摘要
在智能交通领域, 车辆队列系统的协同跟踪控制是改善交通效率低下的有效手段, 并且实现车辆队列系统的精确快速跟踪至关重要. 因此, 针对车辆队列系统的协同跟踪控制问题, 本文提出了一种分布式预设时间观测器. 该观测器旨在使跟随车能够在预设时间内成功跟随领航车的状态, 其中领航车的输入对于部分跟随车不可用. 随后, 为了保证跟踪性能, 需要构建预设性能函数. 然而, 在车辆队列系统中途停止并重新启动, 或者改变领航车的动态时, 会导致性能函数的重新选择, 从而需要重新设计控制方案. 为了消除这一限制, 本文设计了一种不依赖于初始条件的性能函数, 并基于观测结果构建了预设性能下的跟踪控制协议, 以在保证暂态和稳态性能的前提下实现系统的精确快速跟踪; 此外, 为增强车辆队列系统的安全性, 本文提出了自适应补偿控制方案, 用以解决系统执行器故障问题. 所提出的控制方案能够在系统达到稳定的同时, 确保所有车辆在运行时保持安全间距; 最后, 通过仿真结果验证了所提出算法的有效性.
Abstract
In the field of intelligent transportation, the cooperative tracking control of vehicle platoon systems is an effective means to improve traffic inefficiency, and achieving accurate and fast tracking of vehicle platoon systems is of paramount importance. Therefore, a distributed prescribed-time observer is proposed for cooperative tracking control of vehicle platoon systems. The observer is designed to enable the follower vehicles to successfully follow the state of the leader vehicle at the prescribed time, where the leader vehicle’s input is unavailable for some of the follower vehicles. In order to guarantee tracking performance, it is necessary to establish a prescribed performance function. However, stopping and restarting the vehicle platoon systems midway, or changing the dynamics of the leader vehicle, will result in a reselection of the performance function, thus requiring a redesign of the control scheme. In order to eliminate this limitation, a performance function independent of initial conditions is designed in this paper. Based on observed results, a tracking control protocol with prescribed performance is developed to achieve accurate and rapid tracking of the system while ensuring transient and steady state performance. Additionally, to enhance the safety of vehicle platoon systems, an adaptive compensation control scheme is proposed to address actuator faults. The proposed control scheme guarantees that all vehicles maintain a safe distance while the system reaches stability. Finally, the effectiveness of the proposed algorithm is verified by simulation results.
1 引言
近年来,车辆队列系统协同控制作为智能交通领域的新兴方法,受到学者广泛关注. 在智能网络环境中,车辆通过获取到队列内其他车辆的行驶信息来实现车辆之间的协同与合作,具有灵活性、适应性等特点,可应用于自动驾驶、物流配送、交通管制等多样化场景 [1-3] .
跟踪控制作为协同控制的重要应用,其算法的评价很大程度上依赖于收敛时间. 有限时间跟踪控制因为能够使控制系统具有收敛速度快、抗干扰能力强、对不确定性具有鲁棒性等优点,因此被广泛应用 [4-8] . 例如,文献 [4] 研究了非线性连续系统的自适应有限时间跟踪控制问题,设计了有限时间控制器,使闭环系统中的所有信号都是有界的,驱使跟踪误差收敛到一个小邻域. 文献 [7] 研究一类带有约束的非线性系统有限时间跟踪控制问题,采用自适应神经网络控制技术,保证闭环非线性系统的快速有限时间控制性能,同时不违反状态约束. 文献 [8] 研究了带有不确定扰动的一阶非线性多智能体系统有限时间一致性跟踪问题,所有跟随者能在有限时间内快速地跟踪上领导者的期望轨迹. 然而,有限时间收敛的稳定时间取决于初始条件. 因此,学者们提出了一种固定时间收敛方法,该方法减少了对初始条件的依赖,并在固定时间框架下实现跟踪控制 [9-12] . 值得注意的是,所谓固定/有限时间的收敛时间只是估计的上界,而不是实际的收敛时间. 因此,Wang等 [13] 提出了一种规定时间收敛方法,该方法允许用户明确地预先分配系统的稳定时间. 这一极具吸引力的特点促进了预设时间相关算法的研究.
众所周知,在大多数实际系统中,暂态性能和稳态性能都是控制器设计的两个重要评价指标. 然而,许多现有的跟踪控制结果仅仅保证了系统的跟踪误差收敛到一个小的残差集,这个残差集无法先验地设计出来,并且依赖于设计参数和系统参数 [14] . 幸运的是,Bechlioulis等 [15] 开发出一种称为预设性能控制的方法来解决上述问题. 随后相继报道了一系列具有代表性的结果 [16-20] . 例如,文献 [18] 研究了三阶非线性车辆队列自适应模糊优化控制问题. 通过预设性能技术,可以保证设计的二次间距误差保持在预先设定的范围内. 针对车辆队列系统,文献 [19] 将预设性能控制的间距策略应用于车体稳定性和车链稳定性以提高道路通行能力. 文献 [20] 针对带有执行器故障的车辆队列系统,研究了预设跟踪性能下车辆队列主动容错控制,实现车辆队列跟踪误差有界,且车辆间距满足安全性和紧凑性约束. 值得注意的是,上述考虑预设性能的结果都需要满足一定的初始条件,一旦车辆队列系统中途停止并重新启动,或者改变领航车的参考轨迹,就需要重新选择性能函数并重新调整控制方案. 因此,如何设计不依赖初始条件的性能函数实现车辆队列系统的跟踪控制具有重要意义.
基于上述讨论,提出了一类车辆队列系统双预设精度自适应容错跟踪控制方案. 与已有成果相比,本文的主要贡献概述如下:
1)为解决领航车的输入对部分跟随车不可用问题,受文献 [21] 中有限时间观测器的启发,本文为每个跟随车设计了一种预设时间分布式观测器来估计具有高阶非线性动力学的领航车的状态信息;
2)不同于现有车辆队列系统的预设性能方案 [18-20],本文构建了不依赖于初始条件的预设性能跟踪协议,即使车辆队列系统中途停止并重新启动,或者改变领航车的状态,也不需要重新选择性能函数,重构控制方案;
3)本文提出了自适应补偿控制方案,在执行器故障发生的情况下,能够提升车辆队列系统的安全性,保证暂态和稳态性能,并且证明所有跟随车在预设时间内跟随上领航车的参考轨迹.
2 问题描述
2.1 通信机制
车辆队列系统的通信网络采用有向图来描述,定义其中:表示N 辆车的节点集合,表示边的集合,表示有向图的权值矩阵. 从vi到vj的有向路径由连续的边序列表示.表示车辆队列系统中第 i 辆车邻居的集合,为从j 到i 的边,此时否则,当时 aij=0,并且假设aii = 0. 定义且拉普拉斯矩阵表示为考虑领航车节点为 0. 增广图表示为其中且并定义拓展矩阵 H =
2.2 预设时间描述
为了达到预设时间稳定性,定义时变标度函数为

(1)
其导数计算为

(2)
式中: t0表示系统运行的初始时刻,系统的动力学模型将在第3.1节给出; T表示系统达到稳定的预设时间,要求其中Ts是信号处理、计算和信息传输、通信所需的时间周期; ϖ(t0,T)表示一个与 t0 和T相关的连续函数,并且在时间区间[t0,t0 + T)上是严格递增的; 同时,p是一个用户可以选择的大于2 的标量.
引理 1 [13] 令 为可微函数,且表示包含原点的定义域. 对于t ∈ [t0,∞),如果存在常数使得下式成立:
(3)
(4)
那么,在式(1)中给定的时间T下,原系统是预设时间稳定的. 此外,对于t ∈ [t0,T),如下不等式成立:
(5)
并且对于t ∈ [T,∞),下式成立:
(6)
2.3 预设性能描述
定义 1 如果满足以下特征:
1)函数ζ(t)关于时间t 单调递减,其中ζ(0)= 1,且为常数);
2)ζ(t)的导数是有界且分段连续的,则它是一个标度函数.
根据定义1,建立性能函数如文献 [22] 所示,即
(7)
式中ν为正的常数. 随后将误差变换设计为
(8)
式中: zi为第i辆跟随车的跟踪误差,且ι为正的常数.
根据系统状态的连续性可以得到υi(zi)是严格单调递增的,具有以下特点:
1)对于任意的有υi(zi)∈(−1,1);
2)当zi → ∞时,υi(zi)→ 1;
3)当zi → −∞时,υi(zi)→ −1.
基于ζ(t)和υi(zi)的定义,构造如下变换:
(9)
并构造障碍函数
(10)
根据变换(9),可以得出当且仅当ωi(t)趋于±1时ei(t)趋于无穷. 因此,存在以下引理.
引理 2 [22] 对于任意即如果保证 ei(t)有界,那么 ωi(t)总是在集合 Ωωi =内保持不变,即对于存在常数使得以下条件成立:
(11)
2.4 模糊逻辑系统
设H(x)是定义在紧集Ω上的连续函数. 对于给定的期望精度ε >0,存在一组模糊逻辑系统θTφ(x),使得下式成立:
(12)
式中:为基函数向量,为理想权向量,M 为模糊规则的个数.
令θ∗作为最优参数向量,有
(13)
最小模糊逼近误差为
(14)
3 系统建模及控制设计
对于车辆队列系统,构造了双精度控制协议. 首先设计预设时间观测器,该观测器可以在预设时间内精确估计领航车辆的状态信息,随后基于性能函数进行坐标变换并设计自适应控制器,使车辆队列系在预设时间内达到精确的跟踪行为.
3.1 车辆队列系统模型
车辆队列系统由1辆领航车和N辆跟随车组成. 由文献 [23] 可知,第i 辆跟随车的动力学系统描述为
(15)
式中:且其中 i = 1,· · ·,N; xi,1,xi,2和xi,3分别表示第 i 辆车的位置、速度和加速度; 以及是由于建模误差和参数变化而产生的未知项; ωi表示由阵风和不平路面等因素引起的总扰动; ηi表示时间滞后参数,通常由部件的阻尼系数和部件的长期磨损导致. 给出gi,3和fi,3如下:
(16)
(17)
其中: Mi为车辆质量,δi为空气密度,ιi为车辆横截面积,vdi为空气阻力系数,dmi为滚动阻力. 根据文献 [23],车辆发动机输入动力学为
(18)
由于执行器发生故障,上式中vi表示发生故障的执行器传输的信息,执行器故障模型如文献 [24] 所述,即
(19)
式中:为未知常数,为控制输入信号,为未知函数. 令进而得到
将式(13)–(14)代入式(12)中,动力学系统进一步整理为
(20)
领航车的状态信息动力学模型如下:
(21)
式中:且lr(·)表示光滑函数.
假设 1 lr(xr,t)满足局部Lipschitz条件的连续函数,且存在正常数δr满足
假设 2 增广图为一类有向生成树,且将领航车视为根节点.
引理3 [21] 对于任意两个函数ρ(·)和υ(·),如果存在正的常数c和d且满足那么存在正的常数ε使得如下不等式成立:
(22)
3.2 预设时间观测器
对于第 i辆跟随车,表示其关于领航车的状态估计. 利用引理1,预设时间观测器构造如下:
(23)
式中: a,b,ε1,ε2以及ε3为大于零的设计参数; ei,q =(其中且q = 1,2,3)表示利用参考信息xr,q估计构造的第i辆跟随车的跟踪误差,式中为任意两辆车之间所需的安全距离.
定义观测器的估计误差为
(24)
令向量考虑式(21)(23)–(24),随后得到
(25)
式中: 向量在图论中进行了定义.
定理 1 根据式(23)中构造的预设时间观测器,闭环系统(25)能够在预设时间内实现稳定性.
证对于系统(25),设计了Lyapunov函数如下:
(26)
计算V0的导数为
(27)
根据引理2,得到以下不等式:
(28)
式中.
将不等式(28)代入式(27)中得到
(29)
式中:
通过选择适当的参数,可以确保以及其中因此,可以得到
(30)
注意上式中. 令不等式(30)进一步整理为
(31)
基于引理1能得到
(32)
令那么在[t0,T)区间上
(33)
根据上式可以得到: 当t → T 且ϖ−2 → 0 成立时,因此可以得出结论: 设计的观测器能保证跟随车能够在预设时间内实现对领航车的跟踪.
证毕.
3.3 自适应控制器设计
在本小节中,基于预设时间观测器(23)的输出信息以及性能函数,设计跟踪控制协议,随后构造分布式控制器.
步骤 1 基于预设时间观测器(23),跟踪误差为
(34)
根据式(10),且令si,1=ei ,计算si,1对时间t的导数
(35)
式中利用式(6),求出了ωi的导数
(36)
另外,误差变换的导数为
(37)
式中计算si,1的导数
(38)
式中:. 将系统(20)代入式(38)中得到
(39)
根据坐标变换
(40)
式中q = 2,3. 并且利用模糊逻辑系统(14),有
式(40)被进一步计算为
(41)
设计虚拟控制器和自适应律
(42)
(43)
式中ci,1和γi,1均为正的设计参数.
构造估计误差并选择如下Lyapunov函数:
(44)
Vi,1的导数计算为
(45)
将虚拟控制器(42)和自适应律(43)代入式(45)中,并根据不等式(22),被进一步计算为
(46)
步骤 2 为了避免虚拟控制器的重复微分,考虑二阶跟踪微分器来估计αi,q(q = 1,2)的导数,即
(47)
根据坐标变换(40),si,2的导数计算为
(48)
式中.
利用模糊逻辑系统,被进一步计算为
(49)
设计虚拟控制器和自适应律
(50)
(51)
式中ci,2和γi,2均为正的设计参数.
定义误差函数并选择如下Lyapunov函数:
(52)
Vi,2的导数计算为
(53)
将虚拟控制器(50)和自适应律(51)代入式(53)中,并根据不等式(22),进一步计算为
(54)
步骤 3 根据系统方程(20)、坐标变换(40)以及二阶跟踪微分器(47),si,3的导数计算为
(55)
式中:利用模糊逻辑系统有且.
因此被进一步计算为
(56)
设计实际控制器和自适应律
(57)
(58)
(59)
式中ci,3,γi,3和Γi均为正的设计参数.
构造误差函数并选择如下Lyapunov函数:
(60)
Vi,3导数计算为
(61)
将实际控制器(57)和自适应律(58)–(59)代入式(61)中,并根据不等式(22),被进一步计算为
(62)
3.4 稳定性分析
在本小节,选用 Lyapunov函数来分析闭环系统的稳定性.
定理 2 根据自适应律(44)(52)(58)–(59)、虚拟控制器(43)(51),以及实际分布式控制器(57),证明车辆队列系统中所有误差都是半全局一致最终有界的.
证为了给出整个车辆队列系统的稳定性分析,将Lyapunov函数定义为
(63)
根据不等式(62),V 的导数计算为
(64)
利用不等式(22)得到
(65)
根据不等式(65),进一步计算V 的导数为
(66)
式中
定义变量且并利用不等式(31)得到
(67)
令并根据引理1能够得到由此证明了所有闭环信号都是半全局一致最终有界的.
证毕.
与文献 [22] 的证明相类似,根据预设性能参数 υi(·)的定义,可以保证|υi(zi)| <1成立,并且在区间 [t0,T)之外存在zi(t)∈ L∞. 到目前为止,已经证明了所有闭环信号在[t0,T)上都不受时间T的约束. 根据定理2,有si,1(t)∈ L∞. 当t0 = 0时,这意味着误差 si,1(t)在[0,∞)上,有因此能够得出车辆队列系统的跟踪误差轨迹保持在预先规定的性能函数内. 并且根据定理1和定理2,得到所有车辆在运行时均可以保持安全距离.
4 仿真实例
在本节中,给出了一个仿真示例和对比实验来证明提出方法的有效性. 考虑一组车辆队列系统,包括1 辆领航车和4辆跟随车(i = 1,2,3,4). 首先给出领航车的速度信息如下:
(68)
控制器的设计参数为: ci,1 = 30,ci,2 = 25,ci,3 = 90. 自适应律的设计参数为: γi,1 = 100,γi,2 = 150,γi,3 = 15; βi,1 = 100,βi,2 = 150, βi,3 = 150. 执行器故障模型选择为: vi = 0.9ui()+ 0.3,相应的自适应律参数设计为: Γi = 1000, βai = 2. 预设时间观测器相关参数选择为: t0 = 0,T = 2,a = 40,b = 5, p = 3. 跟随车的初始值选择为: xi,1(0)= [5 10 15 20]T,xi,2(0)= [0.1 0.1 0.1 0.1]T,xi,3(0)= [0.1 0.1 0.1 0.1]T.
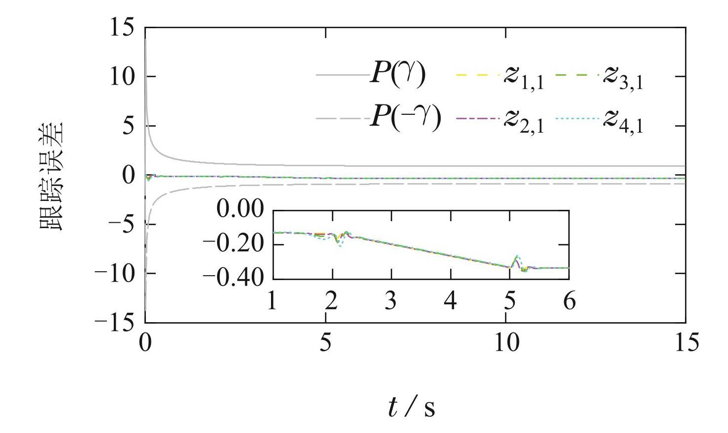
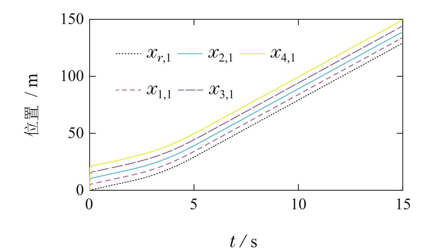
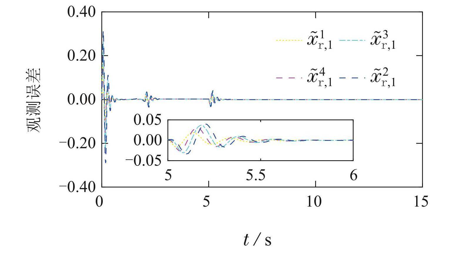
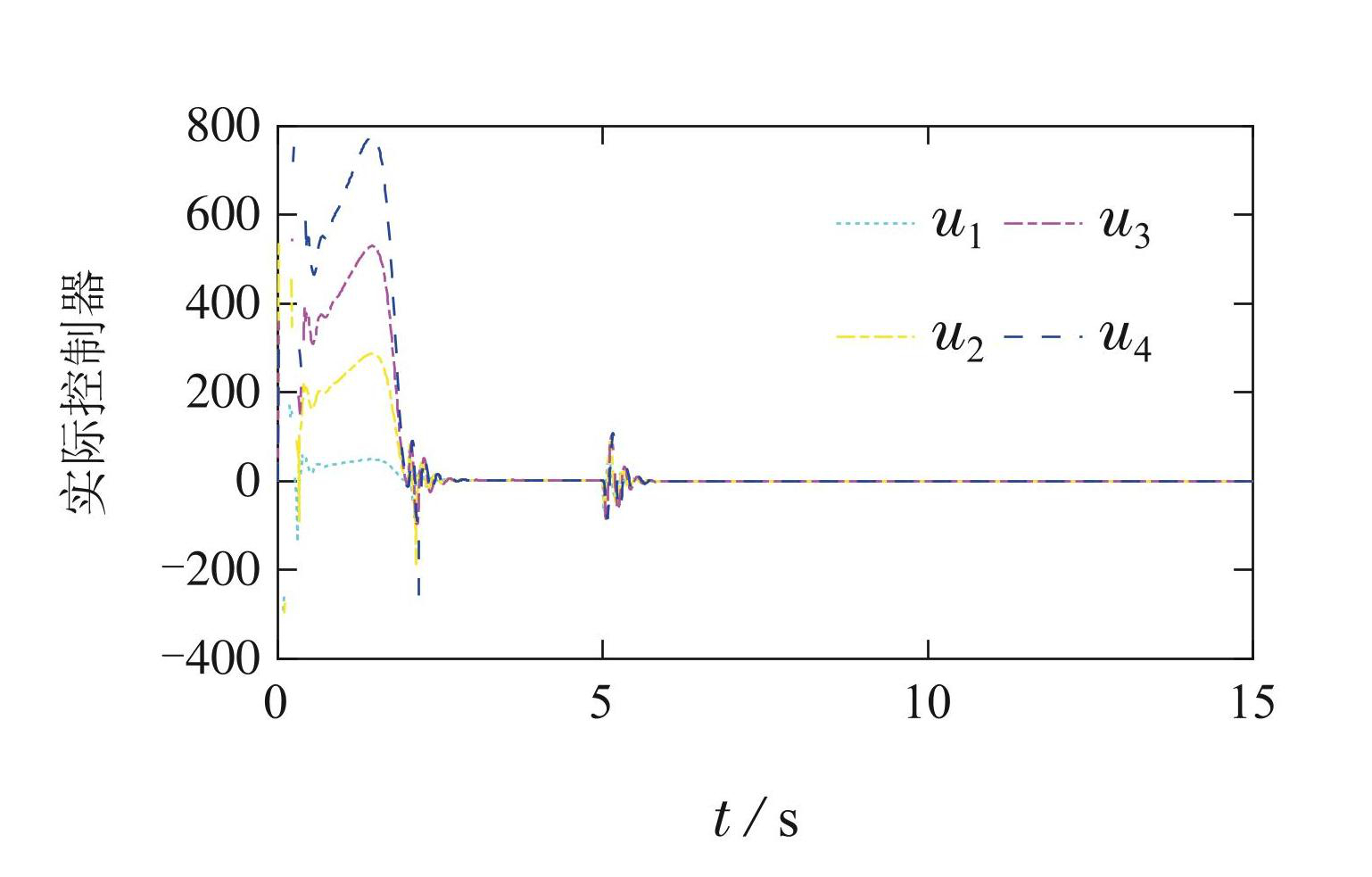
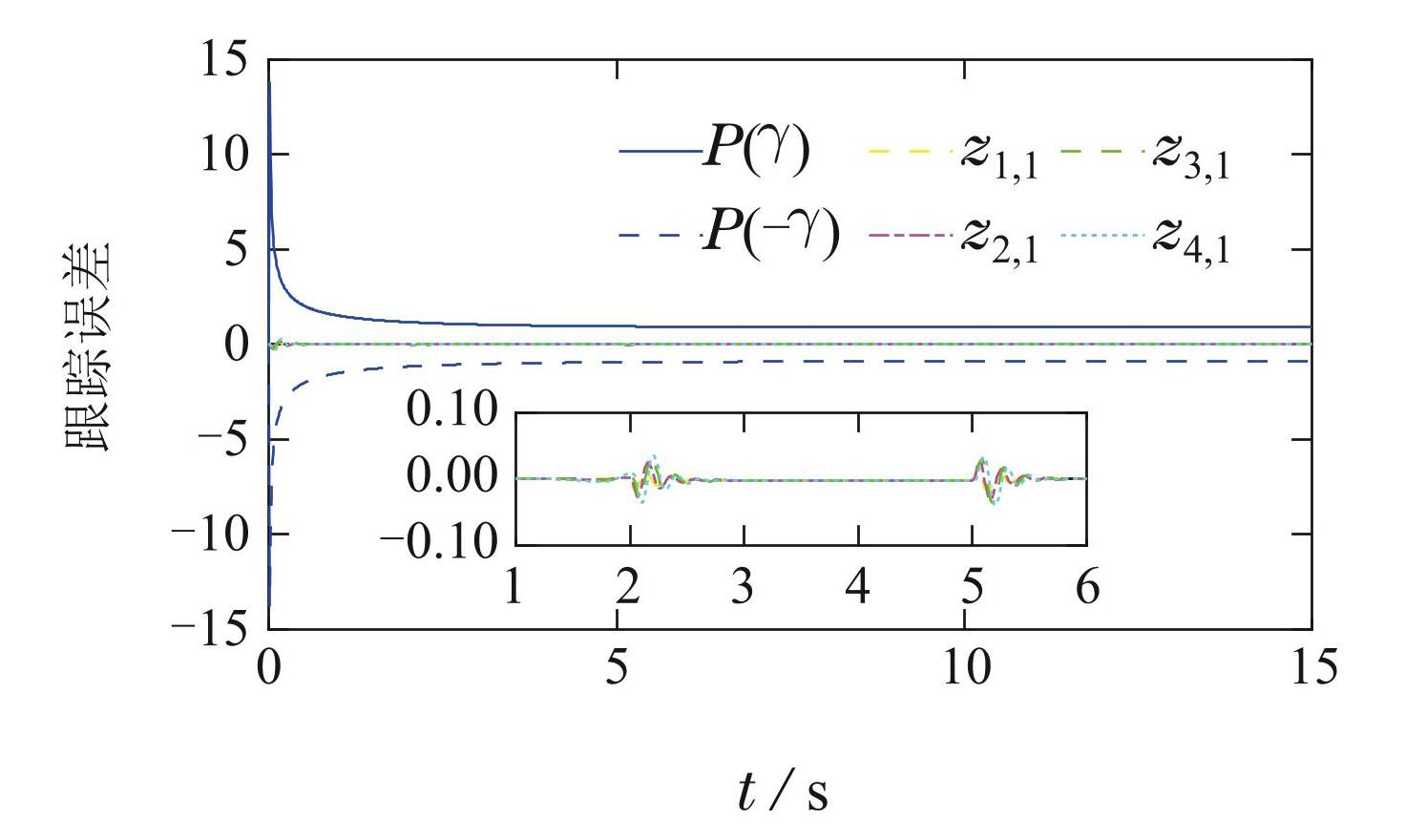
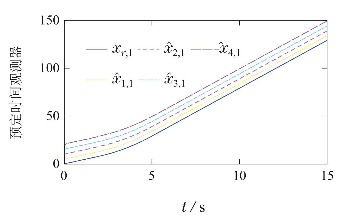
仿真结果如图1–10所示,其中图1–9为在本文提出控制方案下的实验结果,图10为不考虑预设性能策略的对比实验.4辆跟随车的位置信息xi,1(i=1,2,3,4)和1辆领航车的位置信息xr,1如图1所示,根据车辆轨迹可以看出车辆之间在空间上不存在重叠,并且所有跟随车在预设时间T = 2 s内能够跟踪上领航车的信息. 图2为预设时间观测器的观测值和参考信号 xr,1的曲线,图3为观测误差曲线,根据图2和图3可以看出该观测器能够在规定时间T = 2 s内准确估计领航车的状态信息xr,1. 图4表示4辆跟随车的控制器. 图5–7分别为跟随车的自适应率图8为与执行器故障相关的自适应率图9为本文设计的带有预定性能的车辆队列系统跟踪误差,从图中可以看出跟踪误差包含在预先规定的性能函数范围内. 图10为不考虑预定性能的车辆队列系统跟踪误差,从图中可以看出在这种情况下跟踪误差较大且5 s 后误差偏离原点较大,跟踪性能较差. 通过图9和图10对比,设计的预设性能方案能够提升系统的瞬态和暂态性能进而使得跟踪误差较小,并且即使领航车的轨迹在不同时刻发生变化也不需要重新选择预设性能函数,因此可以得出结论,本文提出的控制方案具有优越性.
图1车辆队列系统的跟踪曲线
Fig.1Tracking curves for vehicle platoon systems
图2预设时间观测器曲线
Fig.2Prescribed time observer curves
图3观测误差曲线
Fig.3Observation error curves
图4跟随车的实际控制器
Fig.4The actual controller of the follower vehicle
图5跟随车的自适应率
Fig.5The adaptive lawsof the follower vehicles
图6跟随车的自适应律
Fig.6The adaptive lawsof the follower vehicles
图7跟随车的自适应律
Fig.7The adaptive lawsof the follower vehicles
图8执行器故障的自适应律
Fig.8The adaptive lawsof actuators faults
图9带有预设性能的车辆队列系统跟踪误差
Fig.9Vehicle platoon systems tracking error with prescribed performance
图10没有规定性能的车辆排系统跟踪误差
Fig.10Vehicle platoon systems tracking error without prescribed performance
根据以上仿真结果,能够证明双预设精度下车辆队列系统的自适应容错协同控制方案是有效的,并且所有车辆在运行时保持安全间距.
5 结论
本文针对车辆队列系统的自适应容错跟踪控制问题,提出了一种分布式预设时间观测器,实现在预设时间内对领航车的状态信息的精确估计,并设计与初始条件无关的预设性能函数提升车辆队列系统的暂态和稳态性能. 此外,为提高系统的安全性,本文设计了一种自适应补偿控制方法来降低执行器故障对车辆队列系统造成的负面影响. 设计的控制方案能够在实现双预设精度自适应容错跟踪控制的前提下证明运行车辆车间距满足安全距离. 然而,本文没有解决车辆队列系统的最优跟踪控制问题. 受文献 [25] 的启发,未来将双预设精度跟踪控制方案扩展到带有合作博弈的最优跟踪控制中.