磁链; np为永磁同步电机的极对数; ω为电机机械转子角速度; TL为负载转矩; J为转动惯量; f为摩擦力.
为了更加真实的描述摩擦的性质和进行摩擦非线性的分析,非线性摩擦可用Lugre模型表示为
(2)
其中: z表示平均相对刷毛偏转为不可测量的内摩擦状态; g (ω)为Stribeck摩擦效应; Fc和Fs分别代表库仑摩擦力和最大静摩擦力; ωs是Stribeck速度; f为摩擦力矩; σ0和σ1是刷毛刚度和平均刷毛微阻尼系数; σ2为粘性摩擦系数.
本文采用文献 [5] 中的滑模观测器来估计未知摩擦状态z.
为了构造滑模观测器,定义跟踪误差
(3)
其中: xd为期望轨迹,x2 = ω为电机机械转子角速度.
构造滑模面
(4)
其中c是正常数,即c >0.
(5)
由式(2)(5)可得滑模观测器误差的方程为
(6)
定理 1 对于受到摩擦(2)影响的永磁同步电机系统(1),可以使用滑模观测器(5)估计内摩擦状态z,并且其估计值是有界的.
证选取Lyapunov函数求导得
(7)
选取合适的常数 µ0,使则估计误差趋近于零.
考虑式(2)中,内摩擦状态z由有界速度ω和有界非零函数g(ω)组成,则z有界. 由式(6)–(7)可知是有界的. 由于内摩擦状态z 和观测误差是有界的,可知是有界的. 同理,由式(5)中所有分量都有界可知也是有界. 证毕.
由式(1)–(6),系统动力学公式可以写成
(8)
选取状态变量和u = iq,则模型重写为
(9)
其中:是电机机械转子角位置,x2 =ω为电机机械转子角速度.
为了之后的分析,总结出以下假设:
假设 1 系统(9)的状态[x1 x2] = [θ ω],输入都是可测量和有界的.
假设 2 未知参数αi和它的时间导数2,3是有界的.
3 自适应参数估计
本节提出了一种新的参数自适应估计律来估计系统未知参数.
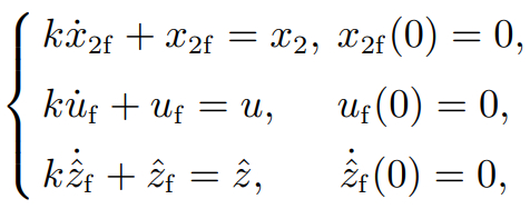
为了便于自适应律的设计,对x2,u和进行滤波得到x2f,uf和,即

(10)
其中k >0为滤波常数.
由式(9)–(10)以及运用交换引理在上可得
(11)
取
(12)
为了便于自适应律的设计由式(9)–(12),系统模型可以改写成
(13)
则由假设1和假设2可知是有界的,即可知
注 1 参数α4是因为使用交换引理产生的. 因此,滤波常数k一般应设置的较小. 另一方面,k定义了低通滤波器的带宽,足够大才可以滤除高频分量,同时最大限度地减少引入的延迟. 因此,应设置合适的滤波器常数.
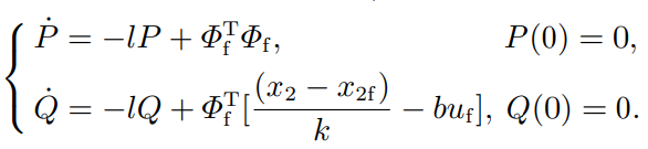
为了实现自适应参数估计,设计中间变量

(14)
为了使用式(14)中P设计自适应律,需要分析该矩阵的正定性. 用λmax(·),λmin(·)表示最大和最小矩阵特征值.其中l >0,则上式的解为
(15)
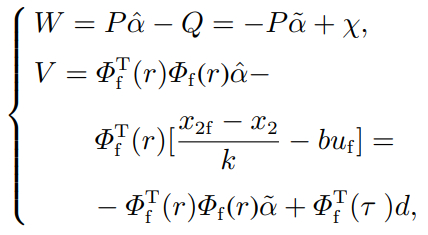
定义中间变量W和V 为

(16)
其中:是未知参数向量α的估计值,是参数估计误差,是残差且满足
由式(10)–(16),自适应律设计为
(17)
其中: Γ >0为对角矩阵,γ >0是常数.
定理 2 考虑具有未知参数α的系统(13),使用式(14)–(16)推导的自适应律(17). 如果回归矩阵Φf 是持续激励的,则估计误差收敛到一个小的紧集.
证选取Lyapunov函数求导得
(18)
由引理1可知,如果回归矩阵 Φf 是持续激励的,矩阵P 是正定的,即存在正常数 ϑ,使λmin(P)> ϑ >0,则−PTP <−ϑ 2E,其中E为单位矩阵.
然后利用杨氏不等式常数 m >0,可以进一步得到
(19)
其中:
当选取合适的参数使时,估计误差将收敛到定理2中紧集.
注 2 对于式(14)中的常数l,较大的l可以减小χ,从而减小估计误差收敛的紧集. 然而,非常大的l可能会减小P,Q,这可能会降低自适应律(17)的收敛速度. 因此,应设置合理的常数l.
4 改进的NFTSMC设计
本节把所提出的自适应参数估计方法结合到改进的NFTSMC中设计控制器,以同时实现跟踪控制和参数估计. 永磁同步电机控制框图见图1.
在常规NFTSMC中,定义如下滑模面为
(20)
其中: λ1和λ2为正数; p1,p2,q1,q2都是奇数,2,并且滑模面中没有负指数项. 因此,基于此滑模面的控制器可以避免奇异性问题,同时,相比于传统的 NTSC 滑模面其增加了一项,提高了收敛速度.
图1永磁同步电机控制框图
Fig.1The control block diagram of permanent magnet synchronous motor
对滑模面(20)求导数,得到下式:
(21)
则自适应参数的非奇异快速终端滑模控制器设计为
(22)
其中是是参数估计值,表示用于确保滑模面s收敛的反馈控制,且参数k1 >0,k2 >0.
将式(22)代入式(21)得
(23)
然后,将自适应参数估计纳入控制器设计时,可以得到更新的自适应律
(24)
定理 3 将使用自适应律(24)设计的控制器(22)代入到有未知参数α的系统(13)时,参数误差与跟踪误差会收敛到一个小的紧集. 此外更进一步,当选取合适的参数时,参数误差与跟踪误差可以收敛到零. 为了得到定义
证选取Lyapunov函数,求导得
(25)
其中由定理 2,可知收敛到一个小的紧集,则V2会收敛到一个小的紧集. 此外更进一步,当选取合适的参数,使时,此时参数误差与跟踪误差都收敛到零. 证毕.
5 仿真验证
为了验证本文所提算法的有效性,选择经典 PI 控制器、传统的积分滑模控制器、非奇异终端滑模控制器和基于参数估计的改进非奇异终端滑模控制器作比较.
永磁同步电机仿真参数如下所示: 额定功率 1.5 kW; 转动惯量(J),0.002 7 kg · m2; 永磁磁通(ψf),0.32Wb; 定子电阻(R),1.84 Ω; 转子电感(Lq),6.65 mH; 定子电感(Ld),6.65 mH; 磁极对数(np),4. PI控制器,比例增益kp = 15,积分增益ki = 800; 常规 SMC采用线性趋近律其参数为 ε1 = 500,k0 = 1000; 常规的 NTSMC 的参数为p =7,q = 5,λ = 0.001,ε1 = 5000,k0 = 4 200 000; 改进的NFTSMC的参数为p1 = 71,q1 = 50,p2 = 35,q2 = 33,β = 1.5,λ1 = 0.000 1,λ2 = 0.000 1,k1 = 40 000,k2 = 2 200 000,k= 0.01,l= 500,Γ = 0.05×diag{50,30,0.2,50}.
图2给出了不同控制器在负载转矩 TL = 2 N · m 时,分别以 200 r/min,500 r/min 和800 r/min 的速度启动时,其速度跟踪性能、跟踪误差和控制输入的仿真结果. 通过改变负载验证控制器抗扰性能,启动时电机转矩为0 N · m,运行到1 s时,负载转矩突然增加到2 N·m,1.5 s时,增加的负载转矩被去除. 可以看出,改进非奇异快速终端滑模控制器(modified non-singular fast terminal sliding mode control,MNFTSMC)和其他的控制器相比,具有更好的动态响应和抗干扰性能,电机受到扰动后速度的最大波动更小、恢复时间更短. 所以,开发的 MNTSMC方法具有更好的控制效果. 图3给出了的参数估计仿真结果. 从图3(a)中可以看出估计的参数收敛. 从图3(b)中可以看出,当负载扭矩发生突然变化时,估计的参数表现出振荡,然后再次收敛.
图24个控制器在不同期望轨迹下的速度响应
Fig.2Speed responses of the four controllers under the different desired trajectories
图3参数估计值
Fig.3Parameter estimates
6 实验验证
6.1 实验平台简介
为了验证设计的控制器的控制性能,使用永磁同步电机实验装置作为试验台(见图4). 实验平台由伺服驱动器、永磁同步电机、电机控制模块、负载控制模块、实时模拟器和扭矩传感器组成. 控制算法在 LINKS-RT中实现,采样频率为10 KHz,相电流由霍尔效应装置测量并转换为数字信号. 在实验中,负载的转动惯量可以通过增加额外的负载组件来调节.
图4永磁同步电机实验装置
Fig.4The experimental setup of permanent magnet synchronous motor
6.2 实验结果及分析
为了验证本文所提算法的有效性,选择经典PI控制器、传统的积分滑模控制器、非奇异终端滑模控制器和基于参数估计的改进非奇异终端滑模控制器作比较. 永磁同步电机实验平台实际参数和仿真参数相同.
为了进行公平的比较,电流回路中使用具有相同参数的PI调节器. PI控制器,比例增益kp = 0.04,积分增益ki = 0.5; 常规SMC采用线性趋近律,其中参数设置为 ε1 = 5,k0 = 100; 常规的 NTSMC的参数选择为p = 7,q= 5,λ= 0.0004,ε1 = 55,k0 = 20; 改进的NFTSMC的参数选择为p1 = 71,q1 = 51,p2 = 35,q2 = 33,β = 1.2,λ1 = 0.001,λ2 = 0.008,k1 = 150,k2 = 220,k= 0.01,l= 150,Γ = 0.005×diag{83,50,10,60}.
图5给出了不同控制器在负载转矩 TL = 2 N · m 时,分别以 200 r/min,500 r/min 和800 r/min 的速度启动时,其速度跟踪性能、跟踪误差和控制输入的实验结果. 通过改变负载验证控制器抗扰性能,启动时电机转矩为0 N · m,运行到5 s时,负载转矩突然增加到2 N · m,10 s时,增加的负载转矩被去除. 可以看出,MNFTSMC控制器和其他的控制器相比具有更好的动态响应和抗干扰性能,电机受到扰动后速度的最大波动更小、恢复时间更短. 所以,开发的MNTSMC方法具有更好的控制效果.
图6给出了的参数估计的实验结果.
图54个控制器在不同期望轨迹下的速度响应
Fig.5Speed responses of the four controllers under the different desired trajectories
从图6(a)中可以看出,估计的参数收敛到真实值. 从图6(b)中可以看出,当负载扭矩发生突然变化时,估计的参数表现出振荡,然后再次收敛.
图6参数估计值
Fig.6Parameter estimates
7 结论
本文针对LuGre摩擦模型的永磁同步电机系统中参数未知的问题,提出了一种新的自适应参数估计方法,并将其与改进的非奇异快速终端滑模控制相结合,以保证估计误差和跟踪误差的同时收敛. 首先,运用了辅助滤波器变量来提取参数估计误差的信息; 然后,构造提取估计误差推导的自适应律,并将其代入LuGre摩擦模型的永磁同步电机系统中; 之后,将设计的自适应律结合到永磁同步电机系统的改进非奇异快速终端滑模控制中,设计控制器并且更新参数自适应律,通过稳定性分析保证估计误差和跟踪误差的同时收敛. 仿真和实验结果表明,所提出的方法可以获得优于传统的方法的参数估计效果和跟踪性能.