基于滑模面的柴油机气路系统容错控制
doi: 10.7641/CTA.2024.40081
武文杰1 , 张益鑫1 , 王兴坚1 , 王少萍1 , 张健4,5 , 郑伟2,3 , 陶模2,3
1. 北京航空航天大学自动化科学与电气工程学院, 北京 100191
2. 船舶热能动力全国重点实验室, 湖北 武汉 430205
3. 武汉第二船舶设计研究所, 湖北 武汉 430205
4. 先进船舶发动机技术全国重点实验室, 上海 201108
5. 上海船用柴油机研究所, 上海 201108
Fault-tolerant control for diesel engine air path system via sliding mode surface
WU Wen-jie1 , ZHANG Yi-xin1 , WANG Xing-jian1 , WANG Shao-ping1 , ZHANG Jian4,5 , ZHENG Wei2,3 , TAO Mo2,3
1. School of Automation Science and Electrical Engineering, Beihang University, Beijing 100191 , China
2. State Key Laboratory of Marine Thermal Energy and Power, Wuhan Hubei 430205 , China
3. Wuhan Second Ship Design and Research Institute, Wuhan Hubei 430205 , China
4. National Key Laboratory of Marine Engine Science and Technology, Shanghai 201108 , China
5. Shanghai Marine Diesel Engine Research Institute, Shanghai 201108 , China
Funds: Supported by the National Key R&D Program of China (2021YFB2011300), the National Natural Science Foundation of China (52275044, 5220 5299), the Zhejiang Provincial Natural Science Foundation of China (Z23E050032) and the China Postdoctoral Science Foundation (2022M710304).
摘要
柴油机气路系统的运行环境复杂, 可能受到外部随机扰动的影响, 进而导致故障. 本文针对柴油机气路系统的容错控制问题, 假设该系统可能同时受到执行器故障和外部随机扰动的影响, 设计了一种基于扰动观测器的滑模控制器. 通过采用线性矩阵不等式技术求解观测器和控制器增益, 可以获得最优增益矩阵, 消除了手动调整控制器参数的过程, 并减少了滑模面抖振现象. 最后, 通过仿真分析验证了所提方法的有效性.
Abstract
The operating environment of the diesel engine air path system is complex and may be affected by external random disturbances. Potentially leading to faults. This paper addresses the fault-tolerant control problem of the diesel engine air path system, assuming that the system may simultaneously be affected by actuator faults and external random disturbances, a disturbance observer-based sliding mode controller is designed. Through the linear matrix inequality technique for solving observer and controller gains, optimal gain matrices can be obtained, eliminating the manual adjustment process of controller parameters and reducing the chattering phenomenon of the sliding mode surface. Finally, the effectiveness of the proposed method is verified through simulation analysis.
1 Introduction
Due to its advantages such as high thermal efficiency and power-to-weight ratio, diesel engines are widely used in various fields such as ships, automobiles, and power generation. However, diesel engines also face issues of excessive NOx and carbon soot emissions [1] . To achieve the goal of energy conservation and emission reduction, optimizing the combustion process of diesel engines is a crucial step. The precise control of the intake and exhaust states of the cylinders by the air path system is a prerequisite for optimizing the combustion process. For the diesel engines air path (DEAP) system, achieving precise control of intake and exhaust states relies on the coordinated cooperation of the exhaust gasrecirculation (EGR) and variable geometry turbocharging (VGT) systems [2-4].
To achieve high-reliability operation of the DEAP system, the design of fault-tolerant control algorithms is necessary. Many scholars have researched this issue and classified it into two main categories based on the types of faults: one is actuator fault, and the other is external mismatched disturbance. In [5-8], the presence of actuator faults is addressed using different methods. By employing the super-twisting algorithm, the issue of actuator faults in the DEAP system has been addressed, and precise control under fault conditions has been achieved in [5-6] . Similarly addressing the issue of actuator faults in DEAP systems, [7] proposes a chattering-free sliding mode control method, achieving fault-tolerant control without chattering. [8] establishes the DEAP model as a T-S fuzzy model and designs a fault-tolerant method for DEAP systems based on an MPC controller to address leakage faults and sensor faults. For situation where the DEAP system is subject to external mismatched disturbances, [9] proposes an adaptive super-twisting observer method, which can observe and compensate for the disturbance. For the situation where DEAP systems experience both actuator faults and external disturbances, [10] proposes an adaptive sliding mode control method to achieve fault tolerance. However, the disadvantage is that this method only considers the situation of matched disturbance, but does not consider the situation of mismatched disturbance.
Combining the above analysis, it can be concluded that the current fault-tolerant control methods for DEAP are still not perfect. Additionally, due to the robustness of sliding mode control, it is widely used in fault-tolerant control. However, sliding mode control exhibits chattering phenomena, which may result in suboptimal system control performance and even lead to system failures. To address the chattering issue, the cited papers have referred to some well-known methods, all of which require manual adjustment of relevant parameters. However, parameter adjustment relies on the experience of engineers and usually cannot be adjusted to the optimal state in most cases.
In order to solve the DEAP fault-tolerant control problem and the sliding mode control chattering problem, a survey of relevant literature on fault-tolerant control methods was conducted [11-17] . In response to the external mismatched disturbances in the system, [14] proposed an integral sliding mode control method based on disturbance observer. This method effectively integrates the information from the disturbance observer into the controller to achieve effective compensation for the mismatched disturbance. To address the fault-tolerant control issues of unmanned marine vehicles, [15] designed an adaptive integral sliding mode controller based on T-S fuzzy systems, resolving theproblem of actuator faults in the system.
Based on the above analysis and research, this paper proposes a control method that can simultaneously address actuator faults and external mismatched disturbances in the DEAP system. The main contributions of this paper include:
1) Fault tolerant control problem of DEAP.
In response to the simultaneous impact of actuator faults and external mismatched disturbances that may occur during the operation of the DEAP system, a sliding mode fault-tolerant controller based on a disturbance observer has been designed, significantly enhancing the reliability of the DEAP system.
2) Parameter adjustment problem of sliding mode control.
In order to mitigate the chattering phenomenon of sliding mode controllers, experienced engineers often need to adjust the tunable parameters within the controller. This method optimizes the H∞ performance index, allowing the parameters of the sliding mode controller to be calculated through linear matrix inequality (LMI) , obtaining optimal values. This avoids the process of manually tuning the controller and effectively reduces the occurrence of chattering.
This paper is orgnized as follows. Section 2 introduces the mathematical model of the DEAP system. To facilitate the subsequent controller design, the model is subjected to T-S fuzzy modeling, incorporating the potential impact of actuator faults and external disturbances on the system. In section 3, a disturbance observer is designed, and based on the disturbance observer, a sliding mode surface is developed. Stability conditions for both the disturbance observer and the system are provided through LMI techniques. In Section 4, simulation results and corresponding analyses are provided based on the conclusions proposed earlier.
Notations:*=*T*denotes the Euclideannorm. In represents a n-dimensional unit vector.He{*}=*+*T∗ denotes the transpose of the corresponding block matrix.
2 Problem statement
2.1 Mathematical model of DEAP
The DEAP model is depicted in Fig.1. [2] established the DEAP system model into the following form:
p ˙ 1 = k 1 W c + W egr k e p 1 + T ˙ 1 T 1 p 1 p ˙ 2 = k 2 k e p 1 W egr W t + W f + T ˙ 2 T 2 p 2 P ˙ c = 1 τ η m P t P c
(1)
where p1 and p2 represent the intake manifold pressure and exhaust manifold pressure, respectively, Pc represents compressor power, Pt represents turbine pow-er, Wc denotes the compressor mass flow, Wegr represents EGR mass flow, Wt represents turbine mass flow, Wf represents fuelling mass flow rate, ηm represents trubocharger mechanical efficiency, T1 and T2 represent the intake manifold temperature and exhaust manifold temperature respectively.
Fig.1Diesel engine air path system
In addition, the compressor and the turbine mass flow Wc and Wt are related to the compressor and the turbine power Pc and Pt by the following relationship:
Wc=Pckcp1μ-1,Pt=kt1-p2-μWt.
(2)
To simplify the controller design in this article, we follow the approach presented in the literature [8] . The model (1) can be formulated in the following T-S fuzzy form using the sector nonlinear modeling approach,
x˙=i=14 hiAix+Biu+Bdd,
(3)
where x =p1 p2 PcT, u=Wegr WtT, dRmis the mismatched disturbance, BdR3×mis the disturbance matrix,
Ai={1, 2}=-k1ke0k1kcθ-1k2ke0000-1τ,
Ai={3, 4}=-k1ke0k1kcθ_1k2ke0000-1τ,
Bi={1, 3}=k10-k2-k20K0θ-2, Bi={2, 4}=k10-k2-k20K0θ_2,
h1=θ-1-θ1θ-2-θ2θ-1-θ_1θ-2-θ_2, h2=θ-1-θ1θ2-θ_2θ-1-θ_1θ-2-θ_2,
h3=θ1-θ_1θ-2-θ2θ-1-θ_1θ-2-θ_2, h4=θ1-θ_1θ2-θ_2θ-1-θ_1θ-2-θ_2,
d=T˙1T1p1T˙2T2p2+WfT,
θ1 and θ2 are the premise variables, θ1=1p1μ-1 and θ2=1-p2-μ, θ-iand θ_i are the upper and lower bounds of θi .
2.2 DEAP model with faults
EGR and VGT, as two actuators in DEAP systems, may encounter various types of faults, such as:
• Sticking of the EGR or VGT valves.
• Blockage due to prolonged lack of cleaning in the pipelines.
• Leakage in the pipelines.
In order to deal with these faults, fault modeling is necessary. In general, the fault model of DEAP can be established in the following form:
x˙=i=14 hiAix+BiEu+Fu+Bdd,
(4)
where E = diag {e1, e2} represents the effectiveness fault, 0 ≤ ei ≤ 1, i = {1, 2}, Fu represents the bias fault.
Lemma1 [18] For any scalar α >0, vectors x and y, the following inequality holds:
xTy+yTxαxTx+α-1yTy.
(5)
3 Main results
In this section, some modifications are made to the form of the disturbance observer, and based on this, an integral sliding mode controller is designed. The design principle of the control method is illustrated in Fig.2.
Fig.2Control system scheme
3.1 Disturbance observer
To address the presence of disturbances and bias faults in system (4) , a disturbance observer is designed for compensation. To simplify the design of the disturbance observer, system (4) is reformulated into the following form:
x˙=i=14 hiAix+BiEu+D,
(6)
whereD=i=14 hiBiFu+Bdd For the fault-tolerant control system (6) , the following disturbance observer is designed:
v˙=i=14 hihjLjD^+AixD^=v-i=14 hiLix
(7)
where Lj , j = {1, · · ·, 4} is the observer gain matrix which need to be designed. Define eD = DD^, then consider the systems (6) – (7) , disturbance observer error system can be get,
e˙D=D˙-D^˙=D˙-i=14 j=14 hihjLjD^+Aix-Aix+BiEu+D=i=14 j=14 hihjLjeD+BiEu+D˙.
(8)
To eliminate the error between D and D^, the observer gain matrix Lj and the control input u will be designed in the next section.
Remark 1 Conventional disturbance observer are usually designed in the following form:
v ˙ = i = 1 4 h i h j L j D ^ + A i x + B i u , D ^ = v i = 1 4 h i L i x .
(9)
For the case that there is no effectiveness fault, that is e1 = 1 and e2 = 1, then
e˙D=i=14 hiLieD+D˙
will be get. However, the presence of effectiveness faults can lead to more uncertainties in disturbance observer error system that cannot be eliminated. To be able to eliminate these uncertainties as much as possible, the disturbance observer is designed as Eq. (7) .
Remark 2 In order to carry out a strict mathematical proof, it is necessary to assume that D and D˙ are bounded. This is reasonable in the stability proof, and compared to the common restrictionlimt D˙ = 0 [19], the constraints in this paper are relaxed to a certain extent.
3.2 Disturbance observer based sliding mode surface
To implement FTC and simultaneously mitigate the impact of external disturbances and actuator faults in system (6) , inspired by [14], the sliding mode surface is formulated as
s=-i=14 hiz0BiTx0+i=14 hiBiT{x-
0t i=14 j=14 hihjAix+BiKjx+KdD^+
D^+i=14 h˙iBiTds,
(10)
where z0 = z (0) , x0 = x (0) , Kj R 2×3 are the control gain matrices, and KdR 2×3 is the disturbance injection matrix. Bring the system (6) into the sliding surface (10) , one has
s˙=i=14 hiBiTi=14 i=j4 hihjBiEu-BiKjx-BiKdD^+D~
(11)
where D~ = D D^. By setting s = 0 and s˙ = 0, the equivalent control law can be obtained:
ueq=E-1Khx+KdD^-BD~
(12)
whereB=BhTBh-1BhT, Δh=i=14 hiΔiT.Based on Eq. (12) , the closed-loop dynamic of system (6) on the sliding mode surface is
x˙=Ah+BhKhx+BhKdD^-BhBD~+D.
(13)
By letting Kd = −B∼, one has
x˙=Ah+BhKhx-BhB(D^+D~)+D=Ah+BhKhx+BdD,
(14)
where Bd=BhB, BhR3×1 is the null space of BhT that is, BhTBh=0, B=BhTBh-1BhT.
e˙D=LheD+BhKhx+KdD^-BD~+D˙=LheD+LhBhKhx-LhBhBD+D˙.
(15)
Combing the closed-loop system (14) and closedloop error system 15, the extend system x-eD can be get,
x-˙=A-x-+B-DD-,
(16)
where
x-=xeD, A-=Ah+BhKh0LhBhKhLh, B-D=Bd0-LhBhBI, D-=DD˙.
Theorem 1 When the following LMIs are sat-isfied for all i, j, k, m = 1, · · ·, 4, the system (16) is asymptotically stable, and the H∞ indexzγD- is satisfied
HeAiX+BiMjMjTBiT*HeNi-1******BiBjTBk-1BmT0XC1BiBjTBk-1BmTLi-1Ni-1C2-γ2I00*-γ2I0**-I<0,
(17)
YLi+LiTY<0,
(18)
whereX=XT>0R3×3, Y=YT>0R3×3, MiR2×3, LiR3×3.
Proof Define P = diag {X−1, Y } >0, and a Lyapunov function V =x-TPx- is given, then the derivative of V can be obtained as
V˙=x-TA-TP+PA-x-+D-TB-DTPx-+x-TPB-DD-.
(19)
Then, define a robust related H index J as follows:
J=0T zTz-γ2D-TD-+V˙-VT=
0T x-TC-TC-x--γ2D-TD-+x-TA-TP+PA-x-+
D-TB-DTPx-+x-TPB-DD--VT,
(20)
where VT is the value of Lyapunov function at time T. Based on Schur’s theorem, it can be concluded that if the following conditions are met, H performance index0T z2<γ20T D-2will be satisfied,
HeX-1Ah+BhKhKhTBhTNhT*HeNh******X-1Bd0C1-NhBhBYC2-γ2I00*-γ2I0**-I<0,
(21)
where Nh = Y Lh. Pre and post-multiply (21) by diag{X; Nh-1; I; I} and its transpose, respectively, the equivalent condition can be get,
HeAhX+BhMhMhTBhT*HeNh-1******Bd0XC1-BhBLh-1Nh-1C2-γ2I00-γ2I0*-I<0,
(22)
where Mh = K hX. By defuzzifying Eq. (22) , the condition (17) can be get. This completes the proof.
3.3 Sliding mode controller design
To address the actuator faults in system (6) and achieve convergence to the sliding mode surface, this section introduces a sliding mode controller. The controller is formulated as
u=i=14 hiKsis+Kxix
(23)
where KsiR2×2 and KxiR2×3 are the gain matrices which will be designed. Since Kd = −B∼, the sliding mode dynamic system (11) can be written as
s˙=BhTBhEu-BhTBhKhx+BhTD.
(24)
Then combing the system (6) , sliding mode dynamic system (24) and the controller (23) , a novel s-x system is given,
s ˘ ˙ = A ˘ s ˘ + B ˘ E K ˘ s ˘ + B ˘ d D ˘ z s = C s D ˘
(25)
where
s˘=sx, A˘=0-BhTBhKh0Ah, B˘=BhTBhBh,
K˘=Ksh Kxh, B˘d=BhT00I, D˘=DD,
Cs is an adjustable matrix of appropriate dimensions.
To deal with the uncertain term E in system (25) , the matrix scaling method is introduced as
E=E-+Υ,|Υ|E_,
(26)
where E-=Emax+Emin/2, E_=Emax-Emin2 and
Emax=e1max00e2max, Emin=e1min00e2min.
Theorem 2 When the following LMIs are satisfied for all i, j, k = 1, · · ·, 4, the system (25) is asymptotically stable, and the H indexzsγD˘is satisfied,
HeΦijkBiTBiTBjE_MskTP1-1C1*IBjE_MxkTP2-1C2*-γs2I000**-α-100***-α0****-I<0,
(27)
where
Φijk=BiTBjE-MskBiTBjE-Mxk-BiTBjKkP2-1BjE-MskBjE-Mxk+AjP2-1,
Msk=Ksk*P1-1 and Mxk=Kxk*P2-1, P1= P1T>0R3×3, P2=P2T>0R3×3, MsiR2×2, MxiR2×3.
Proof Define Ps = diag{P1, P2}, and construct the Lyapunov function as Vs = s˘TPss˘, then the derivative of Vs can be obtained,
V˙s=s˘THePs(A˘+B˘EK˘)s˘+s˘TPsB˘dD˘+D˘TB˘dTPss˘,
(28)
then based on Eq. (26) and Lemma1, one has
V˙s=s˘THePs(A˘+B˘E-K˘)+PsB˘ΥK˘s˘+s˘TPsB˘dD˘+D˘TB˘dTPss˘s˘THePs(A˘+B˘E-K˘)s˘+αPsB˘ΥΥTB˘TPsT+α-1K˘TK˘+s˘TPsB˘dD˘+D˘TB˘dTPss˘s˘THePs(A˘+B˘E-K˘)s˘+αPsB˘E2B˘TPsT+α-1K˘TK˘+s˘TPsB˘dD˘+D˘TB˘dTPss˘.
(29)
Then the H performance index Js is given as
Js=0T zsTzs-γs2D˘TD˘+V˙s-VsT
(30)
Combing Eq. (29) and Schur complement, one can see that0T zs2<γ20T D˘2 will hold if the flowing condition is satisfied:
HeΦ1PsB˘dPsB˘E_K˘TCs*-γs2I000**-α-100***-α0****-I<0,
(31)
where
Φ1 =P1BhTBhE-KshP1BhTBhE-Kxh-BhTBhKhP2BhE-KshP2BhE-Kxh+Ah,
then pre and post-multiply Eq. (31) by diag{P1-1; P2-1; I; I; I; I } and its transpose, respectively, and defuzzifying it, the condition (27) can be get. This completes the proof.
Based on the sliding mode controller (23) and the design of a suitable feedback matrices by Theorem 2, the system can reach the sliding mode surface (10) .
Remark 3 Since this paper proposes that the control gain matrix of the sliding mode controller is computed through LMI rather than empirical adjustment, it effectively avoids the parameter tuning process. Moreover, through computation, the optimal control matrix can be obtained, which is usually impossible to obtain through empirical adjustment.
Remark 4 It is worth noting that [20] proposed a method similar to the one in this paper. However, the control method in [20] still requires manual tuning of the controller parameters, and the controller structure is relatively complex, with weaker robustness.
4 Simulation and analysis
In this section, based on the theoretical method proposed above, simulation and analysis are carried out in MATLAB R2023b. System parameters refer to [21], and the values are k1 = 143.91, k2 = 1 715.5, kt = 391.365, ke = 0.028, kc = 0.002 5, ηm = 0.95, τ = 0.15, µ = 0.285.
In this example, it is assumed that the DEAP system causes actuator failure due to pipe blockage or leakage, and the fault coefficient is described as follows:
In addition, the system is also affected by some faults that cannot be described by E and some external disturbances. Assume that these unknown adverse effects are uniformly described by D as
D=0.1sin (0.15t) 0.2cos (0.25t) 0.3cos (0.25t)
In order to highlight the superiority of the method proposed in this paper, a comparison is made with the method in [10] . The process and results of solving the controller parameters for the method in this paper are provided in the appendix. The controller parameters for the method in [10] are directly taken from the original paper. It is assumed that the DEAP system is affected by the above interference. According to the working conditions of the diesel engine, two target working conditions are selected as shown in Table1.
Table1Reference values for DEAP
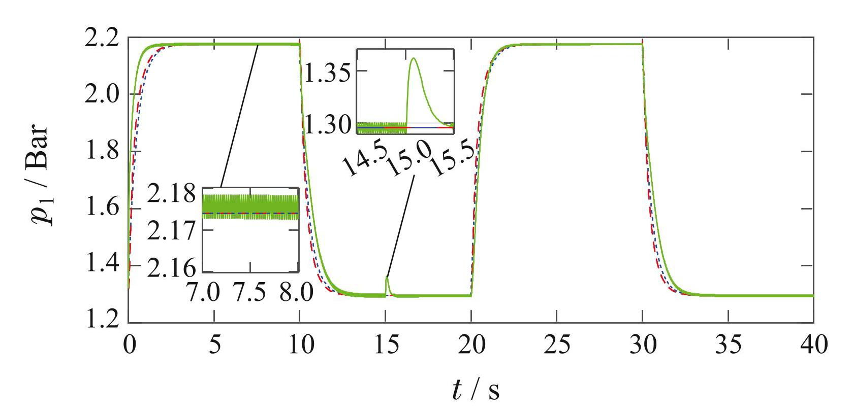
The response curves of system states p1, p2 and Pc are shown in Figs.3–5. It can be seen from the figure that compared with [10], the method proposed in this paper responds more quickly, and when the system state is in a stable state, the response curve of [10] has obvious chattering phenomenon, while this method has no obvious chattering. Additionally, when the15 s system starts to be affected by faults, the response curve of the method in [10] jumps significantly, while the curve results of the method in this paper are almost not affected by the fault. Since the controller parameters in [10] are manually tuned, it is difficult to achieve the optimal parameters, leading to a significant overshoot in the control response curve. Additionally, because the method proposed in this paper combines robust control with sliding mode control, it effectively suppresses the chattering phenomenon of the sliding surface.
Fig.3Response curves of p1
Fig.4Responses curve of p2
Fig.5Response curves of Pc
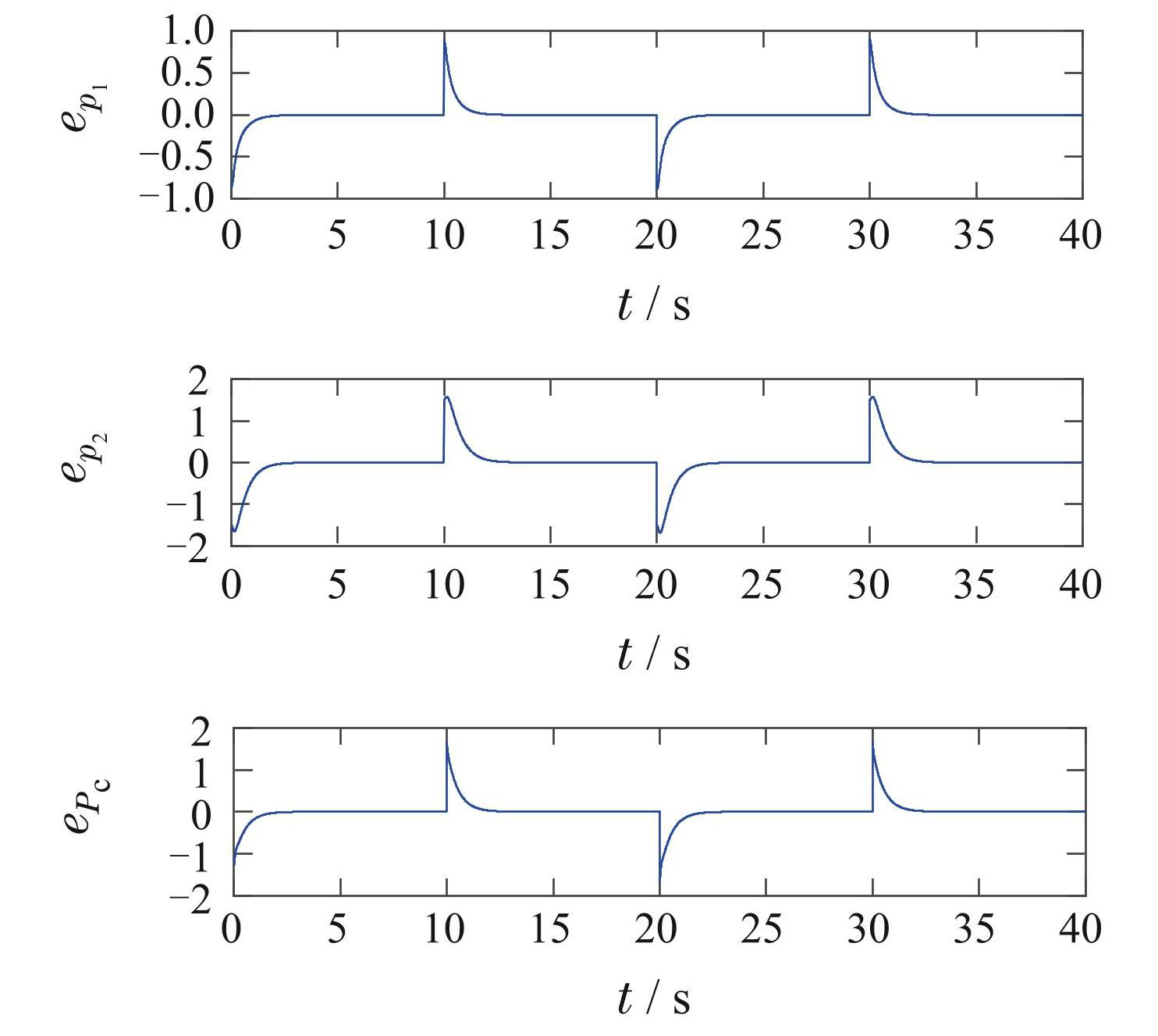
The error response curves of system states p1, p2 and Pc are shown in Fig.6. It can be seen that when the system state is switched, the tracking error will deviate and re-stabilize in a short time.
Fig.6Response curve of error
The response curve of the sliding mode surface is shown in Fig.7. It can be seen that the sliding mode surface can quickly converge to 0 and there is almost no chattering phenomenon.
Fig.7Response curve of sliding mode surface
5 Conclusions
In addressing the fault-tolerant control problem of the DEAP system, this paper proposes a sliding mode control method based on a disturbance observer. This method can simultaneously handle actuator faults and external mismatched disturbances that may occur during the operation of the DEAP system. By optimizing the H performance index, gain matrices for both the disturbance observer and the sliding mode controller can be obtained. Additionally, the optimal gain matrix for the system controller can be determined, eliminating the need for manual adjustment of controller parameters and effectively reducing the chattering phenomenon of the sliding mode surface. Through simulation verification and analysis, the effectiveness of the proposed method in this paper has been demonstrated. In future research, the proposed control method will be validated by constructing an experimental platform, with the goal of applying the proposed method to enhance the reliability of DEAP systems.
Appendix
First, based on Theorem 1, the observer gain matrix Li and sliding mode control gain matrix Ki can be obtained, and the calculation is
L1=-376.537-376.0110-376.008-376.53300.00680.0069-0.525,
L2=-332.412-331.8870.0001-331.886-332.4110.00010.0150.015-0.525,
L3=-379.416-378.890-378.891-379.41600.00160.0017-0.525,
L4=-338.987-338.4620.0001-338.461-338.9860.00010.01690.0169-0.525,
K1=K3=616.621 116.636 333.509-558.793 -105.699 -302.233,
K1=K3=616.621 116.636 333.509-558.793 -105.699 -302.233,
K2=K4=617.44 116.79 333.953-561.421 -106.196 -303.656,
and the performance index γ = 1.79. Based on the design method in this paper, it is necessary to solve the sliding mode controller based on Theorem 2 to obtain the system gain matrices Ksi and Kxi . Solving for Eq. (27) , the following results can be obtained:
Ks1=Ks3=-9.766 -2.3741.447 -5.125,
Ks2=Ks4=-9.783 -2.3611.459 -5.136,
Kx1=Kx3=1721.987325.775931.177-612.788-115.903-331.46,
Kx2=Kx4=1717.426 324.912 928.709-612.374 -115.825 -331.236,
and the performance index γs = 1.57.
FAYAZ H, MUJTABA M A, SOUDAGAR M E M,et al. Collective effect of ternary nano fuel blends on the diesel engine performance and emissions characteristics. Fuel,2021,293:120420.
MRDJAN J, MIROSLAVA J, KOLMANOVSKY. Constructive lyapunov control design for turbocharged diesel engines. IEEE Transactions on Control Systems Technology,2000,8(2):288-299.
ZHANG J, WU W J, XIE W B,et al. Dimensional-varying integral sliding mode controller design for uncertain Takagi-Sugeno fuzzy systems. Information Sciences,2021,565:77-90.
LARGUECH S, ALOUI S, PAG‘ES O,et al. Robust adaptive controller for the diesel engine air path with input saturation. International Journal of Control, Automation and Systems,2019,17:2541-2549.
AHMED ALI S, GUERMOUCHE M, LANGLOIS N. Fault-tolerant control based Super-Twisting algorithm for the diesel engine airpath subject to loss-of-effectiveness and additive actuator faults. Applied Mathematical Modelling,2015,39(15):4309-4329.
LI W, ZHANG J, LIU L,et al. Finite-time fault-tolerant control for diesel engine air path via extended state observer. IEEE Access,2019,7:65405-65414.
ZHANG J, LIU L, LI X,et al. Chattering-free sliding mode control for diesel engine air path system with actuator faults. IFAC-Papers OnLine,2018,51(31):429-434.
HAMOUDA L B, AYADI M, LANGLOIS N. Fuzzy fault tolerant predictive control for a diesel engine air path. International Journal of Control Automation and Systems,2016,14(2):443-451.
MOHAMED G, SOFIANE A A, NICOLAS L. Adaptive super twisting extended state observer based sliding mode control for diesel engine air path subject to matched and unmatched disturbance. Mathematics and Computers in Simulation,2018,151:111-130.
ZHANG J, ZHAO H, FENG Z,et al. Fault-tolerant control for turbocharged diesel engine air path via disturbance observer. International Journal of Systems Science,2021,52(7):1329-1345.
ZHANG Y, WANG X, WANG S,et al. Do-lpv-based robust 3d path following control of underactuated autonomous underwater vehicle with multiple uncertainties. ISA Transactions,2020,101:189-203.
ZHANG Y W, WANG S P, HEINRICH M K,et al.3D hybrid formation control of an underwater robot swarm: Switching topologies,unmeasurable velocities,and system constraints. ISA Transactions,2023,136:345-360.
ZHANG Y, WANG S, WANG X,et al. Bearing-based formation control for multiple underactuated autonomous surface vehicles with flexible size scaling. Ocean Engineering,2023,267:113242.
ZHANG J H, LIU X W, XIA Y Q,et al. Disturbance observer-based integral sliding-mode control for systems with mismatched disturbances. IEEE Transactions on Industrial Electronics,2016,63(11):7040-7048.
WANG Y, JIANG B, WU Z G,et al. Adaptive sliding mode faulttolerant fuzzy tracking control with application to unmanned marine vehicles. IEEE Transactions on Systems, Man,and Cybernetics: Systems,2021,51(11):6691-6700.
LI M, CHEN X, LIU M,et al. Asynchronous adaptive fault-tolerant sliding-mode control for T-S fuzzy singular markovian jump systems with uncertain transition rates. IEEE Transactions on Cybernetics,2022,52(1):544-555.
LI D, CHEN M, PENG K,et al. Fixed-time fault-tolerant control of manipulator systems based on sliding mode observer. International Journal of Robust and Nonlinear Control,2024,34(1):440-455.
XIE L, DE SOUZA CARLOS E. Robust H∞ control for linear systems with norm-bounded time-varying uncertainty. IEEE Transactions on Automatic Control,1992,37(8):1188-1191.
LI S, YANG J, CHEN W H,et al. Generalized extended state observer based control for systems with mismatched uncertainties. IEEE Transactions on Industrial Electronics,2012,59(12):4792-4802.
WU W, WANG S, ZHANG Y,et al. Adaptive integral sliding mode fault-tolerant control for diesel engine airpath system via disturbance observer. International Journal of Robust and Nonlinear Control,2024,34(7):4688-4705.
LARSEN M, JANKOVIC M, KOKOTOVIC P V. Indirect passivation design for a diesel engine model. Proceedings of the 2000 IEEE International Conference on Control Applications. Anchorage, AK, USA: IEEE,2000:309-314.