含参数不确定性的非线性分数阶系统输出反馈控制
doi: 10.7641/CTA.2024.40174
刘乐菲1 , 葛富东2,3 , 陈阳泉4
1. 中国地质大学(武汉) 计算机学院, 湖北 武汉 430074
2. 天津大学电气自动化与信息工程学院, 天津 300072
3. 天津大学天津市智能无人集群技术与系统重点实验室, 天津 300072
4. 美国加州大学默塞德分校机械工程系(MESA实验室), 美国 加利福尼亚州 95343
Output feedback control for nonlinear fractional-order systems with parametric uncertainties
LIU Le-fei1 , GE Fu-dong2,3 , CHEN Yang-quan4
1. School of Computer Science, China University of Geosciences, Wuhan Hubei 430074 , China
2. School of Electrical and Information Engineering, Tianjin University, Tianjin 300072 , China
3. Tianjin Key Laboratory of Intelligent Unmanned Swarm Technology and System, Tianjin University, Tianjin 300072 , China
4. Department of Mechanical Engineering (MESA-Lab), University of California, Merced CA 95343, USA
Funds: Supported by the Natural Science Foundation of Hubei Province (2022CFB268).
摘要
研究了具有参数不确定性的非线性分数阶系统的输出反馈控制问题. 为此, 首先提出一种新颖的分数阶比例积分(PI)观测器对未知状态进行估计, 利用拉普拉斯变换和Gronwall-Bellman不等式得到观测器误差系统渐近稳定的充分条件; 随后, 基于分数阶Lyapunov稳定性定理研究系统的输出反馈控制问题, 并分析相应闭环系统的渐近稳定性; 最后给出了具体的数值仿真算例, 从而说明本文所得理论结果的有效性和适用性.
Abstract
This paper is concerned with the output feedback control problems of nonlinear fractional-order systems involving parametric uncertainties. Toward this aim, we first propose a novel fractional-order proportional integral (PI) observer to estimate the unknown state of the considered system. Sufficient conditions for asymptotical stability of the resulting observer error systems are then obtained by using the Laplace transformation and the Gronwall-Bellman inequality. Subsequently, output feedback control problem of the studied system is considered and asymptotic stability of corresponding closed-loop system is derived based on the fractional Lyapunov stability theorem. At last, to illustrate the effectiveness and practical applicability of our obtained theoretical results, we provide a detailed numerical example.
1 Introduction
Fractional-order systems are capable of modeling many processes in science and engineering with greater accuracy than integer-order systems [1-4]. The reason is that the fractional-order derivative in fractionalorder systems is defined as a kind of convolution hence representing well the dynamics inheriting memory and hereditary properties where integer-order derivative approaches appear to fail [5]. These applications encompass physics [6], biology [7-8], electrochemical processes [9] and engineering [10-12]. Over the last two decades, numerous advanced control approaches have been utilized to control or synchronize fractionalorder systems, which include feedback control [13-14], adaptive control [15], sliding mode control [16] and event-triggered control [17], etc. Among them, feedback control is one of the central problems in control theory and applications. Since almost all practicalcontrol systems are affected by uncertainties and are also essentially nonlinear, there has been an increasing interest in feedback control of uncertain nonlinear fractional-order systems. For example, in reference [18], a robust fractional-order dynamic output feedback sliding mode control technique was introduced for uncertain fractional-order nonlinear systems. To handle unknown nonlinear functions and unmeasured states, neural networks and K-filters were incorporated into the design of output feedback controllers [19]. Additionally, a low-complexity adaptive fuzzy output feedback control scheme was proposed based on the backstepping method, effectively addressing the problem of complexity explosion without the need for extra command filters or auxiliary dynamic surface control techniques [20]. Most of these approaches utilized fuzzy logic systems or radial basis function neural networks as universal approximators, though the application of these methods typically yields only semiglobal results. However, available literature lack sufficient works addressing this problem in uncertain fractional-order systems, a gap that motivates our current study.
It is worth noting that in some practical applications, the system state can’t be measured directly. Under the limitation of unmeasurable state, feedback control can’t be carried out smoothly. For dealing with this, a common way is to propose an observer to estimate the system states. The approach involves state estimation through a fractional sliding mode observer, as discussed in reference [21], which addressed a class of uncertain nonlinear fractional-order systems. However, there are some limitations for the application of this approach, it is that the approach is based on replicating the system resulting in redundant estimation of variables that are already known. To overcome these challenges, recent research has introduced innovative approaches. A nonredundant observer is proposed for nonlinear fractionalorder systems under parametric uncertainties, offering a new reduced-order perspective [22]. The key feature of the observer proposed in reference [22] is that it can be model free and only focuses on estimating the unmeasurable state of studied system. This is appealing in applications. For example, in infectious disease modeling, only estimating the number of susceptible population via affected population is surely cost saving.
Motivated by these above considerations, the purpose of this paper is to investigate the output feedback control problems of nonlinear fractional-order systems with parametric uncertainties. To begin with, we design a fractional proportional integral (PI) observer in the framework of the unmeasurable premise variables. A reasonable output feedback control scheme is then developed to stabilize the considered uncertain nonlinear fractional-order systems. This approach offers three distinct advantages.
1) A new fractional PI observer for the uncertain nonlinear fractional-order systems with parametric uncertainties is designed by using the fractional algebraic observability condition (FAOC) .
2) This observer is model-free and is also of reduced order, necessitating the design of a separate observer for each variable to be estimated, making it non-redundant.
3) We present a new contribution on the PI observer-based output feedback control of nonlinear fractional-order systems with parametric uncertainties using a generalization of Gronwall-Bellman lemma and the fractional Lyapunov method.
The rest of this paper is organized as follows. In Section 2, we formulate our problems and give some preliminary results to be used thereafter. In Section 3, we address the stability of corresponding observer error system. The design procedure for the stabilizer is then discussed in Section 4. Section 5 considers a numerical example.
2 Preliminaries and problem formulation
Definition 1 [5] Let α >0 be a real number and denote L1 [0, T] the space of summable function on [0, T]. The operator 0Itα defined on L1 [0, T] by
0Itαϕ(t)=1Γ(α)0t (t-s)α-1ϕ(s)ds
(1)
is called Riemann-Liouville fractional integral operator of order α if its right side is pointwise defined. HereΓ (α) =0 e-xxα-1dxdenotes the Gamma function.
Definition 2 [5] Let α ∈ (0, 1]. Then the Caputo fractional derivative of order α of a function ϕC[0, T] is defined by
0CDtαϕ(t)=1Γ(1-α)0t ϕ'(τ)(t-τ)αdτ,0<α<1,ddtϕ(t),α=1.
(2)
Lemma 1 [23] LetxRnbe a vector of differential function, then for any t >0, the following inequality
0CDtαxTPx2xTP0CDtαx,α(0,1],t0
(3)
holds, wherePRn×nis a constant, symmetric and positive definite matrix and x T denotes the transpose of x.
Lemma 2 [24] IfA^Cn×n, 0<α<2, βis an arbitrary real number, µ satisfies πα/2 <µ <min{π, πα}, some constant C >0 can be found such that
Eα,β(A^)C1+A^,μargλi(A^)π,
(4)
whereλi (A^) denotes the eigenvalues ofA^, i=1, , nanddenotes the l2-norm.
Lemma 3 [25] (Gronwall-Bellman lemma) Let φ, h be two bounded nonnegative measurable functions and g be a nonnegative integrable function on [t0, t1]. If the following inequality
φ (t) h (t) +t0t g (τ) φ (τ) dτ, t0tt1
holds, then
φ(t)h(t)+t0t h(τ)g(τ)expτt g(s)dsdτ
(5)
is satisfied for all t0t t1. Moreover, if in addition, h (t) is nondecreasing, we have
φ(t)h(t)expt0t g(s)dsdτ,t0tt1.
(6)
Lemma 4 [26] Let x, y be two real vectors of the same dimension. Then, for any scalar ψ >0, the following inequality holds true:
2xTyψxTx+ψ-1yTy.
(7)
Throughout this paper, let us consider the following nonlinear fractional-order system:
0 C D t α X ~ ( t ) = A X ~ ( t ) + F ( X ~ ( t ) ) + B u ( t ) X ~ ( 0 ) = X ~ 0 y = h ( X ~ )
(8)
whereX~ (t) Rnis the state vector, 0CDtα, α (0, 1]denotes the Caputo fractional derivative, ARn×nis a constant matrix andF (X~ (t) ) denotes the nonlinear function. Besides, u (t) Rmrepresents the control input, BRn×mis the constant matrix, X~0is the initial condition, y (t) Rris the system output and h (·) is a continuous function.
Notice that in a physical system, it is not always possible to measure all values of system state and the unknown states can be represented by a new auxiliary variable. For system (8) , suppose that the new variable is ζ. In what follows, we focus on considering the nonlinear fractional-order systems of the following form:
0 C D t α X ( t ) = A 1 X ( t ) + A 2 ζ ( t ) + F ( X ( t ) , ζ ( t ) ) + B 1 u 1 ( t ) 0 C D t α ζ ( t ) = Δ ( X ( t ) , ζ ( t ) ) + B 2 u 2 ( t ) y = h ( X )
(9)
whereζ (t) =ζ1 (t) ζ2 (t) ζnk (t) TRnkdenotes unknown state, X (t) =x1 (t) x2 (t) xn-nk (t) TRn-nkis the known state, F (X (t) , ζ (t) ) =f1 (X (t) , ζ (t) ) f2 (X (t) , ζ (t) ) fn-nk (X (t) , ζ (t) ) Tis the known function, u1 (t) Rm1, u2 (t) Rnkare control inputs andB1Rn-nk×m1, B2Rnk×nkare two constant matrices. Hereu2Rnkis necessarily required for our afterwards design. Besides, A1Rn-nk×n-nk, A2Rn-nk×nkare two known matrices andΔ (X (t) , ζ (t) ) =Δ1 (X, ζ) Δ2 (X, ζ) Δnk (X, ζ) TRnkis the uncertainty that will be specified later.
This paper aims to address the observer-based output feedback control problems for uncertain nonlinear fractional-order system (9) . The detailed design process is illustrated in Fig.1. For this purpose, the following assumptions on the nonlinear function F (X (t) , ζ (t) ) and ∆ (X (t) , ζ (t) ) are needed.
Fig.1Block diagram for output feedback control of system (9)
Assumption 1 F (X (t) , ζ (t) ) , ∆ (X (t) , ζ (t) ) are Lipschitz continuous in ζ (t) , i.e.,
FX,ζ1-FX,ζ2<c1ζ1-ζ2,
(10)
ΔX,ζ1-ΔX,ζ2<c2ζ1-ζ2
(11)
and F (X (t) , 0) = 0, ∆ (X (t) , 0) = c3, where c3Cnk×1 is a constant vector and c1, c2 >0 are two constants.
Before presenting our main results, the following definition on unknown function ∆ (X (t) , ζ (t) ) to guarantee the existence and uniqueness of solution is needed.
Definition 3 [27] If a state variable ζi is a function of derivatives of the available output y, i.e.,
ζi=φiy, 0CDtα*y, , 0CDtnα*y, 0nα*1,
where φi is a continuous function, then ζi satisfies the FAOC.
Based on the FAOC, if an unknown state variable can be written with respect to the output y and its fractional derivatives, an auxiliary variable can then, be proposed to represent it so as to remove the dependence of these unmeasurable signals.
3 PI observer for state estimation
Based on above FAOC, to estimate these unknown states, in this section, we consider the following PI observer:
0 C D t α ζ ^ ( t ) = l 1 ( ζ ( t ) ζ ^ ( t ) ) + Δ ( X , ζ ^ ) + κ ( t ) + B 2 u 2 ( t ) 0 C D t α κ ( t ) = l 2 ( ζ ( t ) ζ ^ ( t ) ) l 1 = diag l 11 , l 12 , , l 1 n k l 2 = diag l 21 , l 22 , , l 2 n k
(12)
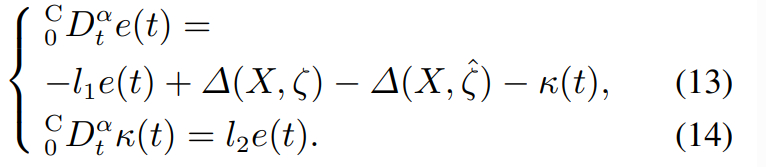
whereζ^ (t) =ζ^1 (t) ζ^2 (t) ζ^nk (t) TRnkis the estimation of ζ (t) , κ (t) is the fractional integral part of ζ^ (t) and l1i, l2i are two positive constants. Moreover, let e (t) =ζ (t) -ζ^ (t) be the error signal. By Eqs. (9) (12) , the observer error system is given by
To clearly present our main results, we rewrite Eqs. (13) – (14) as the following vector formulation:
0CDtαχ(t)=A^χ(t)+Δ-
(15)
by setting
χ=e (t) κ (t) , A^=-l1-1l20Δ-=Δ (X, ζ) -Δ (X, ζ^) 0.
Now we are ready to establish the following theorems.
Theorem 1 If state variable ζi satisfies the FAOC,
|arg(spec(A^))|>απ/2,αA^>c2θ
(16)
and Assumption 1 is fulfilled, then fractional-order system (12) is a fractional PI observer for the unknown dynamics (9) , and the corresponding observer error system (15) is asymptotic stability.
Proof Using the Laplace transformation and Laplace inverse transformation, we get the following solution of Eq. (15)
χ(t)=Eα,1A^tαχ(0)+0t (t-τ)α-1Eα,αA^(t-τ)αΔ-dτ
(17)
By the Assumption 1, one has
Δ-=Δ (X, ζ) -Δ (X, ζ^) c2e (t) c2χ (t) .
Using the norm operator on both sides of Eq. (17) , it then, follows from Lemma2 that there exist constants θ >0 such that
χ (t) θχ01+A^tα+0t c2θ0 (t-τ) α-1χ (τ) 1+A^ (t-τ) αdτ
According to Lemma 3, we obtain the following result by applying the Gronwall-Bellman inequality
χ (t)
θχ01+A^tα+0t θχ01+A^ταc2θ0 (t-τ) α-11+A^ (t-τ) α×
expτt c2θ0 (t-s) α-11+A^ (t-s) αdsdτ=
θχ01+A^tα+
0t c2θθ0 (t-τ) α-1χ01+A^τα1+A^ (t-τ) ααA^-c2θ0αA^dτ
θχ01+A^tα+c2θθ0χ0A^c2θ0αA-2×
0t (t-τ) c2θ0A^-1τ-αdτ
θχ01+A^tα+c2θθ0χ0Γc2θ0A^Γ (1-α) Γ1+c2θ0A^-α×
A^c2θ0αA^-2tc2θ0A^-α
As t approaches infinity, the norm of χ (t) asymptotically tends to zero if αA^>c2θ0. This yields that the observer error system (15) is asymptotically stabile and our proof is finished.
4 Observer-based output feedback control
The purpose of this section is to study the output feedback control problem of uncertain nonlinear fractional-order system (9) with fractional PI observer (12) and the following feedback control laws
u1(t)=-K1X(t)-K2ζ^(t)
(18)
u2(t)=-c3-K3ζ^(t)
(19)
where K1Rm1×n-nk, K2Rm1×nk, K3Rnk×nk are feedback gains to be determined and c3 is defined as in Assumption 1.
Theorem 2 Suppose that all conditions of Theorem 1 are satisfied. Then, the fractional-order system (9) with PI observer (12) and the state estimated feedback (18) – (19) is globally asymptotically stable provided that the inequality
Q1A2-B1K2B1K20A2-B1K2Q2K30B1K2K3Q3-100-12l2<0,
(20)
with Q1=2A1-B1K1+1, Q2=-2K3+2c2+c12 and Q3=-2l1+2c2 holds true.
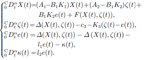
Proof By substituting the formula (18) – (19) into the original system (9) and combining it with formulas (13) – (14) , we obtain the corresponding closed-loop system as follows:
To analyze the stability of this closed-loop system, by setting
ϵ=X(t) ζ(t) e(t) κ(t)T
(21)
and substituting c3 with ∆ (X, 0) , we see the following system:
0CDtαϵ(t)=Λϵ(t)+f,
(22)
where
Λ=A1-B1K1A2-B1K2B1K200-K3K3000-l1-1000l2,
(23)
f=F(X,ζ)Δ(X,ζ)-Δ(X,0)Δ(X,ζ)-Δ(X,ζ^)0
(24)
Consider the following Lyapunov function candidate
V (t) =ϵT (t) ϵ (t) ,
from Lemma1 and Assumption 1, the fractional derivative of order α of the V (t) is then, given by
0CDtαV(t)ϵT0CDtαϵ+0CDtαϵTϵϵT(Λϵ+f)+ϵTΛT+fTϵϵTΛ+ΛTϵ+2c2e2+2c2ζ2+2XTF(X,ζ)
(25)
According to Lemma4 and Assumption 1, we see that
0CDtαV (t) ϵTΛ+ΛTϵ+2c2e2+2c2ζ2+XTX+ (F (X, ζ) -F (X, 0) ) T (F (X, ζ) -F (X, 0) ) ϵTΛ+ΛTϵ+2c2e2+2c2ζ2+XTX+c12ζ2.
Let Q1=2A1-B1K1+1, Q2=-2K3+2c2+c12 and Q3=-2l1+2c2. It follows that
0CDtαV (t) ϵTQ1A2-B1K2B1K20A2-B1K2Q2K30B1K2K3Q3-100-12l2ϵ.
Therefore, if we choose K1, K2, K3, l1, l2 to satisfy
Q1A2-B1K2B1K20A2-B1K2Q2K30B1K2K3Q3-100-12l2<0,
(26)
it can be concluded by fractional Lyapunov stability theory that the output feedback controller composed by Eqs. (12) (18) – (19) can globally asymptotically stabilize the nonlinear system (9) .
5 An example
To illustrate the effectiveness of our theoretical results, we examine the fractional generalization of the RÖssler hyperchaos equation [28] as a practical exam-ple. The system under investigation is given by
0C Dtα*x1(t)=-x2+x3+u110CDtα*x2(t)=x1+ax2+x4+u120CDtα*x3(t)=3+x1x3+u21=Δ1x1,x2,ζ1,ζ2+u210CDtα*x4(t)=-0.5x3+0.05x4+u22=Δ2x1,x2,ζ1,ζ2+u22y(t)=x1x2
(27)
where ζ1 = x3, ζ2 = x4, α = 0.95, a = 0.25. We set initial conditions as {x10, x20, x30, x40} = {−10, 20, −15, 15}. Fig.2 shows that the evolution of the system exhibits a hyperchaotic attractor.
Fig.2Rossler hyperchaos system
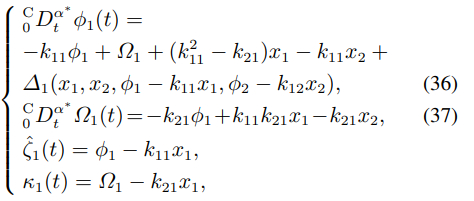
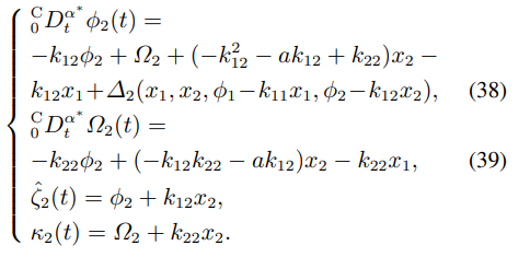
Unknown variables is assumed to satisfy the FAOC and we can represent them using known variables and their derivatives as follows:
ζ1(t)=-0CDtα*x1-x2+u11,
(28)
ζ2(t)=0CDtα*x2-x1-ax2-u12.
(29)
By substituting Eqs. (28) – (29) into Eq. (12) , we obtain
0CDtα*ζ^1(t)=k11-0CDtα*x1-x2+u11-ζ^1+Δ1x1,x2,ζ^1,ζ^2+κ1+u21,0CDtα*κ1(t)=k21-0CDtα*x1-x2+u11-ζ^1,
(30)
0CDtα*ζ^2(t)=k120CDtα*x2-x1-ax2-u12-ζ^2+Δ2x1,x2,ζ^1,ζ^2+κ2+u220CDtα*κ2(t)=k220CDtα*x2-x1-ax2-u12-ζ^2
(31)
To completely eliminate these inaccuracies for directly calculate0CDtα*x1and0CDtα*x2, we introduce the following auxiliary variables:
ϕ1=ζ^1+k11x1
(32)
Ω1=κ1+k21x1,
(33)
ϕ2=ζ^2-k12x2
(34)
Ω2=κ2-k22x2
(35)
and set [u11 u12 u21 u22] = [0 0 0 0]. By algebraic manipulations, we can get the fractional PI observer for ζ1 and ζ2 and then combine the observers for the two unknown variables, which lead to the following results:
Next, we proceed to calculate the parameters of the Luenberger observer as follows:
0CDtα*η^(t)=Aη^+f(η^)+L(y-y^),
(40)
y^(t)=Cη^,
(41)
where:
0CDtα*η^(t)=0CDtα*x^10CDtα*x^20CDtα*x^30CDtα*x^4,η^(t)=x^1x^2x^3x^4,
(42)
A=0-1-101a01000000-0.50.05,
(43)
C=1 0 0 00 1 0 0,f(x)=003+x^1x^30.
(44)
Choose
rankCCACA2CA3=4, L=100-11100.25-2500002500,
which yields that (A + LC) is Hurwitz. For the PI observers (37) – (39) , set the gains as [k11 k21 k12 k22] = [40 20 200 20] with initial conditions ϕ1 = k11x1, 1 = k21x1, ϕ2 = −k12x2, 2 = −k22x2. These initial conditions mean thatζ^1 (0) =ζ^2 (0) =κ1 (0) =κ2 (0) =0.The following cost functional is considered as a performance index for assessing the accuracy and efficiency of the estimator:
J=1t0t |e(τ)|2dτ
(45)
Fig.3 displays the estimated values from both the Luenberger and PI observers alongside the true value x3. Notably, within the time interval of 0∼0.6 seconds, the PI observer exhibits faster convergence towards the true value. From Fig.4, it becomes evident that the estimation error of the PI observer consistently remains smaller than that of the Luenberger observer during the final time period, from 29.9 s to 30 s. The trend observed in Fig.5 and Fig.6 reinforces these results, providing clear evidence of the practicality and efficiency of the PI observer. As a non-redundant observer, it contributes to cost savings.
Fig.3State x3 and its estimatesζ^1andx3^
Fig.4Performance index (1)
Fig.5State x4 and its estimatesζ^2andx^4
Fig.6Performance index (2)
To illustrate the effectiveness of our output feedback control results, we let
u21=-3-k31ζ^1,u22=-k32ζ^2,
(46)
u11=x2+ζ^1-8x1,u12=-x1-(a+5)x2-ζ^2
(47)
and set [k11 k21 k12 k22 k3] = [150 150 50 50 15 8], the initial conditions ϕ1 = k11x1, 1 = k21x1, ϕ2 = −k12x2, 2 = −k22x2. Then, all conditions of Theorem 2 are satisfied. Now, we refer the reader to Fig.7, where the state of the closed-loop system are depicted and to Fig.8, where the value of corresponding control inputs are plotted. These results serve as further confirmation of the feasibility outlined in Theorem 2.
Fig.7The states x1, x2, x3, x4
Fig.8Control input u
6 Conclusions
In this paper, we focus on discussing output feedback control problems of the nonlinear fractional-order systems with parametric uncertainties. For this, a novel fractional-order PI observer to estimate the unknown state is first presented. Additionally, we establish a criterion for developing a linear state feedback controller capable of stabilizing a specific class of fractional-order nonlinear systems. To illustrate the effectiveness of our proposed approach, we present a numerical example. Future research could explore the application of the observer and controller to real-world data. For instance, applying this methodology to estimate the unknown states in a known infectious disease model and implementing state feedback to control the spread of the disease would be a valuable extension of this work. Additionally, investigating the robustness and adaptability of the proposed control scheme in more complex or uncertain environments would further enhance its practical relevance.
SUN H, ZHANG Y, BALEANU D,et al. A new collection of realworld applications of fractional calculus in science and engineering. Communications in Nonlinear Science and Numerical Simulation,2018,64:213-231.
WANG S G, LIANG S, MA L,et al. Routh table test for stability of commensurate fractional degree polynomials and their commensurate fractional order systems. Control Theory and Technology,2019,17(3):297-306.
LUO Y, CHEN Y. Fractional order proportional derivative controller for a class of fractional order systems. Automatica,2009,45(10):2446-2450.
GE F, CHEN Y, KOU C. Regional Analysis of Time-Fractional Diffusion Processes. Cham, Switzerland: Springer,2018.
KILBAS A A, SRIVASTAVA H M, TRUJILLO J J. Theory and Applications of Fractional Differential Equations. Amsterdam, Netherlands: Elsevier Science Limited,2006.
HILFER R. Applications of Fractional Calculus in Physics. Singapore: World Scientific,2000.
XIE B, GE F. Parameters and order identification of fractionalorder epidemiological systems by Lévy-PSO and its application for the spread of COVID-19. Chaos, Solitons & Fractals,2023,168:113163.
GE F, CHEN Y. Optimal vaccination and treatment policies for regional approximate controllability of the time-fractional reactiondiffusion SIR epidemic systems. ISA Transactions,2021,115:143-152.
NASSER-EDDINE A, HUARD B, GABANO J D,et al. A two steps method for electrochemical impedance modeling using fractional order system in time and frequency domains. Control Engineering Practice,2019,86:96-104.
VICTOR S, MAYOUFI A, MALTI R,et al. System identification of miso fractional systems: Parameter and differentiation order estimation. Automatica,2022,141:110268.
CHENG S, LIANG S, FAN Y. Distributed solving Sylvester equations with fractional order dynamics. Control Theory and Technology,2021,19(2):249-259.
GE F, CHEN Y, KOU C. On the regional gradient observability of time fractional diffusion processes. Automatica,2016,74:1-9.
AGHAYAN Z S, ALFI A, TENREIRO MACHADO J. Guaranteed cost-based feedback control design for fractional-order neutral systems with input-delayed and nonlinear perturbations. ISA Transactions,2022,131:95-107.
ZHENG W J, LUO Y, WANG X H,et al. Fractional order PIλD µ controller design for satisfying time and frequency domain specifications simultaneously. ISA Transactions,2017,68:212-222.
KAO Y, LI Y, PARK J H,et al. Mittag-Leffler synchronization of delayed fractional memristor neural networks via adaptive control. IEEE Transactions on Neural Networks and Learning Systems,2020,32(5):2279-2284.
MUTHUKUMAR P, BALASUBRAMANIAM P, RATNAVELU K. Sliding mode control for generalized robust synchronization of mismatched fractional order dynamical systems and its application to secure transmission of voice messages. ISA Transactions,2018,82:51-61.
GE F, CHEN Y. Event-triggered boundary feedback control for networked reaction-subdiffusion processes with input uncertainties. Information Sciences,2019,476:239-255.
DADRAS S, MOMENI H R. Fractional-order dynamic output feedback sliding mode control design for robust stabilization of uncertain fractional-order nonlinear systems. Asian Journal of Control,2014,16(2):489-497.
IBRIR S, BETTAYEB M. New sufficient conditions for observerbased control of fractional-order uncertain systems. Automatica,2015,59:216-223.
ZHANG J X, YANG G H. Fuzzy adaptive output feedback control of uncertain nonlinear systems with prescribed performance. IEEE Transactions on Cybernetics,2017,48(5):1342-1354.
ZHONG F, LI H, ZHONG S. State estimation based on fractional order sliding mode observer method for a class of uncertain fractionalorder nonlinear systems. Signal Processing,2016,127:168-184.
OLIVA-GONZALEZ L J, MARTINEZ-GUERRA R, FLORESFLORES J P. A fractional PI observer for incommensurate fractional order systems under parametric uncertainties. ISA Transactions,2023,137:275-287.
DUARTE-MERMOUD M A, AGUILA-CAMACHO N, GALLEGOS J A,et al. Using general quadratic Lyapunov functions to prove Lyapunov uniform stability for fractional order systems. Communications in Nonlinear Science and Numerical Simulation,2015,22(1/3):650-659.
WEN X J, WU Z M, LU J G. Stability analysis of a class of nonlinear fractional-order systems. IEEE Transactions on Circuits and Systems II: Express Briefs,2008,55(11):1178-1182.
CORDUNEANU C. Principles of Differential and Integral Equations. The Bronx, New York, USA: American Mathematical Soc,1977.
POURGHOLI M, MAJD V J. A nonlinear adaptive resilient observer design for a class of Lipschitz systems using LMI. Circuits, Systems,and Signal Processing,2011,30:1401-1415.
MARTÍNEZ-GUERRA R, PÉREZ-PINACHO C A, GÓMEZ-CORTÉS G C,et al. Synchronization of incommensurate fraction-al order system. Applied Mathematics and Computation,2015,262:260-266.
NIKOLOV S, CLODONG S. Hyperchaos-chaos-hyperchaos transition in modified rÖssler systems. Chaos, Solitons & Fractals,2006,28(1):252-263.