基于补偿控制的自适应模型预测控制
doi: 10.7641/CTA.2023.30292
张雪敏 , 富月
东北大学流程工业综合自动化国家重点实验室, 辽宁 沈阳 110819
基金项目: 国家自然科学基金项目(62333004, 61991400, 61825301, 61991403)资助.
Adaptive model predictive control based on compensation control
ZHANG Xue-min , FU Yue
State Key Laboratory of Synthetical Automation for Process Industries, Northeastern University, Shenyang Liaoning 110819 , China
Funds: Supported by the National Natural Science Foundation of China (62333004, 61991400, 61825301, 61991403).
摘要
针对参数未知、外部干扰未知并且带有输入、输出约束的离散时间仿射非线性系统, 本文基于高阶干扰观测器的投影算法与模型预测控制和补偿控制相结合, 提出了一种基于补偿控制的自适应模型预测控制方法. 利用基于高阶干扰观测器的投影算法对未知参数和外部干扰同步估计, 根据干扰观测值和参数估计值设计补偿控制量, 使系统输入和输出满足约束条件, 从而保证模型预测控制优化问题的可行性, 并使系统的输出收敛到标称系统的输出. 最后, 将所提方法应用到电熔镁砂熔炼过程中电极电流控制的仿真实验中, 通过仿真验证所提方法的有效性.
Abstract
For discrete-time affine nonlinear systems with unknown system parameters, unknown external disturbances and input and output constraints, an adaptive model predictive control method based on compensation control is proposed by combining compensation control, parameter estimation and model predictive control. The projection algorithm based on high-order disturbance observer is used to estimate the unknown parameters and external disturbance synchronously. According to the disturbance observation values and parameter estimation values, the compensation control variables are designed to make the input and output of the system meet the constraints, thus ensuring the feasibility of the model predictive control optimization problem and making the output of the system converge to the output of the nominal system. Finally, the proposed method is applied to the simulation experiment of electrode current control in fused magnesia smelting process, and the effectiveness of the proposed method is verified by simulation.
1 引言
模型预测控制(model predictive control,MPC)又称滚动时域控制,已从最初工业过程应用的控制算法发展为被广泛应用的计算机控制策略 [1] . MPC的原理为在每次采样后根据当前的测量信息在线求解有限时域开环优化问题,得到控制序列将其第1个元素作用于被控对象并重复此过程 [2-3],由于在设计过程中考虑了一定控制范围内扰动的影响,因此,MPC对外部干扰具有一定的鲁棒性 [4] . 而实际被控对象往往含有未知参数,此时无法在线求解有限时域开环优化问题,从而难以将MPC应用到实际系统中. 对于含有未知参数的系统,因自适应控制可在线设计控制器以适应被控对象的不确定性 [5],一种直观的方法将自适应机制引入MPC设计过程中.
因自适应MPC可实现参数未知系统的MPC问题,近年来受到了越来越多学者的广泛关注. 在系统状态可测、输出矩阵已知而参数矩阵未知的情况下,文献 [6] 将基于参数估计的自适应更新律与 MPC 相结合,设计了无约束的自适应MPC方法,解决了参数不确定线性系统的MPC问题. 在存在状态和输入约束的情况下,文献 [7] 针对一类具有常参数不确定性的离散时间线性系统,提出了一种对Min–max算法改进的自适应MPC方法; 文献 [8] 设计了基于梯度下降的间接自适应MPC方法来处理参数不确定性; 文献 [9] 将自适应参数估计算法与带有约束的连续时间线性系统的比较模型相结合,设计了自适应MPC方法. 为了保证闭环系统的稳定性,文献 [10] 将自适应更新律与鲁棒MPC相结合,提出非线性系统的自适应MPC方法. 针对离散时间非线性系统,文献 [11] 提出了一种自适应实用非线性MPC算法,使用在线估计的回声状态网络作为过程模型. 虽然上述方法解决了系统模型参数不确定的问题,但都没有考虑外部干扰对系统的影响.
当外界干扰存在时,传统MPC方法可能存在不可行的问题 [7],而实际的系统往往带有外部干扰,所以近年来对MPC的研究加入了对外界干扰的考虑. 文献 [12] 提出了一种鲁棒MPC方法来克服外部干扰带来的影响,然而,如果存在参数不确定性,情况就会复杂得多. 假设系统存在测量噪声时,文献 [13] 针对非性系统,提出了一种新的基于学习策略的自适应MPC算法,应用统计方法来估计模型的不确定性. 文献 [14] 针对一般扰动提出了一种非线性鲁棒MPC方法. 文献 [15] 设计了一种自适应对偶MPC算法,通过将参数估计误差的协方差纳入目标函数来降低系统的不确定性. 上述方法虽然提供了严格的理论证明,但其算法较复杂,难以应用于工程上. 文献 [16] 为消除实际船舶航向控制中干扰的影响,提出了一种干扰补偿 MPC方法,利用干扰观测器得到干扰观测值来补偿系统的偏移误差. 文献 [17] 针对状态不可测并且干扰未知的离散时间线性系统,提出了一种新的基于干扰补偿控制的MPC方法,克服了传统MPC方法求解具有外部干扰和状态约束的优化控制问题时存在无可行解的局限. 上述基于补偿控制的MPC方法都是在系统参数已知的情况下提出的,无法解决系统参数未知时的MPC问题. 文献 [18] 针对具有外部扰动的不确定非线性系统,在假设干扰已知上界的前提下提出了一种鲁棒自适应MPC方法求解带有外部扰动的自适应MPC问题,鲁棒MPC假设外部扰动有界,且被约束在一个紧集中从而忽略干扰的动力学知识,因此可能得到保守的结果 [16] . 为了克服上述局限,本文提出了一种基于补偿控制的自适应MPC方法.
因MPC能够解决带约束的控制问题,在工业领域得到了广泛应用 [19-21] . 本文考虑将所提出的MPC方法应用于电熔镁砂熔炼过程A相电极电流控制的仿真实验中. 现有的电熔镁砂熔炼过程A相电极电流控制的方法中,文献 [22] 设计了带输出补偿的PID控制方法,但没有考虑实际电机转动频率的约束使得输出电流与设定值之间的误差较大. 文献 [23] 提出一种简化的电极电流饱和约束一步最优控制方法,通过引入中间变量并转化控制目标,将电熔镁砂熔炼过程三相电极电流的复杂非线性控制问题转化为线性控制问题,但是,其结果是在假设电极电流输出不为零的前提下得出的,且只考虑了输入饱和.
本文将高阶干扰观测器和投影算法相结合,对未知参数和干扰同步估计,并基于此设计补偿控制量,通过求解MPC优化控制问题,在系统输入、输出均满足约束条件的情况下获得最终的控制量,并使系统输出收敛到标称系统的输出,最后应用到电熔镁砂熔炼过程A相电极电流控制仿真实验中. 本文主要创新点如下:
1)提出了由补偿控制、参数估计与MPC构成的基于补偿控制的自适应MPC控制系统结构;
2)提出了基于高阶干扰观测器的投影算法,同步辨识未知参数和干扰,并证明了算法的收敛性;
3)设计了补偿控制算法,以确保自适应MPC优化问题的可行性.
2 问题描述
考虑如下参数未知且带有外部干扰的连续时间高阶仿射非线性系统 [24] :
y(n)(t)=afy(t),y'(t),,y(n-1)(t)+bg(y(t),y'(t),,y(n-1)(t)u(t)+d(t),
(1)
其中:ytR为系统的输出; utR为控制输入; f(·)和g(·)为已知的非线性函数; ab为未知参数; dt)为未知外部干扰; n为系统阶次.
采用前向差分法对系统(1)进行离散化,并令 n = 1,可得如下一阶离散时间仿射非线性系统 [24] :
y(k+1)=y(k)+af(y(k))+bg(y(k))u(k)+d(k)+Δy(k),
(2)
其中:Δ=1-z-1表示一阶差分,z-1为单位后移算子; Δyk=yk-yk-1为误差补偿项 [2224] .
本文的目标是以一阶离散时间仿射非线性系统(2)为例,设计基于补偿控制的自适应MPC方法,使系统输出yk)在参数未知和干扰未知的情况下跟踪其设定值yk),并满足如下输出约束和输入约束:
ymin<y(k)<ymax,
(3a)
umin<u(k)<umax,
(3b)
同时使系统的输出响应接近于标称系统(无未知干扰且系统参数已知的系统)在常规MPC下的输出响应.
标称系统的常规MPC优化问题可表示为
min i=1Np {s[y(k+ik)- y*(k+i)2+ru(k+ik)2, s.t. y(k+i+1k)= y(k+ik)+af(y(k+ik))+
(4)
bg(y(k+ik))u(k+ik)+Δy(k+ik),
(5)
y(kk)=y(k),
(6)
ymin<y(k+ik)<ymax,i=1,,Np,
(7)
umin<u(k+ik)<umax,i=0,,Nc-1,
(8)
其中: 式(4)中srR为优化问题中对应的加权常数; NpNc分别为预测时域和控制时域; 式(5)为系统未来输出的动力学模型; 式(6)中,yk)为测得的系统实际输出; 式(7)和式(8)为系统预测输出和输入的约束.
对于上述标称系统,若在平衡点处的线性化模型是可稳的,则通过设计相应的终端惩罚矩阵和终端域,当优化控制问题在初始时刻下存在可行解时,则优化控制问题在每一时刻都是可行的 [2] . 而当系统含有未知参数且受外部干扰影响时,无法对输出进行预测,从而无法求解优化控制问题. 文献 [17] 针对系统参数已知、外部干扰未知的线性系统,设计了基于干扰补偿的MPC方法来保证可行性. 而系统(2)中除未知干扰dk)外还存在未知参数ab,这些不确定性会影响优化控制问题的可行性.
3 基于高阶观测器的投影算法
针对系统(2),为使在满足约束(3)的情况下,系统输出跟踪其设定值,并解决参数未知和干扰未知带来的MPC优化控制问题不可行的难点,本文提出了如图1所示的由高阶观测器 [25] 与投影算法 [26] 相结合的辨识算法、标准MPC方法、补偿控制以及仿射非线性系统组成的控制系统结构,其中由基于高阶观测器的投影算法同步辨识获得未知参数和干扰的估计值,再结合输出测量值设计补偿控制,将补偿控制量代入 MPC控制优化问题求得控制律.
1基于补偿控制的自适应MPC系统结构
Fig.1Adaptive MPC system structure based on compensation control
为了便于算法设计,将式(2)等价转化为
Az-1y (k) =bg (y (k-1) ) u (k-1) +af (y (k-1) ) +d (k-1) ,
其中Az-1=1-2z-1+z-2.
定义广义输出ϕk=Az-1yk则可以得到参数ab的辨识方程如下:
ϕ (k) =bg (y (k-1) ) u (k-1) +af (y (k-1) ) +d (k-1) ,
定义数据向量φk − 1)和参数向量θ分别为
φ (k-1) =[u (k-1) g (y (k-1) ) f (y (k-1) ) d (k-1) ]Tθ=ba1T
由于数据向量φk − 1)中干扰dk − 1)未知,令d^k- 1)k − 1 时刻未知干扰dk − 1)的观测值,qk− 1)= dk − 1)−d^k-1k − 1时刻干扰的观测误差,并假设D 为干扰观测误差上界,则将数据向量 φk − 1)改写为
φ^ (k-1) =[u (k-1) g (y (k-1) ) f (y (k-1) ) d^ (k-1) ]T.
所提出的基于高阶观测器的投影算法如下:
θ^(k)=θ^(k-1)+s(k-1)φ^(k-1)c+φ^T(k-1)φ^(k-1)×e(k),
(9a)
s(k-1)=1,|e(k)|>2D,0, ,
(9b)
d^(k)=d^(k-1)+L0[y(k)-y^(k)]+Δd^(k-1)+L1[Δy(k)-Δy^(k)]++Δηd^(k-1)+LηΔηy(k)-Δηy^(k),
(9c)
y^(k)=2y(k-1)-y(k-2)+φ^T(k-1)θ^(k-1),
(9d)
其中:θ^kk时刻参数向量的估计; cRc >0; ek)为k时刻系统的估计误差
e(k)=ϕ(k)-φ^T(k-1)θ^(k-1),
(10)
LjRj=0,1ηη为高阶干扰观测器的阶次; y^kk时刻系统的估计输出. 由式(9)可知,对未知干扰进行观测时干扰的观测值依赖参数的估计值,反之对参数进行估计时采样得到系统的输出值也受未知干扰的影响.
引理 1 采用基于高阶观测器的投影算法(9)对参数进行估计时,参数估计误差满足:θ^k-θθ^0-θk1即参数估计误差有界,且limk sk-1e2k-4D2=0,即在系统趋于稳态时|ek|2D.
将式(9a)两端同时减去参数向量真值θ,得到
θ~(k)=θ~(k-1)+s(k-1)φ^(k-1)c+φ^T(k-1)φ^(k-1)e(k),
(11)
其中,θ~k为k时刻参数向量θ的估计误差,此时系统估计误差(10)可写为
e(k)=-φ^T(k-1)θ~(k-1)+q(k-1),
(12)
将式(12)代入式(11)再对其求范数可得
θ~(k)2=θ~(k-1)2+s2(k-1)φ^T(k-1)φ^(k-1)e2(k)c+φ^T(k-1)φ^(k-1)2-2s(k-1)[e(k)-q(k-1)]e(k)c+φ^T(k-1)φ^(k-1),
(13)
c >0,则φ^Tk-1φ^k-1c+φ^Tk-1φ^k-1<1且由式(9b)知s k − 1)的值为0或1,可将式(13)放缩为
θ~(k)2θ~(k-1)2-s(k-1)e2(k)c+φ^T(k-1)φ^(k-1)+2s(k-1)e(k)q(k-1)c+φ^T(k-1)φ^(k-1),
(14)
再由2qk-1eke2k2+2q2k-1可进一步将式(14)放缩为
θ~(k)2θ~(k-1)2-s(k-1)e2(k)c+φ^T(k-1)φ^(k-1)+s(k-1)2q2(k-1)+e2(k)2c+φ^T(k-1)φ^(k-1)θ~(k-1)2-s(k-1)e2(k)2c+φ^T(k-1)φ^(k-1)+2s(k-1)D2c+φ^T(k-1)φ^(k-1),
(15)
再由式(9b)可得
-s(k-1)e2(k)2c+φ^T(k-1)φ^(k-1)+2s(k-1)D2c+φ^T(k-1)φ^(k-1)0
(16)
所以由式(15)和式(16)可得
θ~ (k) 2-θ~ (k-1) 20,
因此θ~k2θ~k-12θ~02θ~k2为递减序列,即参数估计误差有界. 对式(15)两端进行累加可得
limN k=1N s(k-1)e2(k)-4D2c+φ^T(k-1)φ^(k-1)<,
(17)
再由式(9b)与式(17)结合可得
limk s (k-1) e2 (k) -4D2=0
所以在系统趋于稳态时|ek|2D又因参数的估计误差有界,且φ^Tk-1中含有的输入输出数据受系统约束也是有界的,因此,φ^Tk-1θ~k-1有界,再由式(12)可得干扰观测误差有界. 证毕.
4 补偿控制
为了克服参数估计误差和未知干扰引起无法求解MPC优化问题的局限,本节设计相应的补偿控制量来解决该难点. 由引理1可设未知参数的估计误差满足a~k=a-a^kγb~k=b-b^kβ由基于高阶干扰观测器的投影算法得到干扰观测值d^kθ^k后,再根据下式求解补偿控制量u ′:
(b^(k)+β)g(y(k))u'+d^(k)+D+γf(y(k))+βg(y(k))umax=0,
(18)
其中umax为输入约束给定的上界.
针对不确定系统(2),将输出估计值y^k+1及通过式(18)求得的补偿控制量u ′代入如下MPC优化问题:
mini=1NP sy^(k+ik)-y*(k+i)2+ru2(k+ik)
(19)
s.t. y^(k+1k)= y(kk)+a^(k)f(y(kk))+ b^(k)g(y(kk))u(k)+Δy(kk),
(20)
y^(k+ik)=y^(k+i-1k)+a^(k)f(y^(k+i-1k))+b^(k)g(y^(k+i-1k))u(k+i-1k)+Δy^(k+i-1k),i=2,,Np,
(21)
ymin<y^(k+ik)<ymax,i=1,,Np,
(22)
umin-u'<u(k)<umax-u',
(23)
umin<u(k+ik)<umax,i=1,,Nc-1,
(24)
求解上述优化问题,可得控制序列
U*=u*(kk)u*(k+1k)u*k+Nc-1k,
(25)
U中的第1个元素uk|k)与补偿控制量u ′相加得到控制律
u(k)=u*(kk)+u',
(26)
将其施加到系统(2),得到系统输出. 本文所提出的基于补偿控制的自适应MPC算法设计步骤如下:
步骤 1 置初值θ^0;
步骤 2k时刻通过基于干扰观测器的投影算法(9)同步辨识得到干扰观测值d^k和参数估计值θ^k;
步骤 3 根据式(18)计算补偿控制量u ′;
步骤 4 求解MPC优化问题(19)得到解uk|k),将控制律(26)作用于系统(2);
步骤 5k = k + 1,返回步骤2.
基于补偿控制的自适应MPC算法的流程图如图2所示. 当系统参数已知、系统不受未知干扰影响时,d^k+D+γfyk+βgykumax=0此时u ′= 0,基于补偿控制的MPC方法退化为标准MPC方法.
2算法流程图
Fig.2Algorithm flow chart
引理 2 如果补偿控制量满足条件(18),且MPC 优化问题(19)存在可行解,则将优化问题(19)对应解(25)的第1个元素与补偿控制量u ′相结合作用于系统(2)时,系统输出满足约束ymin <yk)<ymax.
C=-11Y=-yminymax则输出约束(3a)可写为
Cy(k)<Y,
(27)
若式(18)成立,且MPC优化问题(19)存在可行解则有
(b^(k)+β)g(y(k))u'+d^(k)+D+γf(y(k))+βg(y(k))umax=0,
(28)
Cy*(k+1k)<Y,
(29)
umin-u'<u(kk)<umax-u',
(30)
由式(26)和式(30)得输入满足约束
umin<u (k) <umax,
u*kk对应的预测输出为y^*k+1k再由式(2)(20)和式(26)可得
y(k+1)=y(k)+af(y(k))+bg(y(k))u(k)+d(k)+Δy(k)=y(k)+(a^(k)+a~(k))f(y(k))+(b^(k)+b~(k))g(y(k))u*(kk)+u'+d^(k)+q(k)+Δy(k)=y^*(k+1k)+d^(k)+q(k)+a~(k)f(y(k))+b^(k)g(y(k))u'+b~(k)g(y(k))u*(kk)+b~(k)g(y(k))u',
(31)
再将式(31)与式(18)(27)结合可得
Cy (k+1) =Cy^* (k+1k) +d^ (k) +q (k) +a~ (k) f (y (k) ) +b^ (k) g (y (k) ) u'+b~ (k) g (y (k) ) u* (kk) +b~ (k) g (y (k) ) u'Cy^* (k+1k) +d^ (k) +D+γf (y (k) ) +b^ (k) g (y (k) ) u'+βg (y (k) ) umax+βg (y (k) ) u'=Cy* (k+1k) <Y.
证毕.
5 仿真实验
5.1 数值仿真
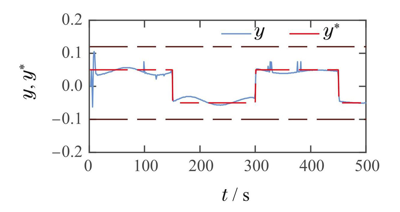
为验证本文所提的基于补偿控制的自适应MPC方法的有效性,以如下离散时间仿射非线性系统为例进行仿真实验:
y (k+1) =y (k) +af (y (k) ) +bg (y (k) ) u (k) +d (k) +Δy (k) ,
其中: a= 1.1,b= 1.2为未知参数; fyk))= yk)+ y 2k),gyk))= 1+ yk)+ y 2k)为已知非线性函数; dk)= 0.05 sin(2πt/100)+ 0.1 cos(2πt/120)为外部不可测扰动; 输入约束和输出约束分别为
-0.2<u<0.2-0.1<y<0.12
选择参考输入y为幅值为0.05的方波信号. 为实现本文所提出的控制算法,选择高阶观测器阶次 η = 2; 常值系数L0 = 0.6411,L1 = 0.8569,L2 = 0.8945; 参数估计向量初值θ^0=1.1 1 1T; 干扰观测器所需观测精度D = 0.0005; 预测时域、控制时域Np = Nc = 5; 参数估计精度γ = β = 0.0005; 加权系数s = 0.9,r = 0.1. 仿真结果如图3–6所示.
3采用本文控制方法时系统输出
Fig.3System output when using the control method in this paper
4采用本文控制方法时系统输入
Fig.4Input of system when using the control method in this paper
5未知干扰的观测曲线
Fig.5Observed curve of unknown disturbance
图3–4分别为采用本文控制方法时系统的输出曲线和输入曲线,图5为对未知干扰的观测曲线,图6为未知参数的估计曲线. 由图3–4可以看出,系统的输入、输出均满足约束条件; 由于参考输入的幅值在k = 150,300,450时发生变化,系统输入在相应时刻产生跳变. 由图5可以看出高阶观测器对干扰进行观测时,经过几步调整后几乎不存在观测误差. 图6中参数估计曲线经过几步调整趋于稳定,可以看出给定的干扰观测器观测精度足以提供所需辨识精度.
6未知参数的估计曲线
Fig.6Estimation curves of unknown parameters
为了进一步验证所提出算法的优越性,与文献 [27] 中算法进行仿真对比. 采用文献 [27] 中的方法得到仿真结果如图7–8所示. 从图7可以看出,采用文献 [27] 中控制方法时系统输出曲线虽然也能够跟踪参考输入,但与图3相比,图7中系统输出曲线波动更大,显然在存在外部干扰和参数不确定性时,采用本文所提出的控制方法可使系统输出更好地跟踪参考输入.
7采用文献 [27] 控制方法时系统输出
Fig.7System output when using the control method in [27]
8采用文献 [27] 控制方法时系统输入
Fig.8Input of system when using the control method in [27]
5.2 在电熔镁砂熔炼过程A相电极电流中的仿真
电熔镁炉熔炼过程中通过供电系统对A,B和C三相电极供电,在其端部产生电弧释放热量来熔化原矿,形成熔池. 由于熔化温度高,熔炼过程中将三相电极埋入原矿中,采用埋弧的方式边熔化边加料. 电流控制系统通过控制电机,使三相电极上下移动来使电极电流跟踪其设定值. 电熔镁炉熔炼系统以三相电机转动方向与频率为输入,以三相电极电流为输出. 文献 [21] 中以A相电极为例,得到电熔镁砂熔炼过程电极电流离散化的模型,即
y (k+1) =y (k) +3πFy2 (k) -23Qu (k) y2 (k) +Δy (k) ,
其中: yk)为k时刻的电极电流; uk)为k时刻的电机转动方向与频率; ∆yk)为建模误差补偿; FQ为非线性函数且随时间变化缓慢. 因此,可假设为常数F^Q^得到如下方程:
y(k+1)=y(k)+ay2(k)+by2(k)u(k)+Δy(k),
(32)
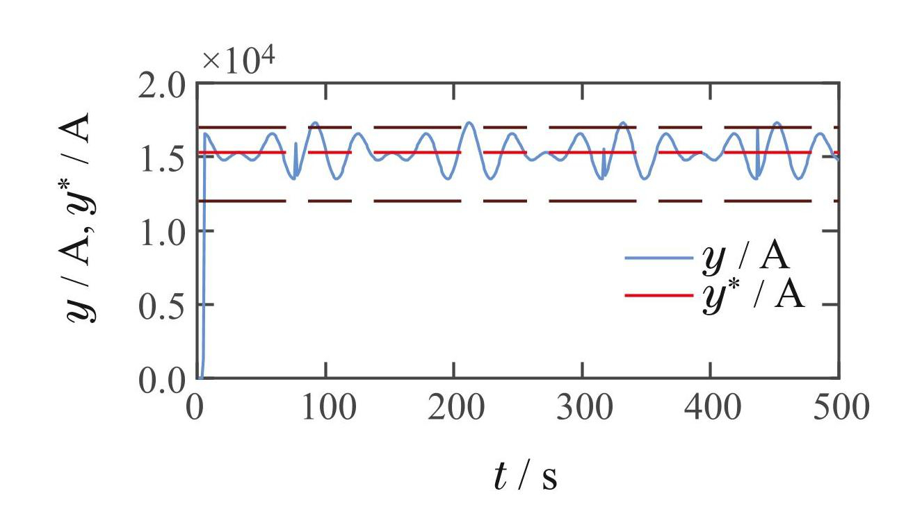
其中:a=3πF^b=-23Q^. 电极电流的参考输入为y k)= 15300 A,电极电流yk)和电机的转动方向与频率uk)的约束为
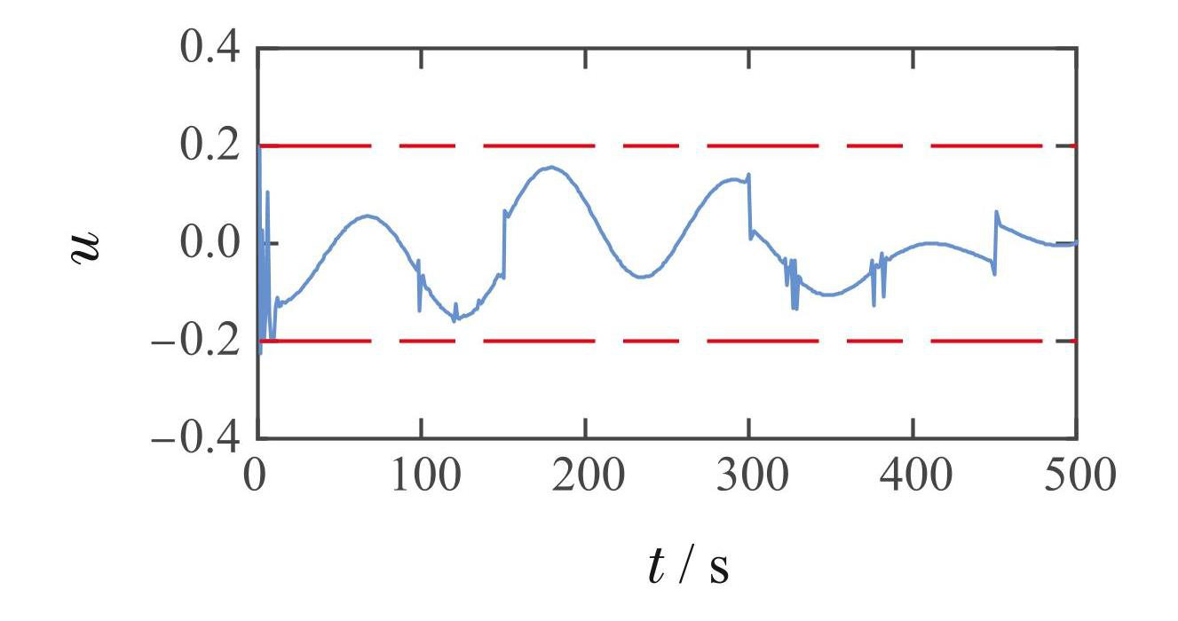
12000<y (k) <17000, -20<u (k) <20.
电熔镁砂的熔炼过程通常会受到杂质成分、外部条件等不确定性因素及外部不可测扰动的影响,使系统的暂态性能变差,所以考虑系统中存在外部干扰 drk)= 1000 sin(/20)+1000 cos(/15),则将模型(32)改写为
y(k+1)=y(k)+ay2(k)+by2(k)u(k)+Δy(k)+dr(k).
(33)
采用本文所提的基于补偿控制的MPC方法对系统(33)进行控制,选择高阶观测器阶次η = 2; 常值系数L0 = 0.8411,L1 = 0.996,L2 = 1; 参数估计向量初值θ^0= [−0.0024 − 0.000074 1]T; 预测时域、控制时域Np = Nc = 4; 加权系数s = 0.2,r = 0.1; 干扰观测器所需观测精度D = 12; 参数估计精度 γ = β = 0.00000005. 得到仿真结果如图9–12所示.
9采用本文控制方法时A相电极电流
Fig.9A-phase electrode current when using the control method in this paper
图9–10分别为采用本文控制方法时电熔镁砂熔炼过程 A相电极电流的输出曲线和控制输入曲线,图11–12为外部不可测扰动的观测曲线与未知参数的估计曲线. 由于仿真输出从零开始,从图9中可以看出电极电流输出在仿真初始时刻超出输出约束范围; 从图10中可以看出控制输入实际变化范围远小于控制输入的约束范围; 从图11中可以看出对干扰进行观测时,在经过几步调整后几乎不存在观测误差; 从图12可以看出未知参数的估计曲线趋于稳定. 图13为无补偿控制时A相电极电流的输出曲线,可以看出此时电极电流的输出出现较大的波动,从而说明补偿控制与预测控制相结合可较好地解决这一问题. 在系统中含有未知参数且受外部干扰影响时,采用本文提出的基于补偿控制的自适应MPC方法,电机的转动方向与频率uk)满足约束范围,电极电流也可以较好地跟踪设定电流值.
10采用本文控制方法时电机转动方向与频率
Fig.10Rotation direction and frequency of motor when using the control method in this paper
11未知干扰的观测曲线
Fig.11Observation curves of unknown disturbance
12未知参数的估计曲线
Fig.12Estimation curve of unknown parameters
6 结论
本文将基于高阶干扰观测器的投影算法与补偿控制相结合,提出一种基于补偿控制的自适应MPC方法. 首先,通过对未知参数和外部干扰进行同步估计,再根据其估计值设计补偿控制量,采用自适应的策略求解带参数估计的MPC优化控制问题. 然后,证明了所提出的基于补偿控制的自适应MPC方法的可行性. 数值仿真结果表明,所提出的方法能够使系统在满足约束的情况下跟踪设定值. 最后,再将此方法应用于电熔镁砂熔炼过程A相电极电流仿真实验,通过仿真验证了所提方法的有效性. 由于本文所提方法针对的是一阶离散时间仿射非线性系统,在接下来的研究工作中,笔者会考虑对高阶的离散仿射非线性系统进行分析,设计对应控制器来实现跟踪设定值.
13无补偿控制时A相电极电流
Fig.13A-phase electrode current without compensation control
1基于补偿控制的自适应MPC系统结构
Fig.1Adaptive MPC system structure based on compensation control
2算法流程图
Fig.2Algorithm flow chart
3采用本文控制方法时系统输出
Fig.3System output when using the control method in this paper
4采用本文控制方法时系统输入
Fig.4Input of system when using the control method in this paper
5未知干扰的观测曲线
Fig.5Observed curve of unknown disturbance
6未知参数的估计曲线
Fig.6Estimation curves of unknown parameters
7采用文献 [27] 控制方法时系统输出
Fig.7System output when using the control method in [27]
8采用文献 [27] 控制方法时系统输入
Fig.8Input of system when using the control method in [27]
9采用本文控制方法时A相电极电流
Fig.9A-phase electrode current when using the control method in this paper
10采用本文控制方法时电机转动方向与频率
Fig.10Rotation direction and frequency of motor when using the control method in this paper
11未知干扰的观测曲线
Fig.11Observation curves of unknown disturbance
12未知参数的估计曲线
Fig.12Estimation curve of unknown parameters
13无补偿控制时A相电极电流
Fig.13A-phase electrode current without compensation control
QIN S J, BADGWELL T A. A survey of industrial model predictive control technology. Control Engineering Practice,2003,11(7):733-764.
CHEN Hong. Model Predictive Control. Beijing: Science Press,2013.(陈虹. 模型预测控制. 北京: 科学出版社,2013.)
MAYNE D Q, RAWLINGS J B, RAO C V,et al. Constrained model predictive control: Stability and optimality. Automatica,2000,36(6):789-814.
WANG L. Model Predictive Control System Design and Implementation Using MATLAB. London: Springer-Verlag,2009.
CHAI Tianyou, YUE Heng. Adaptive Control. Beijing: Tsinghua University Press,2016.(柴天佑, 岳恒. 自适应控制. 北京: 清华大学出版社,2016.)
ZHU B, XIA X. Adaptive model predictive control for unconstrained discrete-time linear systems with parametric uncertainties. IEEE Transactions on Automatic Control,2016,61(10):3171-3176.
ZHU B, ZHENG Z, XIA X. Constrained adaptive model-predictive control for a class of discrete-time linear systems with parametric uncertainties. IEEE Transactions on Automatic Control,2020,65(5):2223-2229.
DHAR A, BHASIN S. Indirect adaptive MPC for discrete-time LTI systems with parametric uncertainties. IEEE Transactions on Automatic Control,2021,66(11):5498-5505.
FUKUSHIMA H, KIM T H, SUGIE T. Adaptive model predictive control for a class of constrained linear systems based on the comparison model. Automatica,2007,43(2):301-308.
ADETOLA V, DEHAAN D, GUAY M. Adaptive model predictive control for constrained nonlinear system. Systems & Control Letters,2009,58(5):320-326.
SCHWEDERSKY B B, FLESCH R C C, ROVEA S B. Adaptive practical nonlinear model predictive control for echo state network models. IEEE Transactions on Neural Networks and Learning Systems,2022,33(6):2605-2614.
DING B, PAN H. Output feedback robust MPC for LPV system with polytopic model parametric uncertainty and bounded disturbance. International Journal of Control,2016,89(8):1554-1571.
ASWANI A, GONZALEZ H, SASTRY S S,et al. Provably safe and robust learning-based model predictive control. Automatica,2013,49(5):1216-1226.
KOHLER J, SOLOPERTO R, MULLER M A,et al. A computation-¨ ally efficient robust model predictive control framework for uncertain nonlinear systems. IEEE Transactions on Automatic Control,2021,66(2):794-801.
HEIRUNG T A N, YDSTIE B E, FOSS B. Dual adaptive model predictive control. Automatica,2017,80:340-348.
LI Z, SUN J. Disturbance compensating model predictive control with application to ship heading control. IEEE Transactions on Control Systems Technology,2012,20(1):257-265.
WANG Dongwei, FU Yue. Model predictive control method based on high-order observer and disturbance compensation control. Acta Automatica Sinica,2020,46(6):1220-1228.(王东委, 富月. 基于高阶观测器和干扰补偿控制的模型预测控制方法. 自动化学报,2020,46(6):1220-1228.)
ADETOLA V, GUAY M. Robust adaptive MPC for Systems with exogeneous disturbances. IFAC Proceedings Volumes,2009,42(11):249-254.
XI Yugeng, LI Dewei, LIN Shu. Model predictive control status and challenges. Acta Automatica Sinica,2013,39(3):222-236.(席裕庚, 李德伟, 林姝. 模型预测控制-现状与挑战. 自动化学报,2013,39(3):222-236.)
WU Y, REN G P, ZHANG H T. Dual-mode predictive control of a rotor suspension system. Science China Information Sciences,2020,63(1):112204.
WANG Y Y, LI S Y, ZHENG Y. Model predictive control with input disturbance and guaranteed Lyapunov stability for controller approximation. Science China Information Sciences,2022,65(9):192205.
WANG Weizhou, WU Zhiwei, CHAI Tianyou. PID control with output compensation in the smelting process of fused magnesia. Acta Automatica Sinica,2018,44(7):1282-1292.(王维洲, 吴志伟, 柴天佑. 电熔镁砂熔炼过程带输出补偿的PID控制. 自动化学报,2018,44(7):1282-1292.)
FU Yue, LI Bao. Saturation constraint one-step optimal control of electrode current for the fused magnesia smelting process. Acta Automatica Sinica,2022,48(1):239-248.(富月, 李宝. 电熔镁砂熔炼过程电极电流饱和约束一步最优控制. 自动化学报,2022,48(1):239-248.)
FU Y, LI B, FU J. Multi-model adaptive switching control of a nonlinear system and its applications in a smelting process of fused magnesia. Journal of Process Control,2022,115:67-76.
WANG Dongwei, FU Yue. Pole placement controller based on highorder disturbance observer and its application. Control Theory & Applications,2020,37(8):1815-1825.(王东委, 富月. 基于高阶干扰观测器的极点配置控制器及应用. 控制理论与应用,2020,37(8):1815-1825.)
GOODWIN G C, SIN K S. Adaptive Filtering Prediction and Control. Mineola: Dover Publications,2009.
MARIOS S, ALEX A, HARALAMBOS S. Model predictive control for systems with fast dynamics using inverse neural models. ISA Transactions,2018,72:161-177.