摘要
复杂给矿过程采用常规PI控制难以保证系统稳定运行. 本文首先根据给矿过程的机理特征建立由低阶线性模型和未知高阶非线性动态系统组成的混合动态模型. 其次, 提出了由信号补偿PI控制、规则推理、切换机制组成的智能PI控制方法, 该方法利用一步最优控制律设计信号补偿器, 削弱了非线性扰动和传输时延对给矿过程的影响, 并结合规则推理改善了闭环控制效果. 针对下矿时给矿机的切换问题, 设计了智能切换机制, 保证了给矿机的合理调配. 最后, 将所提方法应用于复杂给矿过程. 实际应用效果表明: 所提方法可将给矿量和给矿频率控制在工艺要求的目标值范围内.
Abstract
Conventional PI control is difficult to ensure stable operation for the complex ore feeding process. Firstly, this article analyzes the complexity mechanism characteristics of the ore feeding process, and establishes a hybrid dynamic model consisting of a low order linear model and an unknown high-order nonlinear dynamic system. Secondly, an intelligent PI control method is proposed, which is composed of signal compensation method, rule inference control and switching mechanism. This method utilizes a one-step optimal control law to design a signal compensator, which weakens the influence of nonlinear disturbances and transmission delay on the ore feeding process, and combines rule inference to improve the closed-loop control effect. Regarding switching problem of the ore feeding machines, an intelligent switching mechanism has been designed to ensure the reasonable allocation of five ore feeding machines. Finally, the proposed method is applied to complex ore feeding process, the actual application results show that the proposed method can control the ore feeding amount and frequency within the target value range required by the process.
1 引言
复杂给矿过程是磨矿工艺的重要组成部分,给矿控制的目的是将给矿量和给矿频率控制在工艺要求的目标值范围内,防止给矿特性变化影响磨机的产量和粒度 [1] . 受到返矿波动、矿石成分多变、给矿机切换等扰动的影响,给矿回路呈现出强非线性特性 [2] . 同时,由于矿石运输的起始点和检测点之间的距离,导致给矿量检测存在时延,给矿回路呈现出大时滞特性 [3],使得给矿过程的控制难度加大. 为此,亟需一种可靠的高性能控制器.
为了解决复杂给矿系统的时延问题,文献 [4] 提出 Smith预估补偿控制方法,改善给矿回路的控制效果,但Smith预估器需要精确辨识模型参数. 文献 [5] 提出 Smith预估补偿与模型参考自适应相结合的控制方法,降低了对精确模型的依赖. 文献 [6] 利用李雅普诺夫理论设计了自适应控制器,补偿Smith预估模型和被控对象之间的偏差,改善了控制效果,但增加了系统时变性.
为了解决复杂给矿系统的非线性扰动问题,文献 [7] 采用非线性扰动观测器对扰动进行估计和补偿,提升了回路的抗扰能力. 文献 [8-9] 提出自抗扰控制ADRC方法,增强给矿回路的鲁棒性. 但文献 [7-9] 的方法结构复杂,调节参数多,增加了控制方法的复杂性. 为此,文献 [10-11] 提出了线性自抗扰控制方法,将参数简化为控制器带宽和观测器带宽,但低阶线性自抗扰控制无法对未知高阶非线性系统产生的扰动做出准确估计 [12-13],不适用于给矿过程.
另一方面,针对复杂工业过程的切换控制问题,文献 [14] 提出一种多模型自适应切换控制方法,将非线性系统转化为多个类线性系统,并基于高阶扰动观测器设计自适应控制器,以跟踪误差最小化为性能指标,切换多模态控制器. 文献 [15-16] 提出一种数据驱动的非线性切换控制方法,利用大数据信息、设计线性控制器和非线性补偿器,通过切换函数和规则选择控制器,保证了系统的跟踪性能. 但文献 [14-16] 方法均属于控制器之间的切换,不适用于给矿机下料过程的切换.
针对以上问题,本文提出了信号补偿法驱动的复杂给矿过程智能PI控制方法,并应用于实际工业给矿过程,实际应用效果表明了所提方法的有效性和优越性. 本文的主要贡献如下:
1)建立了由低阶线性模型和未知高阶非线性动态系统组成的给矿过程混合动态模型;
2)设计了基于一步最优控制律的信号补偿控制器,消除系统中返矿干扰和传输时延带来的非线性影响,并结合规则推理,实现了给矿过程的智能PI控制;
3)提出了给矿过程智能切换机制,保证了控制频率的合理选择和给矿机的合理调配.
2 给矿过程问题描述
2.1 给矿过程简介
如图1所示,给矿过程由料仓、5台电磁给矿机、返矿输送机、皮带输送机、皮带秤、半自磨机等组成. 原矿经过简单破碎送往矿仓,仓内矿石经下方的5台电磁给矿机落至皮带输送机,电磁给矿机采用人工切换方式工作,皮带输送机将矿石送往半自磨机进行研磨,研磨后粒度合格的矿石送至给料泵池,进入下一道工序,不合格的矿石经返矿输送机传回进行二次研磨. 给矿过程的输入量为给矿机的频率,输出量为皮带机的矿石输送量. 图1中,WC表示给矿控制器,WT 表示皮带秤. WC用于控制给矿机的频率,WT用于测量皮带机的矿石输送量.
图1复杂给矿过程
Fig.1Complex ore feeding process
2.2 给矿过程动态模型
(1)
其中: Bi和Hi为给矿机的宽度和高度,ϕi为矿石堆积密度.
(2)
其中ki,1和ki,2为关于振幅Ai(·)、频率ui(t − τ)、槽倾角αi、振动方向角βi、摩擦系数µ的未知非线性函数.
皮带机给矿分量yi(t)与第i 台给矿机下矿量qi(t)之间的关系可表示为 [17]
(3)
其中: r(δi(t − τ),ui(t − τ))为皮带秤的称重干扰系数; T为惯性环节时间常数.
由式(1)–(3)可得yi(t)与ui(t − τ)的关系式为
(4)
其中
皮带机给矿总量y(t)与给矿分量yi(t)之间的关系式为 [17]
(5)
其中M(·)为返矿干扰,是与给矿分量yi(t)、磨机工况 ζ(t)、矿石硬度ε(t)相关的非线性函数,即
(6)
由式(4)–(5)可得给矿动态模型为
(7)
实际生产中,要求5台给矿机的频率保持一致,即 u(t − τ)= ui(t − τ),i = 1,2,· · ·,5,将u(t − τ)代入式(7),可将给矿动态模型式(7)转化为
(8)
其中:为ui(t − τ)频率非线性系数,为关于频率ui(t − τ)和返矿扰动 M(·)的复合扰动.
以ui(t − τ )为输入, y(t)为输出的模型式(8)可表示为
(9)
其中a(·)和b(·)为未知非线性函数.

(10)
采用一阶前向差分可将式(10)表示为
(11)
其中: k为采样时间,采用最小二乘法对式(11)的参数 a和b辨识,将辨识结果和代入式(11)可得
(12)
进一步,可将式(12)表示为线性可辨识部分与未知高阶非线性系统v(k)之和的形式,即
(13)
其中
(14)
根据式(13)得到u(t − τ)为输入,以y(k + 1)为输出的给矿动态模型为
(15)
其中:.
2.3 给矿过程的控制目标及存在问题
复杂给矿过程的控制目标是将给矿量y(k)与设定值ysp(k)的跟踪误差e(k)和给矿机频率u(t − τ)控制在目标值范围内,即
(16)
(17)
其中:为跟踪偏差e(k)的上界; umin和umax分别是频率u(t − τ)的下界和上界,并分别与工艺要求的目标值范围保持一致.
给矿过程的未知非线性、不确定性、传输时延增加了常规PI控制的难度. 人工选择给矿机,存在单台给矿机过度运转的情况,加速了给矿机的磨损. 人工控制不能及时准确给出控制频率,易导致给矿量发生断崖式下降,影响磨机的产能与稳定性.
3 信号补偿法驱动的智能PI控制
针对给矿过程采用常规PI控制难以保证系统稳定运行的问题,提出了由信号补偿PI控制、规则推理、给矿机智能切换机制组成的智能PI控制算法,算法结构如图2所示.
3.1 信号补偿PI控制
当给矿量y(k)在目标区间范围[ymin,ymax]内,采用信号补偿PI控制器保证y(k + 1)跟踪设定值ysp(k + 1),信号补偿 PI控制器由常规 PI控制器和信号补偿器组成.
信号补偿 PI 控制器的表达式为
(18)
其中: u1(k−τ)为常规PI控制器的输出信号,u2(k− τ)为一步最优信号补偿器的输出信号.
带有传输时延τ的增量式 PI 控制器的表达式为
(19)
其中: e(k − τ)为滞后 τ 个时刻给矿量跟踪误差,G(z −1)= g0 + g1z−1,g0 = kp + ki ,g1 = −kp.
将式(18)–(19)代入控制器设计模型式(15),得以补偿信号u2(k−τ)为输入,以给矿量跟踪误差e(k+1)为输出的方程,即
(20)
令:式(20)可改写为
(21)
其中:,且未知非线性扰动的高阶变化率 ∆2v(k)= v(k − 2)+ v(k)− 2v(k − 1).
将式(21)表示为一步最优预报形式

(22)
其中e∗(k + 1)表示最优预报误差.
引入可同时使u2(k − τ)和e(k + 1)波动最小的一步最优性能指标J,即
(23)
其中λ0为加权常数.
求J的极值可得
(24)
通过式(24)可得给矿误差e(k + 1)的最小值,记为 e ∗ (k + 1),且
(25)
其中λ为加权常数,且.
将式(22)与式(25)联立可得信号补偿器为
(26)
图2由信号补偿PI控制、规则推理、切换机制组成的智能PI控制结构图
Fig.2An intelligent PI control structure diagram composed of signal compensation PI control, rule inference, and intelligent switching mechanism
3.2 基于规则推理的控制算法
当给矿量y(k)超出目标区间范围时,采用“IF<条件>THEN<结论>”规则对给矿过程进行控制,如表1所示,条件中的变量为e(k)和∆e(k),限定值为ε1和 ε2,结论中的变量为频率ur(k),其限定的上界和下界分别为
3.3 频率与执行机构的智能切换机制
图2中的频率切换机制以偏差e(k)为输入,以切换指令为输出,具体如下:
(27)
其中ε3为|e(k)|变化的上界.
在给矿机执行机构切换机制中,人工设定下矿口料位li(k)的下界ls,给矿机运行时长ti(k)的上界为ts,第i台给矿机料位的偏差为el,i(k),运行时长的偏差为 et,i(k),且el,i(k)= ls − li(k),et,i(k)= ts − ti(k),i = 1,2,· · ·,5.
若第 i 台给矿机触发了执行机构的切换条件:表明该给矿机已超负荷运转,则需采用性能指标式(28)对所有给矿机的优先级 Ji(k)进行计算,E1和E2分别为偏差的约束上限和约束下限.
(28)
表1基于专家经验的给矿机频率控制规则
Table1Frequency control rules for mining machines based on expert experience
条件1:

(29)
其中: fl,i(k)为料位项优先级,cl为正值常系数,A∗代表最高优先级,ft,i(k)为运行时长项优先级,fm,i(k)为人为干预项优先级.
若料位li(k)高于下界ls,则采用cl(li(k)− ls)计算料位优先级; 若当前料位li(k)低于下界ls,则给料位最低优先级−A∗ .
条件2:

(30)
其中ct为负值常系数.
若第i台给矿机的运行时长ti(k)高于上界ts,则采用ct(ti(k)− ts)计算时长优先级; 若ti(k)低于上界ts ,则第i台给矿机优先级为0.
条件3:

(31)
根据式(31),对计划优先排空的料仓给予最高优先级ma=high,对正在检修或堵塞的料仓给予最低优先级ma=low,其他情况.
根据式(28)和条件1–3计算每台给矿机优先级,并采用冒泡法对优先级进行排序,选出两台优先级最大的给矿机i1和i2,作为传输指令传递给执行机构.
4 工业应用
4.1 给矿过程数据采集和参数辨识
在给矿厂采集3000组给矿量和给矿频率数据,采样间隔为1 s,绘制成如图3所示的曲线.
将采集数据y(k)和u(k − τ)组成输入数组X(k),将y(k + 1)组成输出数组Y (k + 1),即
(32)
(33)
最小二乘参数辨识方程为
(34)
将式(32)–(33)的具体数据代入式(34)可得辨识参数将代入式(13)的低阶线性部分,传输时延τ = 2 s,可得如下混合动态模型:
(35)
绘制模型预报值与真实值y(k + 1)对比如图4所示,由图4可知式(35)具有相对较好的预报精度.
图3给矿量和给矿频率运行曲线
Fig.3Operation curve of ore feeding process
图4模型预报值与真实值对比
Fig.4Comparison between predicted values and actual values
4.2 实验效果分析
4.2.1 数值仿真
为了说明本文所提方法的优越性,采用PI控制方法、Smith控制方法、本文控制方法进行数值仿真对比,并采用图5所示正弦波模拟非线性系统干扰,实验结果对比如图6–8所示.
图5正弦波扰动信号
Fig.5Sine wave disturbance signal
图6正弦波扰动下的PI控制效果
Fig.6PI control effect under sine wave disturbance
图7正弦波扰动下的Smith控制效果
Fig.7Smith control effect under sine wave disturbance
图8正弦波扰动下的本文方法控制效果
Fig.8Control effect of the method proposed in this paper under sinusoidal disturbance
Smith预估控制如图9所示.
图9Smith预估控制原理图
Fig.9Smith control schematic diagram
Smith预估控制器的表达式为
(36)
式中: u∗ (k)为Smith预估控制器的输入信号; y ′(k)为 Smith预估控制器的输出量; 为Smith预估控制器的中间变量; 参数和e(k)的含义与本文一致.
从图6–8中可以看出,采用本文方法时,系统输出能够稳定跟踪设定值,且输出的波动较小,Smith控制跟踪略有滞后,PI控制效果较差.
4.2.2 工业验证
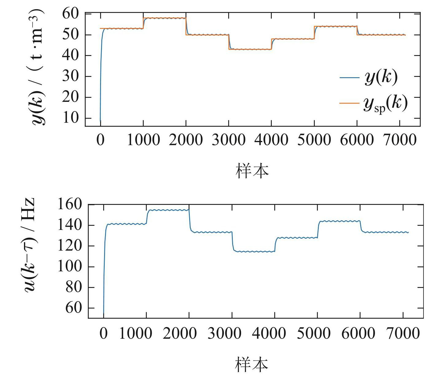
为了说明本文所提方法的实用性,分别采用常规 PI控制方法、Smith控制方法、本文控制方法进行工业验证,3种方法的控制效果如图10–12所示.
图10采用常规PI算法时的给矿量y(k)和频率u(k − τ)曲线
Fig.10The curves of feeding amount y (k) and frequency u (k − τ) when using conventional PI algorithm
图11采用Smith算法时的给矿量y(k)和频率u(k − τ)曲线
Fig.11The curves of feeding amount y (k) and frequency u (k − τ) when using Smith algorithm
图12采用本文算法时的给矿量y(k)和频率u(k − τ)曲线
Fig.12The curves of feeding amount y (k) and frequency u (k − τ) when using the algorithm in this article
从图10–12中可看出,采用常规PI控制方法,给矿量和给矿频率存在严重的超区间现象. 采用Smith控制时,在给矿量和给矿频率超区间后,需要较长的时间才能再次稳定,重回到区间内. 相比之下,本文的控制算法效果较好,无明显的超区间现象.
频率切换机制如图13所示,将规则控制用数字2表示,将信号补偿PI控制用1表示.
采用文献 [23-26] 的性能指标: 给矿量跟踪误差超目标区间次数I1、超区间累积和I2、控制输入超目标区间次数I3、超区间累积和I4、均方误差(mean squared error,MSE)、误差绝对值积分(integral of absoluted error,IAE),对上述3种方法的控制性能进行评价,评价结果如表2–4 所示.
图13频率切换序列
Fig.13Frequency switching sequence
表2给矿量的控制性能评价表
Table2Evaluation table for control performance of ore feeding amount
表3给矿频率的控制性能评价表
Table3Evaluation table for control performance of ore feeding frequency
表4跟踪误差的控制性能评价表
Table4Evaluation table for control performance of tracking error
从表2–4中可以看出,与常规PI 控制相比,本文所提方法使给矿量超区间次数降低90.64%,超区间累积量降低89.35%,给矿频率超区间次数降低91.28%,超区间累积量降低 89.78%,给矿量的MSE 和IAE降低 48.74%. 与Smith控制相比,本文所提算法使给矿量超区间次数降低70.45%,超区间累积量降低69.25%,给矿频率超区间次数降低73.82%,超区间累积量降低 79.46%,给矿量的MSE和IAE降低37.52%. 从数据分析可以看出,本文提出的方法改善了复杂给矿过程的控制效果.
5 结论
本文提出了由信号补偿PI控制、规则推理、切换机制组成的非线性智能PI控制方法,将所提方法应用于复杂工业给矿过程. 工业应用结果表明: 信号补偿器可以削弱非线性系统和传输时延所带来的影响,规则推理可使超区间的给矿量迅速返回到目标区间内,执行机构智能切换机制可以有效地避免给矿过程板结、堵塞、空载等现象,可以保证给矿机的合理调配. 当系统受到各种频繁扰动时,所提控制方法可将给矿量和给矿频率控制在工艺要求的目标值范围内.