基于轮式里程计的无人车分层控制策略
doi: 10.7641/CTA.2024.30472
单泽彪1,2,3 , 魏昌斌1 , 刘小松1 , 王宇航1
1. 长春理工大学电子信息工程学院, 吉林 长春 130022
2. 吉林大学通信工程学院, 吉林 长春 130022
3. 长春气象仪器研究所, 吉林 长春 130102
基金项目: 国家自然科学基金项目(61973330), 吉林省自然科学基金项目(YDZJ202301ZYTS412), 吉林省教育厅产业化培育项目(JJKH20240940CY), 吉林省教育厅科学技术项目(JJKH20240938KJ)资助.
Wheeled odometer based hierarchical control strategy for unmanned vehicle
SHAN Ze-biao1,2,3 , WEI Chang-bin1 , LIU Xiao-song1 , WANG Yu-hang1
1. School of Electronic and Information Engineering, Changchun University of Science and Technology, Changchun Jilin 130022 , China
2. College of Communication Engineering, Jilin University, Changchun Jilin 130022 , China
3. Changchun Meteorological Instrument Research Institute, Changchun Jilin 130102 , China
Funds: Supported by the National Natural Science Foundation of China (61973330), the Natural Science foundation of Jilin Province (YDZJ202301ZYTS4 12), the Industrialization Cultivation Project of Education Department of Jilin Province (JJKH20240940CY) and the Science Technology Project of Education Department of Jilin Province (JJKH20240938KJ).
摘要
针对电动两驱差速型无人车, 由于路面摩擦、车辆重心不稳等因素的存在, 左右两侧驱动轮受到的行驶阻力不同, 导致车辆的行驶方向总是出现有规律的向左或者向右, 偏离无人车纵轴线的现象. 传统的无人车行驶方案是靠图像、基站定位等方式根据外界的参考环境获得偏移误差, 然后对车身进行调整, 此类方法应对复杂环境的能力有限. 本文提出了一种基于自抗扰控制的仅依靠轮式里程计的无人车分层控制策略. 首先, 根据差速型无人车的里程计信息推算出偏移的距离, 上层控制器根据偏移期望航向角函数, 调整车辆的航向角达到误差设计控制行驶的目的. 下层控制器基于动力学模型设计的扩张状态观测器估计车辆运动产生的扰动以对两侧电机进行补偿. 最后, 通过数值仿真和实车测试实验, 验证了所提分层控制策略的有效性.
Abstract
For the electric two-drive differential unmanned vehicle, due to the existence of road friction, vehicle center of gravity instability and other factors, the driving resistance of the left and right driving wheels is different, resulting in the driving direction of the vehicle always deviates from the longitudinal axis of the unmanned vehicle regularly to the left or right. The traditional driving scheme of unmanned vehicles relies on images, base station positioning and other methods to obtain the offset error according to the external reference environment and then adjust the body. Such methods have limited ability to cope with the complex environment. This paper presents a hierarchical control strategy for unmanned vehicles based on active disturbance rejection control, which relies only on wheeled odometer. Firstly, the offset distance is calculated according to the odometer information of the differential unmanned vehicle, and the upper controller designs the expected course angle function according to the offset error, and adjusts the course angle of the vehicle to achieve the purpose of driving control. The lower controller designs an extended state observer based on the dynamics model to estimate the disturbance caused by vehicle motion and compensate the motors on both sides. Finally, the effectiveness of the proposed hierarchical control strategy is verified by numerical simulation and real vehicle test.
1 引言
无人车具有减少交通拥堵、提高道路利用率、降低运营成本等优点 [1-2] . 直线行驶作为无人车最基本的操作,直接影响无人车的轨迹跟踪效果,是无人车安全作业的前提. 然而,车辆在路面实际行驶时,由于路况不同、车辆载货后的重心不稳、驱动电机的差异、车辆的机械结构误差等干扰容易造成车辆两侧驱动轮的行驶阻力不同,在车辆整体上表现为行驶方向偏离直线轨迹. 为了追求无人车行驶的可靠性、安全性和精确性,国内外学者提出了许多减小偏移量的方法. 文献 [3-4] 通过传感器融合提高车辆的误差感知能力,从而获取一个高精准的偏移量,通过降低传感器误差提高车辆的行驶精度. 上述方法仅在车辆的定位精度层面做出研究,并未考虑车辆的轨迹误差纠正问题. 文献 [5] 考虑到轮式机器人在移动过程中受到的磁场干扰问题,提出基于扩张状态观测器(extended state observer,ESO)解耦抗干扰的控制算法解决磁场耦合与复杂环境干扰问题. 文献 [6] 研究了万向轮对车辆轨迹跟踪的影响,设计扰动观测器对万向轮扭矩造成的干扰进行估计,采用积分滑模思想设计力矩控制器以提高车辆的稳定性. 文献 [7] 提出PID参数自整定的方法,对左右两侧电机的参数整定,对两侧驱动轮实现同步控制. 文献 [8] 提出利用PID算法获得目标轨迹和模型预测控制(model predictive control,MPC)反馈跟踪目标轨迹,用PID补偿MPC求出的转向角. 文献 [9] 针对运动过程出现的非线性干扰,采用径向基函数神经网络对转向角进行补偿. 电机作为车辆的动力装置,在瞬态性能方面采用扭矩控制. 文献 [10] 在车辆行驶时,为了提高车辆的动态性能,提出了转矩补偿控制方法. 文献 [11] 通过反步法设计运动控制器,并设计扩张状态观测器对扭矩进行控制,仿真结果表明所设计的控制算法有较强的鲁棒性. 文献 [12] 从车辆的模型分析入手,在轮胎特性的实际变化、悬架系统的弹性动力学、道路的横坡效应等方面详细分析,建立完整的多自由度数学模型,通过减小建模误差提高车辆的精准度. 文献 [13] 提出一种基于无模型自适应的横向控制方案,该方法仅用到车辆的输入输出数据,无需考虑车辆的机理建模问题,并实地进行了高低速行驶实验. 文献 [14] 研究设计了一种基于扩张状态观测器的扰动抑制方法,考虑了不确定的扰动,建立了受扰动的运动学模型,构建了线性自抗扰控制器,并通过MATLAB/Simulink和微控制器联合实验平台验证了所提控制方法的有效性.
上述研究在提高车辆的轨迹跟踪控制方面均取得一定的效果,但以上研究均是建立在车辆的定位坐标已知的基础上进行的. 在实际行驶过程中,车辆的定位精度易受到环境的影响,由于建筑物的遮挡、信号干扰等都会导致定位误差变大甚至丢失坐标,在该情况下,无人车的自动行驶将受到极大的挑战.
为提高无人车行驶控制精度,降低环境对车辆自动行驶的影响. 本文提出一种基于轮式里程计的无人车分层控制策略. 其中: 下层控制从车辆的动力学特性分析,根据车辆的动力学模型设计状态观测器,观测车辆行驶过程中出现的所有扰动,以车辆的线速度和角速度作为控制目标,设计反馈控制器使车辆快速跟踪期望的线速度和角速度. 上层控制从整车的运动学分析,根据轮式里程计获取的偏移误差,建立期望航向角函数. 采用自抗扰控制方法设计车辆的直线纠偏控制器,控制车辆的实际航向角趋近于期望航向角. 通过数值仿真及实车测试实验,验证了所提控制方法的可行性和有效性,为双轮差速型无人车提供了一种新的控制策略.
2 无人车数学模型
2.1 无人车动力学模型
定义坐标系XOY 为固定在地面上的全局坐标系. XOY 坐标系下的双轮驱动车辆模型如图1所示.
1差速型无人车运动模型示意图
Fig.1Schematic diagram of differential drive unmanned vehicle
无人车通过左右车轮的差速运动实现转向,转向中心为 C,以C点为车辆的坐标参考点,两侧车轮之间的距离为2L,驱动轮的半径为r,车辆的角速度和线速度分别为ωcvc,车辆的航向角为θc. 两个前轮独立驱动为车辆提供动力,后轮为万向轮仅对车辆提供支撑作用,车辆模型涉及到的物理参数如表1所示.
无人车的动力学特性具体描述如下,根据力矩平衡原理,车辆的加速转矩等于两侧驱动轮主动力矩之差 [15],即
Ivθ¨c=FrL-F1L.
(1)
由牛顿第二运动定律得
Mv˙c=Fr+F1,
(2)
则车辆两侧车轮的动态特性为
Iwθ¨r+cθ˙r=kur-rFr,
(3)
Iwθ¨1+cθ˙1=ku1-rF1,
(4)
其中: 下标l,r分别表示左、右车轮; c表示驱动轮与路面之间的滚动摩擦系数; k表示驱动电机以及减速齿轮间的传动增益,k的具体计算式为k = nkm/Rmn为减速齿轮的减速比,km为电机的电磁力矩常数,Rm表示为电机的电枢电阻).
1无人车动力学参数
Table1Dynamic parameters of unmanned vehicle
根据差速型无人车的运动原理可得车辆的线速度和角速度分别为
vc=vr+v12,
(5)
ωc=vr-vl2L
(6)
综合式(1)–(6)可得车辆的线速度和角速度的变化率分别为
v˙c=-2cMr2+2Iwvc+krMr2+2Iwur+u1,
(7)
ω˙c=-2cL2Ivr2+2IwL2ωc+krLIvr2+2IwL2ur-u1,
(8)
在实际运行中,由于电机的减速箱齿轮存在空回、车身摇摆、重心不稳定等现象,会对车身造成一定干扰. 定义外部因素对车辆造成的总扰动为ξ=ξvξwξvξw分别表示车辆线速度和角速度受到的干扰,则无人车的动力学模型可表示为
x1˙=Ax1+Bu1+ξ,
(9)
其中:
x1=vcωc, A=a100a2,
B=b1b1b2-b2, u1=u1ur,
a1=-2cMr2+2Iw, a2=-2cL2Ivr2+2IwL2,
b1=krMr2+2Iw, b2=krLIvr2+2IwL2.
2.2 轮式里程计位姿状态推算模型
根据轮式里程计测量的当前车速及里程信息对下一时刻的位姿状态进行推算.设轮式里程计采样间隔为∆T,在∆T内车辆的移动轨迹近似圆弧,因此用圆弧模型来对轮式里程计进行建模以更好地模拟无人车的现实运动情况 [16] . 根据轮式里程计进行车辆位置推算的模型如图2所示.
2车辆位置推算示意图
Fig.2Vehicle position calculation diagram
在∆T 内左右轮各自行驶的路程分别为 ∆li),∆ri). 假设对里程计第i次采样时的车辆位姿状态为[xiyiθi)],xi),yi)分别表示在第 i 个采样时刻的XY 方向的坐标,θi)表示第i个采样时刻的航向角. 在∆T 内车轮的行驶距离∆li),∆ri)与里程计读取的里程Nli),Nri)呈线性关系为
Δl(i)=Nl(i)×knl,Δr(i)=Nr(i)×knr,
(10)
其中,knlknr分别为左右车轮行驶里程的比例系数.
根据里程计的示值可以求出无人车移动的角度增量∆θi)和旋转半径Ri)分别为
Δθ(i)=Δr(i)-Δl(i)2L,R(i)=2LΔr(i)Δr(i)-Δl(i),
(11)
通过三角函数关系,已知角度增量∆θi)可以求出车辆的位移∆Si)为
ΔS(i)=L3Δr(i)-Δl(i)Δr(i)-Δl(i)sinΔθ(i)2,
(12)
ii + 1时间段内无人车的位置增量为
Δx(i)=ΔS(i)cosθ(i)+Δθ(i)2,Δy(i)=ΔS(i)sinθ(i)+Δθ(i)2.
(13)
通过前一时刻的位姿[xiyiθi)]和无人车的位置增量可以推算出下一时刻的位姿状态[xi + 1)yi + 1)θi + 1)],如式(14)所示:
x(i+1)=x(i)+Δx(i),y(i+1)=y(i)+Δy(i),θ(i+1)=θ(i)+Δθ(i).
(14)
3 上层航向角控制器设计
3.1 基于轮式里程计的纠偏分析
通过上述里程计模型分析可以得到车辆在全局坐标系下的坐标,据此可以计算出偏移误差. 图3为车辆的偏移误差示意图.
3轨迹偏移误差示意图
Fig.3Schematic diagram of trajectory offset error
定义车辆启动时的位置位于全局坐标系下的原点,不失一般性假设车辆初始航向角θ0 = 45◦ . 经里程计推算在 i时刻得到无人车的位置为(xi),yi)),偏航角为θi). 此时偏离目标直线轨迹的垂直距离为ed =xi2+yi2×sinarctanxiyi-θ0.车身偏离初始角度的误差为eθ = θi)− θ0.
3.2 期望航向角函数设计
由上述分析可以得知,车辆发生偏移时需通过调节车辆角速度ωc完成车身方向调整,即车辆发生偏移时存在航向角误差eθ和偏移距离误差ed,此时需要利用同一个控制量ωc来同时控制航向角和偏移距离. 由于该系统属于欠驱动系统,为了降低控制系统的复杂度,根据航向角与偏移距离的关系设计期望航向角函数. 在此建立一个虚拟矢量场作为引导车辆的期望航向角函数,当航向角误差eθ收敛到零时,车辆的偏移距离ed也收敛到零,该矢量场如图4所示.
4虚拟航向角矢量场
Fig.4Virtual heading angle vector field
因此,将欠驱动控制问题简化成简单的航向角控制问题. 所设计的航向角函数为
χded=π4+arctanks×ed,
(15)
其中: χd表示无人车的期望航向角,其是一个关于偏移距离ed的函数; ks用来调节车辆的收敛速度,ks越大收敛速度越快.
3.3 航向角控制器
虚拟矢量场给出了无人车的期望航向角,基于线性自抗扰(linear active disturbance rejection control,LADRC)的控制方法设计航向角控制器,使车身的实际航向角θc快速跟随期望航向角χ d . 所设计的线性自抗扰控制器由跟踪微分器(tracking differentiator,TD)、线性扩张状态观测器(linear extended state observer,LESO)和非线性反馈(nonlinear state error feedback,NLSEF)3部分组成. 由线性自抗扰方法设计的航向角控制器的结构如图5所示.
5航向角自抗扰控制器
Fig.5Active disturbance rejection controller of heading angle
3.3.1 跟踪微分器(TD)
在保证快速性的同时减少跟踪信号的超调和振荡. 跟踪微分器的方程如式(16)所示:
v ˙ 1 = v 2 v ˙ 2 = fst v 1 χ d , v 2 , r 0 , h ,
(16)
其中: v1为跟踪期望航向角; v2为输出期望航向角的微分; r0为跟踪因子; h为滤波因子,fst(·)是最速综合函数,其详细定义可见文献 [17] .
3.3.2 线性扩张状态观测器(LESO)
为了估计控制过程中存在的各类扰动,建立线性扩张状态观测器为
ε = Z 1 θ c , Z ˙ 1 = Z 2 β 01 ε , Z ˙ 2 = Z 3 + b 0 ω s β 02 ε , Z ˙ 3 = β 03 ε ,
(17)
其中: ε表示航向角观测值和实际值之间的误差,Z1表示对航向角θc的观测值,Z2表示对航向角θc一阶导的观测值,Z3表示航向角控制系统中观测到的总扰动. β01 = 3ω1β02 = 3ω12β03 =ω13ω1为LESO的带宽 [18] .
3.3.3 航向角的非线性反馈(NLSEF)
在非线性状态误差反馈中,系统的状态误差用ε1 ε2描述,根据误差计算控制器的输出ωs . 非线性误差反馈为
ε 1 = v 1 Z 1 , ε 2 = v 2 Z 2 , u 0 = β 11 fal ε 1 , α 1 , δ + β 12 fal ε 2 , α 2 , δ , ω s = u 0 Z 3 b 0 ,
(18)
其中: β11β12α1α2δ 为可调参数; fal(εαδ)是非线性函数 [19],即
fal (ε, α, δ) =εδ (1-α) , |ε|δ, |ε|αsgnε, |ε|>δ, δ>0.
4 下层动力学控制
在下层控制器中基于动力学模型建立扩张状态观测器,确保无人车的实际速度和角速度快速且无超调的跟踪目标值. 下层动力学控制结构如图6所示.
6无人车动力学控制系统框图
Fig.6Block diagram of unmanned vehicle control system
4.1 基于动力学模型的扩张状态观测器设计
定义状态变量z1 = x1z2 = ξ,则动力学模型式(9)可以被改写为
z ˙ 1 = A z 1 + B u 1 + z 2 z ˙ 2 = ξ ˙
(19)
z^1z^2分别表示状态变量z1z2的观测值,观测误差e1 = z1z^1e2 = z2z^1,则系统的扩张状态观测器可以写成
z ^ ˙ 1 = A z ^ 1 + B u 1 + z ^ 2 + β 1 e 1 , z ^ ˙ 2 = β 2 e 1 ,
(20)
其中:β1=2a002aβ2=a200a2aa>0表示状态观测器的调节参数.
4.2 控制器设计
系统的输入为zs=vsωs其中: vs为无人车期望线速度,ωs为无人车期望角速度,则设计控制器的反馈控制为
u1=B-1z˙s-Az^1+Kpze-z^2,
(21)
系统的误差定义为
es=z1-zs,
(22)
对式(22)微分可得系统误差变化率为
e˙s=Aezs+AXe0
(23)
其中:Ae=-KpAX=A+KpIe0=e1 e2.
定理 1 假设观测误差limt e02=0则存在 kp >0使得控制系统的误差es收敛到0.
式(23)的解为
es(t)=eAetes(0)+0t ees(t-τ)AXe0dτ
(24)
λI-Ae=λ2+2kpλ+kp2可以得出Ae 的特征值大于零,即存在可逆矩阵T-,所以有
eAet=T-diage-kpt,e-kptT--1
(25)
对任意正数t >0,有
eAet2T-2T--12e-kpt=β-e-kpt,
(26)
β-是一个正常数,当kp调整至合适值后
limt eAet2=0.
(27)
同理
eAe(t-τ)2β-e-kp(t-τ),tτ.
(28)
由于limt e02=0因此e0的二范数有上界ξ,并且对任意指定的η >0,存在正数t0,当t >t0时,e0的二范数小于η. 由于
0t eAe (t-τ) AXe0dτ2=0t0 eAe (t-τ) AXe0dτ2+
t0t eAe (t-τ) AXe0dτ2
β-AX2ξe-kpt0t0 e-kpτdτ+β-AX2e-kptηt0t ekpτdτ=β-AX2ξ0t0 ekpτdτe-kpt+β-AX2e-kptekpt-ekpt0kpηM-1e-kpt+β-AX2kpη=
M-1e-kpt+M-2η,
(29)
其中:M-1=β-AX2ξ0t0 ekpτdτM-2=β-AX2kp是常数. 由e-kpt0tη的任意性得
limt 0t eAe(t-τ)AXe0dτ2=0
(30)
综合式(27)(30),由式(24)得
limt es2=0.
(31)
证毕.
5 仿真分析与实验验证
对无人车及其控制策略分别进行数值仿真分析和实车道路行驶控制实验验证.
5.1 数值仿真实验
在仿真环境下搭建无人车的数学模型对所提方法进行仿真验证. 考虑到无人车在行驶过程中会受到各种干扰的持续影响,车身在不断动态调整中,这要求车辆速度尤其是角速度需有较快的响应速度. 为此,在实验中,车辆的目标速度设定为vs = 1 m/s,角速度设定为ωs = 5 sin(0.5t)rad/s. 在t = 20 s时,令车辆角速度和线速度均受到幅值在±0.1之间变化的随机扰动. 加入扰动前后车辆线速度和角速度的控制效果如图7所示.
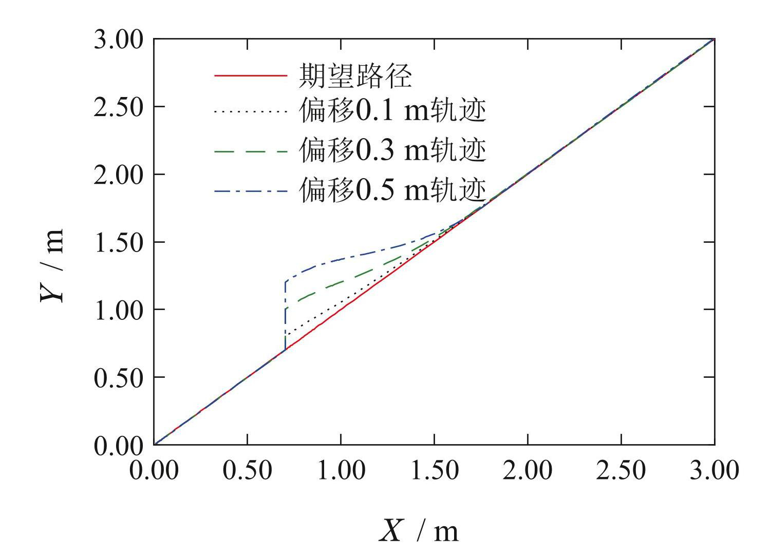
为了验证所提控制方法的纠偏性能,假设车辆在行驶过程中突遭外力发生了不同程度的位移偏离,偏移距离分别为0.1 m,0.3 m和0.5 m. 图8为不同程度偏移前后车辆的行驶效果. 车辆在受到不同程度偏移后可快速且平稳的回到期望路径上,表明所设计的控制器具有较好的纠偏能力.
为了进一步验证所提方法的抗干扰性能,进行了与文献 [14] 所提控制方法的对比实验. 主要从以下两方面考虑并分别进行实验验证. 一方面,由于车辆载货后的重心与几何中心不重合或左右两侧轮胎充气量不一致造成两侧轮胎受到的压力不同,导致车辆偏离轨迹. 在该仿真实验中对车辆右侧车轮的速度额外施加一单位阶跃干扰. 车辆重心偏移时的控制效果对比如图9所示.
图9可以看出在应对重心偏移类型干扰时,本文控制方法要优于文献 [14] 所提方法.在所提控制方法作用下,车辆在行驶的初始阶段向右侧偏移,经过一段时间的调节后即可保持直线行驶. 而文献 [14] 所提控制方法虽然在车辆发生偏离时每次均可恢复至既定直线轨迹上,但是由于重心偏移又会发生新的偏离,无法保证车辆持续在目标轨迹上直线行驶.
7无人车速度控制
Fig.7Unmanned vehicle speed control
8无人车直线行驶纠偏控制
Fig.8Deviation rectification control of the unmanned vehicle driving straight
另一方面由于重心过高,在调整车身方向时容易出现横向摆动的情况,使轮胎受到一个动态变化的压力,影响车辆的前进方向. 在实验中对两侧车轮施加持续变动的扰动,假设左轮受到的扰动为
d1=0.8sint, sint>0, 0, sint0.
右轮受到的扰动为
dr=0, sint>0, -0.8sint, sint0.
双轮持续扰动下的行驶轨迹对比结果如图10所示.
9重心偏移条件下车辆行驶轨迹
Fig.9Trajectories of vehicle with center of gravity shift
10持续扰动条件下车辆行驶轨迹
Fig.10Trajectories of vehicle with continuous disturbance
图10可知,在双轮持续扰动干扰作用下,本文控制方法明显优于文献 [14] 所提方法.文献 [14] 所提控制方法的实验结果如图10中点线所示,当车身发生摇摆扰动时,在文献 [14] 所提控制方法作用下,车辆在直线轨迹附近存在较大幅度的摆动. 图10中点划线表示在本文控制方法的作用下进行的实验,当车辆两侧的车轮均受到持续扰动时,车辆虽然在期望路径附近也发生摆动,但总体上摆动幅度明显较小. 这表明所提的控制方法具有较好的跟踪性能和较强的抗干扰能力.
5.2 实车道路测试实验
测试所用双轮驱动差速型无人车如图11所示. 该车辆主要由微控制器及驱动电路、带减速器的驱动电机MY1016Z-250W24V、轮式里程计MT-3806-12-10-RS、24 V铅酸蓄电池及金属车架组成. 两前轮为车辆的驱动轮,由两个独立驱动的24 V/250 W的直流电机提供动力.
11实验平台
Fig.11Experimental platform
首先,验证车辆的行驶控制效果,图12所示为引入本文所提控制方法前后的对比效果. 图12中的实线为既定目标轨迹,点线是未加控制时的行驶轨迹,点划线是施加本文控制方法后的行驶轨迹. 从图12中可以看出未加入控制时由于路况及车辆双轮自身的影响,车辆逐渐驶离目标路径. 在加入本文所提控制方法之后,对车辆运动过程中产生的偏差进行了有效的纠正,车辆可以较好地实现既定轨迹行驶.
12引入控制前后车辆行驶轨迹对比
Fig.12Comparison of controlled and uncontrolled vehicle trajectories
为了进一步验证所提控制方法纠正偏差的有效性,在车辆行驶时施加外力强制使车辆偏离既定轨迹. 当车辆出现一定的偏差时撤去外力,此时车辆已经偏离目标轨迹一段距离,偏离距离超过1.5 m. 对人为强制偏移车辆行为的纠正效果如图13所示. 图13中实线为目标轨迹,点划线为实际行驶轨迹. 从图中可见车辆被强制偏离既定行驶路线后,在所提控制方法的作用下重新纠正偏差,车辆逐渐回到了预定的目标轨迹上. 验证了所提控制方法的有效性.
车辆在行驶过程中由于载货不均衡必然会出现重心偏移的情况,此时左右车轮的负载即会发生变化进而造成车辆偏移目标轨迹. 为了验证该情况下所提方法的控制效果,仅在车辆的右侧货箱装载30 kg 重物,车辆行驶控制效果如图14所示,图中实线为目标轨迹、点划线为实际行驶轨迹. 从图中可以看出装载货物后车辆在启动阶段有微小距离的偏移,在车辆行驶1 m时,偏移误差最大为 0.2 m,随后偏差逐渐减小,最终稳定在目标轨迹附近行驶.在车辆整个行驶过程中的偏移误差最大为0.2 m,基本可满足无人车正常作业时的行驶要求.
13人为偏离目标时车辆的行驶轨迹
Fig.13Trajectory of vehicle with an artificial deviation from the path
14重心偏移时车辆的行驶轨迹
Fig.14Trajectory of vehicle with centre-of-gravity shift
6 结论
针对差速型无人车在无外部传感条件下行驶控制问题,本文提出了一种基于轮式里程计并结合自抗扰控制的分层控制策略. 下层控制器根据无人车的动力学模型设计了扩张状态观测器来估计运动过程中遇到的各类扰动,保证车辆的动力稳定. 上层控制器通过两侧的轮式里程计和偏移误差的关系,建立期望航向角函数计算出维持直线行驶需要的期望航向角,并通过自抗扰控制器控制车辆按照期望航向角行驶,进而达到无人车的轨迹跟踪控制目的. 最后,通过数值仿真和实车测试实验证实了所提控制方法可有效纠正行驶中的偏移误差,达到了无人车的基本控制要求,在工程应用上具有较好的应用前景.
1差速型无人车运动模型示意图
Fig.1Schematic diagram of differential drive unmanned vehicle
2车辆位置推算示意图
Fig.2Vehicle position calculation diagram
3轨迹偏移误差示意图
Fig.3Schematic diagram of trajectory offset error
4虚拟航向角矢量场
Fig.4Virtual heading angle vector field
5航向角自抗扰控制器
Fig.5Active disturbance rejection controller of heading angle
6无人车动力学控制系统框图
Fig.6Block diagram of unmanned vehicle control system
7无人车速度控制
Fig.7Unmanned vehicle speed control
8无人车直线行驶纠偏控制
Fig.8Deviation rectification control of the unmanned vehicle driving straight
9重心偏移条件下车辆行驶轨迹
Fig.9Trajectories of vehicle with center of gravity shift
10持续扰动条件下车辆行驶轨迹
Fig.10Trajectories of vehicle with continuous disturbance
11实验平台
Fig.11Experimental platform
12引入控制前后车辆行驶轨迹对比
Fig.12Comparison of controlled and uncontrolled vehicle trajectories
13人为偏离目标时车辆的行驶轨迹
Fig.13Trajectory of vehicle with an artificial deviation from the path
14重心偏移时车辆的行驶轨迹
Fig.14Trajectory of vehicle with centre-of-gravity shift
1无人车动力学参数
Table1Dynamic parameters of unmanned vehicle
ESKANDARIAN A, WU C X, SUN C Y. Research advances and challenges of autonomous and connected ground vehicles. IEEE Transactions on Intelligent Transportation Systems,2019,22(2):683-711.
CUI Mingyang, HUANG Heye, XU Qing,et al. Survey of intelligent and connected vehicle technologies: Architectures,functions and applications. Journal of Tsinghua University(Science and Technology),2022,62(3):493-508.(崔明阳, 黄荷叶, 许庆, 等. 智能网联汽车架构、功能与应用关键技术. 清华大学学报(自然科学版),2022,62(3):493-508.)
XV Q X, ZHU F, HU J,et al. An enhanced positioning algorithm module for low-cost GNSS/MEMS integration based on matching straight lane lines in HD maps. GPS Solutions,2023,27(1):1-15.
YANG L L, XU Y Y, LIANG Y J,et al. Extraction of straight field roads between farmlands based on agricultural vehicle-mounted LiDAR. International Journal of Agricultural & Bidogical Engineering,2022,15(5):155-162.
FAN Q, CHEN W, HUANG W,et al. Combined magnetic field decoupling and disturbance rejection control of microrobots based on extended state observer. IEEE Robotics and Automation Letters,2022,7(2):4032-4039.
TIAN Zhiyu, LIU Xiaoping, WANG Gang,et al. Trajectory tracking for wheeled mobile robots considering the castor wheel’s torsion angle disturbance. Journal of Beijing University of Posts and Telecommunications,2022,45(1):94-101.(田智予, 刘晓平, 王刚, 等. 考虑万向轮扭转角扰动轮式移动机器人轨迹跟踪. 北京邮电大学学报,2022,45(1):94-101.)
WANG Jianbo, PENG Qingxiang, WU Hanqi,et al. Research on PID parameters self-turning algorithms for dual motors in electric vehicle. Mechanical & Electrical Engineering Technology,2018,47(3):37-39.(王剑波, 彭清祥, 吴罕奇, 等. 双电机电传动车辆PID参数自整定控制算法研究. 机电工程技术,2018,47(3):37-39.)
CHU D F, LI H R, ZHAO C Y,et al. Trajectory tracking of autonomous vehicle based on model predictive control with PID feedback. IEEE Transactions on Intelligent Transportation Systems,2022,24(2):2239-2250.
WANG H B, HU C L, ZHOU J T,et al. Path tracking control of an autonomous vehicle with model-free adaptive dynamic programming and RBF neural network disturbance compensation. Proceedings of the Institution of Mechanical Engineers,2022,236(5):825-841.
LI P, YAN J, TUA Q Z,et al. A steering control strategy based on torque fuzzy compensation for dual electric tracked vehicle. Filomat,2018,32(5):1953-1963.
YANG H J, FAN X Z, XIA Y Q,et al. Robust tracking control for wheeled mobile robot based on extended state observer. Advanced Robotics,2015,30(1):68-78.
MASTINU G, LATTUADA A, MATRASCIA G. Straight-ahead running of road vehicles-analytical formulae including full tyre characteristics. Vehicle System Dynamics,2018,57(12):1745-1774.
TIAN Taotao, HOU Zhongsheng, LIU Shida,et al. Model-free adaptive control based lateral control of self-driving car. Acta Automatica Sinica,2017,43(11):1931-1940.(田涛涛, 侯忠生, 刘世达, 等. 基于无模型自适应控制的无人驾驶汽车横向控制方法. 自动化学报,2017,43(11):1931-1940.)
WANG Huiming, ZHANG Yang, WANG Xuechuang. Design and implementation of linear active disturbance rejection control for mobile robots. Control Theory & Applications,2022,39(7):1289-1296.(王会明, 张扬, 王雪闯. 移动机器人的线性自抗扰控制设计与实验验证. 控制理论与应用,2022,39(7):1289-1296.)
WATANABE K, TANG J, M. NAKAMURA,et al. A fuzzy-Gaussian neural network and its application to mobile robot control. IEEE Transactions on Control Systems Technology,1996,4(2):193-199.
DU Xiaoping, ZHAO Kaiqi. Design and implementation of the motion control system of the mobile robot based on PID. Journal on Communications,2016,(S1):43-49.(杜孝平, 赵凯琪. 基于PID的移动机器人运动控制系统设计与实现. 通信学报,2016,(S1):43-49.)
WU Liqiang, LIN Hao, HAN Jingqing. Study of tracking differentiator on filtering. Journal of System Simulation,2004,16(4):651-652,670.(武利强, 林浩, 韩京清. 跟踪微分器滤波性能研究. 系统仿真学报,2004,16(4):651-652,670.)
GAO Z Q. Scaling and bandwidth-parameterization based controller tuning. American Control Conference. Denver, Colorado, USA: Evanston, IL: The Council,2003:4989-4996.
GUAN Yizhe, FENG Ming. Application of active disturbance rejection control in gyro motor steady speed control. Journal of Beijing University of Aeronautics and Astronautics,2024,50(1):234-242.(关伊哲, 冯明. 自抗扰控制在陀螺电机稳速控制中的应用. 北京航空航天大学学报,2024,50(1):234-242.)