基于正交特性的机电伺服非线性机械参数辨识
doi: 10.7641/CTA.2024.30751
梁蔓安1 , 周德俭1,2
1. 西安电子科技大学机电学院, 陕西 西安 710071
2. 桂林电子科技大学机电工程学院, 广西 桂林 541004
基金项目: 国家自然科学基金项目(12362007, 52165054), 广西自然科学基金项目(2021JJA160278, 2020GXNSFAA159142)资助.
Nonlinear mechanical parameter identification for mechatronic servo based on orthogonal characteristics
LIANG Man-an1 , ZHOU De-jian1,2
1. School of Mechano-Electronic Engineering, Xidian University, Xi’an Shaanxi 710071 , China
2. School of Mechanical and Electrical Engineering, Guilin University of Electronic Technology, Guilin Guangxi 541004 , China
Funds: Supported by the Foundation of the National Natural Science Foundation of China (12362007, 52165054) and the Guangxi Natural Science Fundation (2021JJA160278, 2020GXNSFAA159142).
摘要
针对机电伺服控制中机械参数未知或变化导致控制器参数失匹, 动态性能和精度难以持续保证的问题, 提出一种对转动惯量、非线性摩擦力和偏置负载进行快速参数辨识的方法. 此方法先后利用参考正弦信号的相位和运动正交特性, 实现转动惯量和摩擦力辨识的解耦, 避开惯性力矩估计中的噪声干扰, 提高了辨识精度. 使用可分离最小二乘法将非线性和线性摩擦力参数的优化过程分离, 降低了优化求解的计算负荷. 此方法对类似伺服系统机械参数辨识具有一定的通用性. 通过硬件在环仿真实验, 分别对辨识方法可行性、辨识精度给予了验证; 实验研究了辨识方法的增量式算法在速度比例–积分控制器参数自整定和前馈补偿中的应用.
Abstract
Uncertainty and variation of mechanical parameters cause the mismatch of control settings in mechatronics servo systems, therefore the dynamic performance and the accuracy cannot be guaranteed continuously. A rapid parameter identification method for moment of inertia, nonlinear friction and bias load is proposed in this paper. It circumvents the introduction of noise in inertial estimation and improves the identification accuracy by exploiting the phasic and kinematic orthogonal properties of a sinusoidal reference to decouple the identifications of inertia and friction. The utilization of separable least square method relieves the computational burden for optimization solution by separating the procedures for optimizing the nonlinear and linear parameters of the friction model. The proposed method could be generalized to identifications of similar mechanical systems. The feasibility and the accuracy of the identification method are verified with a hardware-in-loop simulation respectively, and the application of incremental algorithm of the proposed method in self-tuning and feedforward compensation of speed PI control is studied experimentally.
1 引言
基于模型的机电伺服控制中,转动惯量、摩擦力等机械特性的辨识与伺服系统精度控制、状态检测和性能预估密切相关. 伺服控制充分利用惯量信息,能有效提高系统跟随带宽,协调多伺服的动态响应以减小耦合误差,提高速度估计精度以减小低速振动; 利用摩擦力补偿能够有效地减小伺服换向时的跨象限误差. 传动链变短的趋势下,相较于电气特性,机电伺服中的机械特性更易受环境因素影响. 其导致的模型参数失匹会降低系统的动态响应和精度,因此设计辨识方法快速准确地获得系统机械参数受到广泛持续关注 [1-3] .
自适应策略提供了在线参数估计的手段 [4-5],但受激励信号信息丰富程度的限制,参数收敛速度和精度难以保证. 采用离线方式,在系统调试或试车前完成机械参数辨识,以此为依据进行伺服控制器整定和补偿是目前普遍采用的手段. 工程应用中,机电伺服系统参数辨识方法的设计是精度、操作流程、计算负荷和机械结构等多方面的综合考虑. 扰观测器框架下,如干扰观测器(disturbance observer,DOB)、卡尔曼滤波器(Kalman filter,KF),将参数辨识误差视为未建模干扰,通过设置恒速和恒加速轨迹约束,能够先后将摩擦力和惯量信息从观测器中提取并辨识 [6-7] . 此类方法的鲁棒性优点伴随的是额外的观测器整定和反复的参考试车. 使用最小二乘或拉格朗日等优化方法,能够在无需特定轨迹约束的条件下(甚至是开环框架),通过模型与试车过程中的状态曲线(如位移或控制力矩)逼近实现转动惯量和摩擦力的同时辨识 [8-9] . 此类方法虽然辨识条件和假设较为宽松,没有反复试车的限制,但加速度估计引入的噪声会降低辨识精度. 转动惯量和摩擦力两物理量辨识结果的耦合易造成误差传导,降低辨识精度(尤其在系统调试或工艺试车场合). 文献 [10] 利用逆模型构造了系统控制力矩与参数的线性代数关系,在控制力矩最小二乘逼近中避开了噪声干扰的加速度估计,提高了辨识精度. 文献 [11] 构建了仅需位置反馈的比例/积分(PI)速度控制,通过阶跃和偏置正弦参考输入先后完成了线性摩擦力和转动惯量的辨识. 对于频域辨识方法,当前普遍采用的正弦扫频频域分析,由于忽略了摩擦力等非线性特性对线性模型低频响应的影响,难以满足高辨识精度要求 [12] . 通过引入摩擦力和相位延时模型,文献 [13] 在频域分析之前进行有效激励信号估计,提高了频域响应分析法的辨识精度. 文献 [14-15] 构造继电反馈以使系统形成极限环,通过描述函数或时域分析获得了系统振动特征与线性机械参数间的函数关系. 模型非线性特性的辨识加大了优化算法的复杂度,智能计算(如遗传算法、粒子群算法)的应用受到了关注 [16-17] . 为满足高定位精度需求,文献 [18-19] 就摩擦力在预滑移瞬间的高度非线性、延滞性提出了动态模型及辨识方法. 文献 [20] 用摩擦力对位移信号的傅里叶频谱分析,获得了周期性的摩擦力/位移关系特征.
在普通比例/积分/微分(PID)控制框架下,文献 [21-22] 利用参考轨迹的正交特性,通过信号的积分运算避开辨识过程中的加速度估计,实现了转动惯量和对称线性摩擦力的辨识. 本文利用正弦参考轨迹所具有的相位和运动正交特性,在普通速度或位置控制下仅通过一次正弦轨迹试车,先后完成包括转动惯量、非线性摩擦力和偏置负载在内的机械参数的独立辨识. 辨识方法避开了噪声污染的加速度估计以及辨识结果的误差传导; 使用可分离最小二乘方法对非线性参数优化求解,显著降低了辨识的计算负荷.
2 机电伺服系统模型
忽略传动链的弹性变形,机电伺服系统可以等效为由电机直接驱动的单质量滑块模型. 伺服电机通常采用电流负反馈设计,电气部分的动力学特性相对于机械部分要快得多,可以忽略不计. 此时输出的驱动力矩由控制电压ut)线性确定,动力学特性可近似为
Jθ¨(t)+f(t)+T0=kmu(t),
(1)
其中: θ为电机轴角位移; Jft)和T0分别为等效于电机轴上的转动惯性、摩擦力和偏置负载; km为伺服放大器的力矩增益,因其对功率器件工作点或温度等变化具有高的鲁棒性,参数波动可以忽略. 使用Stribeck 非线性摩擦力模型式(2)描述摩擦力变化,即
f^(θ˙(t))=sgn(θ˙)Tc+Bθ˙+sgn(θ˙)×Ts-Tce-θ˙θs,θ˙0,
(2)
其中参数Ts TcB分别为静摩擦力、库伦摩擦力和油膜阻尼系数; Stribeck速度θ˙s和力矩∆T = TsTc 共同描述低速滑移时边界摩擦向油膜润滑的非线性过渡. 若忽略此非线性特性,Stribeck模型则退化为线性Coulomb模型,即
f^(θ˙(t))=sgn(θ˙)Tc+Bθ˙,θ˙0
(3)
3 参数辨识
对式(1)所描述的系统,电机驱动力矩可通过控制电压u直接获得,位移信号可通过光电编码器采样直接获得. 若u=u1 umTθ=θ1 θmTRm×1分别为控制电压和位移的采样. 速度和加速度的采样θ˙θ¨Rm×1需通过θ的有限脉冲响应(finite impulse filter,FIR)微分滤波获得. 这样虽然可以避免信号估计的延时,但编码器量化误差却会引入噪声(在低速高频采样下的加速度估计尤为严重). 本文利用周期正弦轨迹所具有的相位和运动正交特性,将单次试车采样信号中的惯性特征与摩擦力特征分离,在先后独立的转动惯量和摩擦力辨识计算中减小信号噪声和估计误差的干扰.
3.1 转动惯量辨识
假设系统受到的摩擦力与模型式(2)匹配,偏置负载恒定,忽略正反向运动中摩擦力存在的微小非对称性,系统动力学方程由式(1)–(2)可得
Jθ¨(t)+sgn(θ˙)Tc+sgn(θ˙)ΔTe-θ˙θs+Bθ˙+T0=kmu(t)
(4)
为了辨识转动惯量,电机必须经历加速过程,运动期间的摩擦力无法避免. 对于式(1),在不具备摩擦力信息的任意时刻,惯性力矩无法确定; 同时加速度估计中存在严重的噪声干扰.
但对于任意连续时段,扩展式(1),电机受到的各力矩与位移θ保持如下关系:
Jθ¨θdt+fθdt+T0θdt=kmuθdt
(5)
设计运动轨迹θt),使其与摩擦力ft)和偏置负载 T0在某时间段构成正交关系,则摩擦力与偏置负载信息从上式中剔除,那么即使摩擦力和负载未知,也能够获得惯性力矩与驱动力矩的直接关系. 分析可知,摩擦力模型相对于正反向运动速度表现出对称性,而偏置负载任意速度下保持恒定. 为构造上述期望的正交关系,可以选择如图1所示的,与速度θ˙t保持相位正交且关于横坐标轴对称的一类运动轨迹θt).
1正弦参考的正交关系
Fig.1Orthogonality of sinusoidal reference
位置或速度控制作用下,电机稳态输出完成某频率ω正弦运动轨迹,即
θ(t)=Apsin(ωt)θ˙(t)=Apωcos(ωt)
(6)
不难发现,在整周期时段内,θt)与摩擦力各分量和偏置负载具有如下正交关系:
2 π n ω 2 π ( n + 1 ) ω sgn ( θ ˙ ) T c θ d t = 0 , 2 π n ω 2 π ( n + 1 ) ω sgn ( θ ˙ ) Δ T e θ ˙ θ s θ d t = 0 , 2 π n ω 2 π ( n + 1 ) ω B θ ˙ θ d t = 0 , 2 π n ω 2 π ( n + 1 ) ω T 0 θ d t = 0 .
(7)
将此关系应用于式(5),消除方程中的摩擦力和偏置负载,得到惯性力矩与驱动力矩的关系为
2πnω2π(n+1)ω Jθ¨θdt=2πnω2π(n+1)ω kmuθdt.
(8)
求解转动惯量
J=2πnω2π(n+1)ω kmuθdt2πnω2π(n+1)ω θ˙2dt.
(9)
控制器设置的采样频率普遍接近1 kHz,离散采样造成的数值计算误差可忽略. 通过整周期采样信号获得转动惯量估计
J^=-kmuTθθ˙Tθ˙-1.
(10)
3.2 非对称摩擦力辨识
由Stribeck 模型式(2)可知,单次试车完成摩擦力参数辨识要求轨迹经历不同速度. 此时摩擦力参数的辨识精度可通过试车中摩擦力估计曲线与实际曲线的逼近程度进行评价. 摩擦力模型中除了θ˙s引入唯一的非线性项,其余均为线性参数. 为避免普通非线性优化所存在的计算负荷问题,本文使用可分离最小二乘方法完成摩擦力曲线的逼近.
需要指出,偏置负载T0恒定作用于电机轴,与库伦摩擦力的叠加作用可等效为与运动方向有关的非对称库伦摩擦力sgnθ˙Tc+T0.因此偏置负载的辨识和非对称摩擦力的辨识是同一过程.
将摩擦力参数划分为线性和非线性两部分:a=ΔTsgnθ˙Tc+T0BTα=θ˙s; Stribeck模型表示为线性和非线性项分离的矩阵形式,即
f^=aTsgn(θ˙)e-θ˙α11θ˙.
(11)
根据速度信号采样θ˙构造回归矩阵
ψ(α)=ψ1ψm=sgnθ˙1e-θ˙1α1θ˙1sgnθ˙me-θ˙mα1θ˙mRm×3
(12)
则试车中摩擦力估计的采样f^=f^1 f^mT可以通过下式获得:
f^=ψ(α)a.
(13)
假设转动惯量J恒定且已知,实际摩擦力ft)的采样f=f1 fmT可通过式(1)获得. 摩擦力曲线的逼近通过代价函数给予评价,即
γ(a,α)=i=1m fi-f^i2=kmu-Jθ¨-ψ(α)a2.
(14)
摩擦力参数辨识则可表示为以下非线性最小二乘优化问题:
[a^,α^]=argminγ(a,α).
(15)
由可分离最小二乘变投影法 [23],对于任意给定的 α,总存在如下的线性最小二乘解使得特定α时的代价函数式(14)最优.
a(α)=ψ+(α)kmu-Jθ¨.
(16)
定义ψα)中各列向量张成空间上的正交投影及其正交补投影,即
P ψ ( α ) = ψ ( α ) ψ + ( α ) , P ψ ( α ) = I P ψ ( α ) = I ψ ( α ) ψ + ( α ) ,
(17)
则式(16)获得的解aα)可看成是向量kmu-Jθ¨ψα)列向量张成空间上的投影坐标. 将其代入代价函数式(14),可得到此最优解下的等价代价函数,即
γ'(α)=mina γ(a,α)=PΨ(α)kmu-Jθ¨2.
(18)
若足够丰富的激励信号使得回归矩阵ψα)具有恒定的秩min(3,m),使用非线性最小二乘法即可先后得到非线性参数α和线性参数α的全局最优解,即
α^=argminα γ'(α),
(19)
a^=ψ+(α^)kmu-Jθ¨.
(20)
此全局最优解结论的证明见附录.
等价代价函数γ′α)的Hessian矩阵正定性依赖于具体轨迹θ˙难以确定. 为确保全局最优解,需要进行全局搜索. 但相较于式(15),采用最小二乘变投影法后的优化问题式(19)搜索维度从4减少到1,避免了多维度搜索,计算量得到显著降低.
若不设置额外约束条件,摩擦力参数的求解式(19)–(20)仍需转动惯量和加速度为前提. 为消除惯性力矩中噪声对等效代价函数γ′α)的扰动,利用机械系统所具有的运动正交特性,通过设置采样集约束,使得惯性力矩在优化求解中得以剔除,实现正反方向运动时非对称摩擦力的辨识.
平滑运动物体在特定时段内,位移、速度和加速度具有如下正交关系. 定义x为连续可导的位移或速度信号,且nN当时间片段满足约束xt1=xt2t1t2运动正交特性可描述为
t1t2 xn(t)x˙(t)dt=0t1t2 ex(t)x˙(t)dt=0
(21)
此正交特性为机械系统参数辨识提供了有效解耦手段. 根据上述正交要求,分别对正弦轨迹中正反向运动的采样信号进行截取,使其首尾两端元素具有相同速度,获得ψα)中各非线性项与加速度构成的正交关系,即
ψTθ¨=0.
(22)
将这一正交关系应用于等效代价函数γ′α
I-ψψTψ-1ψTkmu-Jθ¨2=kmu-Jθ¨Tkmu-Jθ¨-kmu-Jθ¨TψψTψ-1ψTkmu-θ¨=kmu-Jθ¨Tkmu-Jθ¨-km2uTψψTψ-1ψTu,
(23)
式中向量uθ¨为试车过程的采样信号,转动惯量J只要保持恒定(即使未知),则上式的第1项保持恒定,此时非线性优化问题等价于
α^=argminα -uTψ(α)ψT(α)ψ(α)-1ψT(α)u.
(24)
同样地,将运动正交特性应用于式(17)可得
a^=kmψ(α^)Tψ(α^)-1ψ(α^)T(u+Jθ¨)=kmψ(α^)Tψ(α^)-1ψ(α^)Tu=kmψ+(α^)u
(25)
可以看到,式(24)–(25)中不再包含惯性力矩信息,避免了转动惯量或加速度估计引入的扰动,只需激励信号u和速度估计θ˙即可完成非线性摩擦力参数的辨识. 离线辨识求解中通过对θ进行适当带宽的FIR 微分滤波即可获取无相位延迟的θ˙,测量噪声对优化求解的扰动显著降低.
可分离最小二乘方法分离地将非线性和线性参数优化求解,有效降低了计算负荷. 此辨识方法同样适用于退化后的Coulomb模型. 由于此时只是线性最小二乘优化,非线性参数的优化求解式(24)将被省略,但优化求解中使用运动正交特性剔除惯性力矩的方法仍然有效,线性参数直接通过式(25)求解获得. 分离优化策略也适用于其他类似非线性机械模型,如Stribeck转变过程exp-θ˙θ˙s2非线性阻尼B|θ˙|δsgnθ˙.
辨识方法仅需正弦参考下的控制电压和位移信息,对控制器实现没有特殊要求,可以是普通的位置或速度PID控制,或其他复杂控制. 由于辨识采样来源于实际位移输出,保守增益设置导致的稳态误差不对辨识结果产生影响,因此辨识方法需要的控制器设置难度不大.
利用运动正交特性仅需满足采样信号首尾两端速度相等这一条件,对试车轨迹没有要求,所以摩擦力的辨识甚至可在无需控制器的开环框架下实施. 类似上述剔除惯性力矩,利用位移与速度信号的运动正交特性同样可以剔除摩擦力信息,通过两次或多次闭环或开环的试车采样实现转动惯量和偏置负载的辨识.
4 实验验证
为研究辨识方法的可行性及辨识精度,以某数控机床的X向进给轴为实验对象,进行了硬件在环仿真实验,实验平台如图2所示. 机床工作台进给由伺服电机SGM7J-08A经滚珠丝杆驱动; 伺服放大器选用SGD7S-7R6A,设置电流负反馈的力矩控制模式,力矩增益km = 0.239 Nm/V; 目标机为某工业计算机,配置的研华PCI-1723采集卡输出±10 V区间的力矩控制信号至伺服放大器以驱动伺服电机,并通过研华PCI-1784U从伺服放大器的正交编码器输出端获得位置反馈; 本文中的摩擦力模型实现及控制算法设计在宿主机的开发平台下完成,经过代码转换和编译后由以太网接口下载至目标机的实时平台; 目标机模拟伺服控制器功能,以0.1 ms的单采样周期运行上述代码,控制电机完成对指定轨迹的跟踪. 目标机运行时的采样信号记录经以太网批量式地回传给宿主机以完成参数辨识.
2硬件在环仿真实验平台
Fig.2Hardware-in-loop simulation platform
4.1 高低增益下的辨识对比
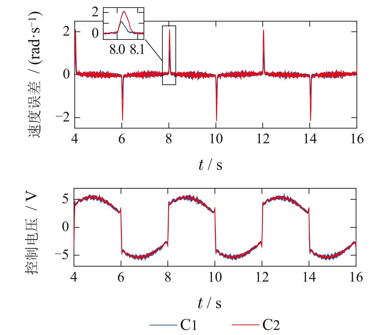
辨识方法在控制率为式(26)的常用PI速度控制下给予验证. 控制器分别选择C1(kvp = 3.1,kvi = 160)和C2(C1增益的1/3)两组设置以研究高低增益对辨识精度的影响. 系统响应如图3所示.
u=kvpθ˙r-θ˙+kviθ˙r-θ˙dt.
(26)
3参数辨识用系统响应
Fig.3System response applied in parameter identification
编码器信号分别通过截止频率60 Hz的FIR低通滤波器和微分滤波器获得无相位延时的采样信号θθ˙. 理论上,辨识过程只需一个周期的正弦参考信号即可完成,为减少由随机因素带来的辨识误差,选择连续3个周期的采样信号用于辨识计算. 值得注意的是换向瞬间摩擦力的非对称性和非连续性导致了θ˙=0附近不容忽视的非对称误差尖峰. 如局部放大图所示,它违背了辨识方法的对称性假设,会导致辨识精度降低,因此需要在采样信号中将这一非对称区间剔除. 利用先验知识可确定0.05∼8.0 rad/s的低速搜索区间,以0.01 rad/s步长的常用一维线搜索获得全局最优解,辨识结果见表1. 由于参考正弦信号的频率远低于机床速度环截止频率,如图3所示,两增益设置下的速度误差和控制电压,除剔除掉的换向区间外,并不存在明显差异. 从参数辨识结果看,两增益下的θ˙s'θ˙s和B辨识值与TsTc相比,存在较大的相对差异,但摩擦力幅值f^对此差异并不灵敏. 例如Stribeck模型,整个速度范围内|θ˙|45rad/s相对于高增益下的摩擦力幅值估计,低增益下幅值估计的最大差异仅为2.4%(发生在θ˙=0-rad/s). 这表明高低不同的增益设置导致的摩擦力估计差异并不明显,辨识方法在实施过程中对增益设置范围要求较宽松,无需复杂的增益调节.
1高低增益设置下的辨识结果
Table1Identification results under high gain and low gain settings
注: 正反两运动方向下的辨识结果由下划线“/”划分.
4.2 辨识精度对比验证
为验证辨识精度,使用C1增益设置下的辨识结果进行加速度和摩擦力估计,并将其作为前馈引入到上述速度PI控制中,控制系统框架如图4. 前馈依据先后来源于表1中的Stribeck,Coulomb和转动惯量辨识结果,并同时与文献 [21] 所介绍的,具有相似参考轨迹要求和运算负荷要求的正交积分辨识方法(为方便叙述,后文标识为OIM)进行对比.
4速度控制系统框图
Fig.4Schematic diagram of velocity control
图4中的开关用于激活前馈以便观察前馈激活前后系统响应的变化. 采用参考信号而非反馈获得补偿值的估计是基于以下考虑: 加速度前馈时,惯性滞后导致的速度误差得以降低,参考速度与实际速度足够接近; 能够避免反馈通道噪声引起的摩擦力估计抖动(尤其在低速运行阶段)以及反馈可能引入的失稳. 控制信号由以下3项组成:
u=ua+uf+uc=J^θ¨rkm+f^θ˙rkm+uc,
(27)
其中: uauf分别表示加速度前馈和摩擦力前馈,uc 为PI反馈控制式(26). 反馈控制器中的积分作用能够自动补偿缓变的摩擦力干扰,因此模型辨识的精度需要结合速度误差和反馈矫正力度进行评价.
幅值16 rad/s,周期0.5 s的正弦参考下的系统响应如图5. 前馈未激活的第1个周期,系统完全由PI控制驱动. 启动和换向瞬间摩擦力突变,速度输出产生了接近 1.5 rad/s 的误差尖峰. 虽然随着 PI控制器积分作用的积累,摩擦力得以逐渐克服,速度误差明显下降,但由于缺少加速度补偿,惯性迟滞仍旧保持着 0.2 rad/s左右的稳态误差.
5前馈补偿前后的系统响应对比
Fig.5Comparison of system responses with and without feedfroward compensation
前馈激活后,速度跟随几乎由前馈驱动. 虽然换向瞬间的误差尖峰依然存在(误差尖峰除与辨识误差有关,还与模型无法描述的预滑移摩擦力动态特性有关),但误差幅值相较前馈激活前得到了显著降低. 忽略换向瞬间的误差尖峰,用参考速度θ˙r近似替代实际速度θ˙,跟随参考信号所需的反馈控制可由下式确定:
uc=Jθ¨-J^θ¨rkm+f-f^km(J-J^)θ¨rkm+f-f^km.
(28)
这表明: 跟随参考过程中,反馈控制uc的作用是补偿前馈中估计误差导致的干扰. 若ε=ucuc+uf+ua其幅值大小反映辨识综合精度. 惯性力矩与加速度有关,而摩擦力与库伦摩擦力大小以及速度有关. 正弦周期内,加速度与速度始终保持正交关系. 若转动惯量或摩擦力估计存在误差,两者所导致的反馈控制不会在整个周期期间相互中和.
图5所示,3种模型方法的前馈曲线ufua在整个速度范围内不存在明显差异,PI控制下运动期间|θ˙|2rad/s都获得了显著的跟随性能提升. 但OIM 在辨识计算中使用参考输入对实际输出近似,从而导致J^的偏低,因此相较与另外两模型方法,其对应反馈曲线uc存在着与加速度同步的微小偏转. 除误差尖峰导致的电压尖峰外,Stribeck和Coulomb具有相近的反馈曲线uc,能够水平保持在0 V附近. 表2列出了运动期间各模型方法下ε的均方根值RMS和uc极值MAX. 数据表明,在θ˙s以外Stribeck和Coulomb具有更高的综合辨识精度,完成了近95%的惯性力矩和摩擦力矩的补偿.
值得指出的是,Coulomb和OIM模型方法都是基于线性模型的辨识,忽略了低速时摩擦力的非线性和动态特性. 而Stribeck模型方法考虑了低速段的非线性,因此在|θ˙|=2rad/s处的uc极值得到显著的降低. 此外,如局部放大视图所示,静摩擦力Ts的辨识和补偿也使得换向瞬间误差尖峰相对降低了近50%.
23种模型方法的精度对比
Table2Accuracy comparison of 3 models
注: 正反两运动方向下的统计结果由下划线“/”划分.
4.3 增量式辨识及自整定验证
机电伺服普遍采用的P-PI级联控制具有快速抑制干扰的优点,其控制器需依据系统参数辨识结果经过整定过程以满足性能指标 [2124-25] . 如其速度环中的PI 速度控制器,开环传递函数可表示为
Gol=Kvp+Kvisωcs+ωckm1Js,
(29)
幅频特性如图6,其中内部电流环具有快得多的动态特性,使用转角频率ωc的一阶环节给予近似. 控制器的转折频率KviKvp应与速度环带宽ωv保持足够距离以满足相位裕度要求,因此控制器在ωv处的积分作用已减弱,频率点ωv处的开环传递函数近似为
GolKvpkmJs,
(30)
为满足速度环带宽ωv这一性能指标,应设置
Kvp=ωvkmJ
(31)
6速度环开环幅频特性
Fig.6Open-loop frequency characteristics of the speed loop
从相位裕度考虑,若保证转折频率和ωv的5分频的距离,应设置
Kvi=Kvpωv5=ωv25kmJ.
(32)
可见,变化工况下恒定的KvpKvi设置难以持续保证满意的性能指标要求,需根据参数辨识结果J^进行自整定.
本文第3.1节中基于采样批量处理方式的辨识,计算负荷在时间上较集中,可对采样信号进行无延时FIR滤波和非线性特性辨识. 增量处理方式则将部分辨识运算分摊到每一个采样周期,并在整周期采样点通过有限计算完成线性参数的辨识. 由式(10)(25)可知,相邻两采样时刻kk − 1,采样向量存在以下关系:
ukTθk=uk-1Tθk-1+ukθk,θ˙kTθ˙k=θ˙k-1Tθk-1+θk2,ψkTψk=ψk-1Tψk-1+ψkTψk,ψkTuk=ψk-1Tuk-1+ψkTuk.
(33)
因此这种增量方式无需存储和传输采样向量,不存在集中高强度的计算,更适合控制器本地实施.
增量式参数辨识及PI参数自整定的流程如图7所示. 由于转动惯量初始时未知,为防止不正确的增益设置导致系统失稳,首先选用极小值J0进行转动惯量及增益的初始化. 考虑到辨识初期不合适的增益可能导致速度输出的波动和较大的误差,辨识运算中速度采样取至θ˙r而非θ˙; 由于转动惯量辨识结果并不可靠,因此只使用小幅增量∆J对估计值J^更新,并省略不可靠的摩擦力辨识. 由式(10)可知,辨识初期偏小的增益设置不会产生大的控制电压进而导致转动惯量辨识结果产生不期望的波动. 更新后的KvpKvi经低通滤波运用于PI控制. 随着增益增大,辨识精度和速度跟随性能提高. 当辨识结果超出保守估计Jc后,接受其作为估计值J^,并完成摩擦力辨识.
7增量式参数辨识及自整定流程图
Fig.7Procedure of incremental algorithm of parameter identification and self-tuning
参数辨识与自整定的验证实验如图8所示. 以初始值J0 = 1 kg·cm2初始化,可以看到前两个周期内转动惯量估计的小幅增量驱动Kvp更新,速度跟随性能得以改善. 参考此前批处理辨识结果,第3周期的辨识结果18.7 kg·cm2 已非常接近收敛值,自整定后Kvp 更新增大并显著提高了系统动态响应,换向瞬间的误差尖峰随之明显降低,从第 12 s处的 3.4 rad/s 降到了 1.7 rad/s. 如图8所示,随着跟随误差的降低,摩擦力辨识在第3周期后也给出了接近收敛值的结果. 第4周期后,利用辨识结果激活加速度和摩擦力补偿,其跟随性能如局部放大图.
8自整定及前馈补偿结果
Fig.8Result of self-tuning and feedforward compensation
随后高速下的增量式辨识和补偿结果见图9. 电机轴先后经历两个高低幅值分别为35 rad/s和70 rad/s的正弦运动. 除高幅值运动时速度加速变化导致的误差振动有所加剧外,速度误差整体能够保持在零附近,误差尖峰并未发生明显上升. 现实中的摩擦力阻尼特性受速度影响,并非宽速度范围内保持线性. 低速周期的辨识结果运用于后续高速周期,阻尼特性变化造成的参数失匹需要反馈控制给予补偿,因此在第1个高速周期期间,图中的反馈控制出现了与速度变化相对应的轻微波动. 波动方向与速度相反说明阻尼系数辨识值的过补偿需要反馈控制给予反向消除. 可以看到在第1个高速周期结束后,辨识及时捕捉到了阻尼特性的变化,将约1.4 × 10−3的阻尼系数降幅运用于前馈,随后第2个高速周期内反馈控制的波动得到了相应减弱.
5 结束语
本文提出了一种仅通过单一参考信号试车即可完成转动惯量、非线性摩擦力和偏置负载快速辨识的方法. 此方法分别利用正弦参考信号的相位和运动正交特性,避开惯性力矩估计的噪声干扰,先后独立完成转动惯量和非对称摩擦力的辨识. 可分离最小二乘的使用降低了非线性最优求解的计算负荷. 实验表明: 辨识方法的实施无需复杂的控制器设置,辨识精度能在较宽的增益范围内保持稳定. 辨识结果应用于前馈补偿后跟踪精度相较于无补偿得到显著提升; 获得的非线性Stribeck模型估计相较于线性Coulomb模型在低速区间具有更高的精度,误差尖峰降低约30%. 将辨识方法的增量式算法应用于速度PI控制器自整定和前馈补偿控制,有限迭代周期内增益实现了与机械参数的匹配更新,跟随性能得到了改善.
摩擦力/速度模型的辨识和补偿后,快速精确辨识摩擦力圆周位置的非均匀性和预滑移瞬间的动态特性,以进一步提高伺服精度,将是之后的研究方向.
9低/高速切换时的增量式辨识和补偿
Fig.9Result of incremental identification and compensation when experiencing low and high speed strolls
附录
式(19)–(20)是非线性最小二乘优化问题式(15)全局最优解的证明:
由代价函数γaα)和γ′α)的定义可得到各自函数梯度关系
12γ(a,α)=-kmu-Jθ¨-ψ(α)aT×ψ(α)ψ(α)αa,
(A1)
12γ'(α)=-kmu-Jθ¨T×PΨ(α)ψ(α)αψ+(α)kmu-Jθ¨,
(A2)
其中运算符⊕表示左右两矩阵的行合并. 如果α^γ′α)的局部最优解,结合α^的求解式(20)可知
12γ(a^,α^)=-PΨ(α^)kmu-jθ¨T×ψ(α^)ψ(α)αψ+(α^)kmu-jθ¨=-PΨ(α^)kmu-jθ¨Tψ(α^)12γ'(α^)=012γ'(α^),
(A3)
因此a^α也是代价函数γaα)的局部最优解.
进一步,如果α^γ′α)的全局最优解,由a^ψ+α^T×kmu-Jθ¨结合等价代数函数γ′α)的定义可得
γ(a^,α^)=γ'(α^).
(A4)
假设存在另外全局最优解a-α-使得γa¯α¯<γa^α^.由于对于任意的αγ'αγaα成立,可推出如下关系:
γ'(α¯)γ(a¯,α¯)<γ(a^,α^)=γ'(α^).
(A5)
但这与α^是等效代数函数γ′α)的全局最优解这一实矛盾,因此a^α^是代价函数γaα)的全局最优解.
1正弦参考的正交关系
Fig.1Orthogonality of sinusoidal reference
2硬件在环仿真实验平台
Fig.2Hardware-in-loop simulation platform
3参数辨识用系统响应
Fig.3System response applied in parameter identification
4速度控制系统框图
Fig.4Schematic diagram of velocity control
5前馈补偿前后的系统响应对比
Fig.5Comparison of system responses with and without feedfroward compensation
6速度环开环幅频特性
Fig.6Open-loop frequency characteristics of the speed loop
7增量式参数辨识及自整定流程图
Fig.7Procedure of incremental algorithm of parameter identification and self-tuning
8自整定及前馈补偿结果
Fig.8Result of self-tuning and feedforward compensation
9低/高速切换时的增量式辨识和补偿
Fig.9Result of incremental identification and compensation when experiencing low and high speed strolls
1高低增益设置下的辨识结果
Table1Identification results under high gain and low gain settings
23种模型方法的精度对比
Table2Accuracy comparison of 3 models
LIAN C Q, XIAO F, GAO S,et al. Load torque and moment of inertia identification for permanent magnet synchronous motor drives based on sliding mode observer. IEEE Transactions on Power Electronics,2019,34(6):5675-5683.
OHASHI T, SHIBATA H, FUTAMI S,et al. Quadrant glitch compensation by a modified disturbance observer for linear motor stages. Precision Engineering,2019,59:18-25.
WANG Shengxiang, REN Chao, MA Shugen. Active disturbance rejection control with friction compensation for an omnidirectional mobile robot. Control Theory & Applications,2017,34(10):1285-1292.(王圣翔, 任超, 马书根. 含有摩擦补偿的全方位移动机器人自抗扰控制. 控制理论与应用,2017,34(10):1285-1292.)
PAPAGEORGIOU D, BLANKE M, NIEMANN H,et al. Online friction parameter estimation for machine tools. Advanced Control for Applications: Engineering and Industrial Systems,2020,2:1-27.
WANG Ruijuan, MEI Zhiqian, LI Xiangguo,et al. Research on adaptive nonlinear friction compensation of mechatronic servo systems. Proceedings of the CSEE,2012,36(32):123-129.(王瑞娟, 梅志千, 李向国, 等. 机电伺服系统非线性摩擦自适应补偿的研究. 中国电机工程学报,2012,36(32):123-129.)
ZHANG X, LI Z. Sliding-mode observer-based mechanical parameter estimation for permanent magnet synchronous motor. IEEE Transactions on Power Electronics,2016,31(8):5732-5745.
FENG Y, YU X, HAN F. High-order terminal sliding-mode observer for parameter estimation of a permanent-magnet synchronous motor. IEEE Transactions on Industrial Electronics,2013,60(10):4272-4280.
LEE B K. Identification of mass and sliding friction parameters of machine tool feed drive using recursive least squares method. The International Journal of Advanced Manufacturing Technology,2020,109:2831-2844.
LIU L L, WU Z Y. Comprehensive parameter identification of feed servo systems with friction based on responses of the worktable. Mechanical Systems and Signal Processing,2015,64-65:257-265.
GAUTIER M, JANOT A, VANDANJON P O. A new closed-loop output error method for parameter identification of robot dynamics. IEEE Transactions on Control Systems Technology,2013,21(2):428-444.
GARRIDO R, CONCHA A. Inertia and friction estimation of a velocity-controlled servo using position measurements. IEEE Transactions on Industrial Electronics,2014,61(9):4759-4770.
LIN M T, LAI H Y, LIU K C. Moment of inertia estimation and friction coefficient identification for servo drive systems. IEEE/ASME International Conference on Advanced Intelligent Mechatronics(AIM). Massachusetts, USA: IEEE,2020:60-65.
MAEDA Y, HARATA K, IWASAKI M. A friction model-based frequency response analysis for frictional servo systems. IEEE Transactions on Industrial Informatics,2018,14(11):5146-5155.
CHEN X, FANG F, LUO X. A friction identification approach based on dual-relay feedback configuration with application to an inertially stabilized platform. Mechatronics,2014,24(8):1120-1131.
CHAO L, WU J, JIA L,et al. High acceleration motion control based on a time-domain identification method and the disturbance observer. Mechatronics,2014,24(6):672-678.
CHEN K Y, FUNG R F. A mechatronic motor-table system identification based on an energetics fitness function. IEEE/ASME Transactions on Mechatronics,2017,22(5):2288-2295.
LIU Z H, WEI H L, LI X H,et al. Global Identification of electrical and mechanical parameters in PMSM drive based on dynamic self-learning PSO. IEEE Transactions on Power Electronics,2018,33(12):10858-10871.
PIATKOWSIK T. GMS friction model approximation. Mechanism & Machine Theory,2014,75:1-11.
WANG Junxiao, YAN Xiaodong, XU Jianming. Nonsingular fast terminal-sliding-mode control for flexible manipulator system based on disturbance and friction compensation. Control Theory & Applications,2023,40(7):1109-1207.(王军晓, 闫小东, 徐建明. 基于扰动和摩擦补偿的柔性机械臂系统非奇异快速终端滑模控制. 控制理论与应用,2023,40(7):1109-1207.)
YEH S S, SU H C. Development of friction identification methods for feed drives of CNC machine tools. International Journal of Advanced Manufacturing Technology,2011,52:263-278.
KIM S. Moment of inertia and friction torque coefficient identification in a servo drive system. IEEE Transactions on Industrial Electronics,2019,66(1):60-70.
ANDOH F. Moment of inertia identification using the time average of the product of torque reference input and motor position. IEEE Transactions on Power Electronics,2007,22(6):2534-2542.
AXEL R. Algorithms for separable nonlinear least squares problems. SIAM Review,1980,22(3):318-337.
SHUN Xing, XIAO Xi, HAN Jiwen,et al. Speed loop selfcommissioning for permanent magnet synchronous motor drives based on mechanical parameter identification. Electric Machines and Control,2022,26(12):1-9.(孙欣, 肖曦, 韩继文, 等. 基于机械参数辨识的永磁同步电机驱动系统速度环自调试方法. 电机与控制学报,2022,26(12):1-9.)
LI Changhong, CHEN Mingjun, YANG Yan,et al. A correlation identification based auto-tuning speed control method for permanent magnet synchronous motor drives. Proceedings of the CSEE,2014,34(30):3560-3567.(李长红, 陈明俊, 杨燕, 等. 永磁同步电机的相关辨识法自整定速度控制. 中国电机工程学报,2014,34(30):3560-3567.)