摘要
欠驱动系统因其独特的性能优势被广泛研究和应用, 但其复杂的动力学特性会导致控制上的困难. 约束跟随控制方法可以有效解决欠驱动系统的控制问题. 为降低通信成本, 提升控制性能, 针对该方法提出了一种新型的事件触发机制. 首先, 将系统期望轨迹设计为伺服约束, 并利用约束跟随控制理论导出伺服控制输入的解析解; 其次, 引入含自适应增益的事件触发机制: 通过比较状态偏差补偿控制输入与实时/目标控制输入的偏差, 确定允许控制信号更新的时间, 再通过自适应增益选择合适的时间点触发控制信号更新. 该机制通过自适应增益动态调整更新频率, 以优化通信效率. 通过Lyapunov方法分析了该控制策略的稳定性, 并证明了能够有效避免Zeno现象; 最后, 通过欠驱动平面垂直起降飞行器上的仿真实验, 验证了所提方法的有效性. 结果表明, 该事件触发机制不仅实现了通信负载和系统性能之间的平衡, 还表现出对干扰的强适应性.
Abstract
Underactuated systems have been widely studied and applied due to their unique performance advantages, but their complex dynamic characteristics can lead to challenges in control. Constrained-following control method can effectively address the control problems of underactuated systems. To reduce communication costs and enhance control performance, a novel event-triggered mechanism is proposed for this method. Firstly, the desired trajectories of the system are designed as servo constraints, and the analytical solution of servo control input is derived using constraint-following control theory. Secondly, an event-triggered mechanism with adaptive gain is introduced: By comparing the state deviation compensation control input with the deviation of the real-time/target control inputs, the mechanism determines permissible time instants for control signal updates. Subsequently, adaptive gain is employed to select optimal moments for triggering control signal updates. This mechanism dynamically adjusts the update frequency through adaptive gain to optimize communication efficiency. The stability of this control strategy is analyzed using the Lyapunov method, and it is demonstrated that the proposed approach effectively avoids Zeno phenomenon. Finally, simulations on an underactuated planar vertical take-off and landing (PVTOL) aircraft verify the effectiveness of the proposed method. Results indicate that the eventtriggered mechanism not only achieves a balance between communication load and system performance but also exhibits strong adaptability to disturbances.
1 引言
欠驱动系统是指独立控制输入数量小于系统自由度的一类系统. 虽然欠驱动系统具有节省能源、节省材料、节省空间等优点,但是由于其可能存在不确定性和非线性的特性,给控制带来了较大的难度 [1] . 近年来,一种适用于欠驱动系统的约束跟随控制方法受到了广泛关注 [2-3] . 该方法的核心思想是将系统的运动控制问题(如系统镇定、轨迹跟踪等)设计成合适的伺服约束,再将这些约束重写为系数为正的常系数齐次线性微分方程,利用方程的解随着时间的增加趋近于0的特性,使系统严格跟踪所需的约束,从而实现对机构运动的有效控制. 该方法的优势在于其本身具备一定的鲁棒性,并且不需要对非线性系统进行线性化. 这种方法源于 Udwadia和Kalaba 等 [4-5] 对受完整或非完整约束系统的拉格朗日动力学方程的扩展. Chen [6] 在此基础上提出了满足等式约束的全驱动机械系统. 随后Yin等 [7] 将这种方法扩展到含有等式约束和不等式约束的欠驱动系统. 然而,对于一些通信资源紧张和执行器容易损耗的欠驱动系统(如欠驱动船舶和飞行器等),约束跟随控制方法与其他基于连续时间采样的控制算法一样,都无法解决这些问题.
事件触发控制(event-triggered control,ETC)在减少控制系统中通信资源的浪费和机械结构的磨损等方面效果显著. 事件触发控制系统主要由两个元件组成,即计算控制输入的反馈控制器和确定何时必须再次更新控制输入的触发机制 [8] . 其基本思想是根据系统状态的变化而非固定的时间间隔,来触发控制信号的更新和传输. 典型的事件触发控制通过静态(固定)或动态(相对和切换)的阈值策略触发控制信号更新 [9] . 比如Cao等 [10] 针对多智能体系统的时变输入延迟问题,根据控制信号幅值设计了动态切换阈值策略,有效减少了控制器更新频率. 事件触发控制按照触发时参考的信号可以大致分类为误差型 [11-18] 和控制输入型 [19-23] . 前者的优势是可以确保控制器在系统偏离期望轨迹时立即执行控制,有助于提高系统的响应速度和稳定性,但是易发生频繁切换导致抖振; 后者通常较为直观,便于实现相应的控制策略,不发生抖振,但会导致控制精度下降. 此外,也有诸如模型事件触发 [24] 和周期性事件触发 [16] 等特殊触发方式. 当事件触发控制过程中存在较大跟踪误差或初始状态偏差时,通常的做法是提高触发频率,使实际控制输入尽可能接近期望值 [12-13,17-18,20],但这必然会减弱事件触发的优势,造成不必要的资源浪费. 某些动态阈值触发策略,如相对阈值触发 [19,23],虽然在一定程度上能够缓解这个问题,但是可能会减弱系统的鲁棒性. 如何设计事件触发机制以平衡通信效率和系统性能是一个值得关注的重要问题 [25] . 事实上,事件触发不应仅仅关注误差的大小,更应该关注系统在当前控制下的稳定性. 因此,更为合理的做法是在当前控制输入下,系统不稳定或接近不稳定时触发更新. 本文基于这一思想,设计一种新型的事件触发机制,旨在进一步降低系统存在较大跟踪误差时的触发频率.
近几年,对欠驱动系统的事件触发控制已经存在一定数量的研究. 例如,对欠驱动水面船只路径跟踪的相关研究 [16,22,24,26-27],通过引入事件触发机制显著降低了执行器的触发频率,减少了机械结构的磨损和能源损耗. 此外,Li等 [23] 在固定/相对阈值策略下,通过添加幂积分器技术,设计了中间连续控制信号,并在含倒立摆的欠驱动系统中验证了方案的有效性. Yao等 [17] 对平面二连杆机械臂使用事件触发机制来决定是否更新位置和速度信息,实现了通信负载和系统性能之间的权衡. Qian等 [18] 在存在外部干扰的情况下,通过分布式事件触发自适应控制在单控制输入的双质弹簧系统中实现了更好的一致性. 上述文献在显示事件触发控制优势的同时,也指出了其面临的几个挑战: 1)实现通信负载和系统性能之间的平衡; 2)保证控制的有效性(系统稳定且不发生Zeno现象)和高效性; 3)具备应对外部干扰等不确定因素的能力.
基于上述研究,本文的主要贡献如下:
1)提出了一种与约束跟随控制深度结合的事件触发机制,兼具两者的优势,在保障欠驱动系统稳定性的同时显著降低了控制器更新频率;
2)引入自适应增益,使触发阈值随着跟踪误差动态变化. 相比于传统控制输入型事件触发(如文献 [19]),具有鲁棒性强、误差精度可控的优点;
3)相比于误差型事件触发(如文献 [12]),所提机制的优势在于,只有在当前控制输入下,系统不稳定或接近不稳定时才触发更新,触发频率受跟踪误差的影响较小;
4)通过对控制输入的精准调控,触发间隔的严格保障以及约束跟随控制鲁棒性的动态调整,使得所提方法能够有效应对上述3个挑战.
2 欠驱动约束跟随控制
2.1 欠驱动机械系统模型
欠驱动机械系统,常见的例如倒立摆、轮式移动机器人 [3] 等,其动力学模型通常可以表示为
(1)
其中:为系统运行时间; 分别为系统的位置矢量、速度矢量和加速度矢量; n为系统的自由度数; 为系统的控制输入矢量,其中 l表示控制输入的数量.分别表示系统的质量矩阵(正定)、科氏力矩阵、重力矩阵以及控制输入矩阵. 如同文献 [3,28],本研究中的系统被限定在无奇异构型、无参数突变的工况下运行. 因此,假设矩阵M,C,G,B都是连续可微且已知的.
2.2 约束跟随控制
2.2.1 约束方程
首先,需要将系统的控制目标(包括系统镇定、轨迹跟踪等)设计成等效的伺服约束形式. 假设控制目标下系统需要满足m(m ≤ l)个连续可微的等式约束,包括h(h ≤ m)个完整约束(约束不包含坐标对时间的导数)和m − h个非完整约束(约束包含坐标对时间的导数)[28],则约束方程可以表示为

(2)
其中:是由系统状态和时间表示的函数向量; 是表示函数目标值的常数向量.
其次,将约束(2)对时间t分别求一阶和二阶导,得到与其等效的二阶形式约束:
(3)
约束(3)可以表示成以下形式:
(4)
其中:
约束的一阶形式可以通过计算二阶约束(3)对时间t的积分或将等式约束(2)重写为以下形式得到:
(5)
一阶约束(5)可以表示成以下的矩阵形式:
(6)
其中
定义 1 对于给定的A和b,如果方程(4)至少存在一个解,则称约束(4)是相容的(consistent).
引理 1 根据文献 [6],约束(4)相容的充要条件是AA+b=b,其中A+表示A的Moore-Penrose广义逆矩阵.
假设 1 约束(4)是相容的,即AA+b = b.
注 1 假设1保证了约束(4)是实际可行(不存在矛盾)的. 约束(4)是一个通用的等式约束形式,在工程上的许多控制问题,如最优控制、轨迹跟踪、系统镇定等,都可以直接或间接转化为这种形式 [28] .
2.2.2 控制律求解
根据文献 [29],在初始时刻t0 = 0时,如果q(t0)和满足约束(6),则令u = τn,式(1)可化为
(7)
联立式(7)和约束(4),得到
(8)
整理后得到
(9)
令则得到
(10)
假设 2 约束(10)是相容的,即
注 2 假设2保证了τn解的存在性,即对于所有的一定存在
(11)
因此可以得到以下二阶伺服控制输入:
(12)
式(12)表示的伺服控制输入只能保证系统满足二阶形式的约束(4). 由于约束(6)可由约束(4)对时间积分得到,因此只有当满足约束(6)时,式(12)才可以保证系统满足约束(6). 然而,实际中系统的初始状态很可能不满足这一条件. 事实上,满足约束(6)是控制设计的最终目的,因此需要添加额外的控制来处理可能的初始条件偏差.
令
(13)
(14)
其中:为正的常数; Z(t)≥ 1是单调递增且连续的自适应增益函数,是为了配合本文事件触发机制而增加的系数,其更新规则将在稍后给出.的大小直接影响约束跟随控制器对状态偏差的反馈能力. 增大可以提高系统对跟踪误差的响应速度,增强鲁棒性,但也会增加执行器的负担.
假设 3 方程(14)是相容的,即.
注 3 假设1保证了假设2和假设3通常是同时存在的. 特别地,当rank(Ψ)= m时,假设2和假设3一定成立.
则方程(14)的解为
(15)
最终,不考虑事件触发时系统的控制输入为
(16)
注 4 由于系统(1)中矩阵M,C,G,B 和约束(2)连续可微且不含任何加速度项,根据连续可微性的基本性质,可以得到τ (t)也是连续可微的.
3 事件触发机制
3.1 事件触发控制架构
本文利用如图1所示架构来结合约束跟随控制器和事件触发机制.
图1事件触发控制架构
Fig.1Event-triggered control architecture
在这种控制架构中,由事件触发机制决定控制器到执行器的信息传输,从而降低控制器到执行器的通信负担.
3.2 跟踪误差和稳态误差带
在设计事件触发机制前,为了尽可能节约通信资源并反映系统对目标约束的实际跟踪能力,需要确定系统状态的实际跟踪误差以及稳态误差带.
上文提到,β是系统状态的一阶约束跟踪误差. 然而,由于β中存在速度项,不能直观地表达系统状态关于完整约束的跟踪误差,因此需要将约束(2)转换为实际跟踪误差,即
(17)
注 5 由于约束(2)中所有的约束均由控制目标等效转换得到,因此对任意的表示当前系统状态相对于第i个控制目标的偏差.
设表示事先设定的对应实际跟踪误差ε的目标跟踪精度. 对于一个受伺服约束控制的系统,在受到外部干扰或初始条件变化时,若系统的状态在有限时间内使β收敛到平衡点的某个邻域内,并使ε稳定在有界区域[−η,+η]内,就可以认为系统在该邻域内处于稳态. 本文将该邻域命名为一阶跟踪误差β在目标跟踪精度η下的稳态误差带.
3.3 事件触发机制设计
在约束跟随控制输入(16)的基础上,设计如下考虑事件触发机制的控制器:
(18)
(19)
其中:
tk表示由式(19)决定的控制信号更新时间序列(t0 = 0), ka是范围(0,1)的比例系数,max(γ(t))表示在t时刻向量γ的所有分量{γ1,γ2,· · ·,γl}中的最大值,表示向量的模长.
下面给出自适应增益函数Z(t)的更新律
(20)
其中为增益函数斜率,下面用δ表示. 为了保证实际跟踪误差ε的每个分量最终都能收敛到目标精度范围η内,斜率δ由ε和η按照以下规则生成: 在任意区间上,令当max(γ(t))≤ 0时,δ = 0; 当max(γ(t))>0时,若各分量在目标精度范围内),则保持 δ = 0,否则令 δ =公式化表达如下:

(21)
其中: 斜率下限参数p >0,条件1为max(γ(t))>0且
注 6 这里引入斜率下限参数 p 的作用是,在满足条件1时,避免自适应函数斜率δ趋近于零导致的控制失效. 虽然参数p可以保障控制的高效性,但是参数p取值过大可能会导致Z(t)增长过快,严重削弱事件触发带来的性能优势. 由于在条件1下,(0,1]本文建议p <1,但该上限可根据具体场景调整.
事件触发机制(19)可以描述为,当t >tk 时,若 max(γ(t))≤ 0,即目标控制输入τ(t)与实时控制输入u(t)在所有的 l 个分量上的差距都小于或等于 kaτa(t)对应分量的绝对值,那么由于阈值λ(t)≥ 0,控制器更新事件不会触发. 反之,若存在max(γ(t))>0,随着t和Z(t)逐渐增大,“max(γ(t))(t − tk)”必然会变得足够大并超越阈值λ(t),从而触发事件并生成新的更新时刻tk+1. 此外,当max(γ(t))不变时,Z(t)越大,λ(t)越小,从而使得触发间隔“tk+1 − tk”越小. 因此,可以将Z(t)在这里的应用认为是一种在系统不稳定时自适应缩短事件触发间隔时间,提高控制精度,使系统稳定并最终进入稳态误差带的方法.
自适应增益 Z(t)具有以下特点: 1)Z(t)≥ 1,从而保证时λ(t)始终有界; 2)单调递增且连续. 对于任意的都有,故Z(t)关于t是全局Lipschitz的; 3)对系统的初始状态偏差不敏感. 当系统在初始状态或受到外部扰动而存在较大的误差ε 时,增益斜率δ 较小,Z(t)的增长速度受到抑制,从而减小了对瞬态响应阶段触发频率的影响,更有利于节约通信资源.
4 控制性能分析
欠驱动系统(1)在约束跟随控制律(16)和事件触发机制(18)–(19)作用下的控制性能主要受两个因素影响,即系统的稳定性和是否会发生Zeno现象.
4.1 系统的稳定性
首先讨论系统在什么情况下是渐近稳定的. 下面的定理给出了系统的稳定性与实时控制输入的关系.
定理 1 满足假设1–3的条件下,若实时控制输入u(t)和目标控制输入τ(t)对任意的i = 1,2,· · ·,l 都满足关系式且仅当(τa(t))i = 0 时,满足ui(t)− τi(t)=(τa(t))i,则系统(1)是渐近稳定的.
证令根据上述条件,一定存在矩阵N = diag{N1,N2,· · ·,Nl},其中

(22)
使得显然正定.
选择Lyapunov函数为
(23)
将V 对时间t求导,根据式(4)和式(6)的关系得到
(24)
考虑事件触发机制(18),代入式(1)消去,得到
由于AM−1B = Ψ,又根据式(10)得到
所以
(25)
根据式(14),,即
再结合得到
(26)
根据式(11),显然Ψ TΨN是半正定的. 由于的上界为非正数,并且仅当τa = 0时才等于0,因此系统在该条件下是渐近稳定的. 证毕.
根据定理1可以推断: 当max(γ(t))≤0时,系统在实时控制输入u下渐近稳定,系统状态趋近于平衡点; 但是,对于max(γ(t))>0时系统的稳定性还需要进一步讨论.
接下来,证明当自适应增益Z变得足够大时,系统状态最终能够稳定在目标稳态误差带内,并讨论在何种情况下,Z有界.
定理 2 在本文控制算法作用下,若自适应增益Z(t)足够大,且目标控制输入τ(t)连续,则系统状态能够最终持续稳定在稳态误差带内,自适应增益 Z(t)有界.
证在任一区间上,令将触发机制(19)变换为
(27)
由于生成新的更新时刻tk+1时,γj(t)>0,因此存在两种可能的触发情况:
1)时,Z(t)足够大,始终存在
(28)
即始终存在根据定理1,系统在这种情况下渐近稳定. 若长期处于这种情况,跟踪误差ε会持续减小直到为0,根据式(21),此时 Z不再增大;
2)时,存在系统可能不稳定,使状态远离平衡点.
根据式(23),可以通过函数 V 的变化说明此时系统的稳定性. 根据式(25)可得
(29)
由于u(t)= τ(tk),根据τ的连续性,一定存在某一时刻te满足
(30)
于是,在区间[te,tk+1)上的积分
(31)
由于t <tk+1时未触发更新,根据式(27)得
(32)
因此,触发间隔随自适应增益Z的增大而减小. 这意味着当前触发间隔内一定存在足够大的 Zm,使得当 Z = Zm 时,从而根据式(31),根据定理1,t ∈ [tk,te)时系统渐近稳定,所以V (tk)≥ V(te). 因此,若系统处于瞬态阶段,状态向平衡点收敛; 若处于稳态阶段,则一定存在一个稳态增益下界Zs∈[1,Zm],使得Z ∈[Zs,Zm]时足够小,系统在当前触发间隔内始终保持在稳态误差带以内,即始终满足Z 不再增大. 并且,根据式(21)的条件1可知,稳态增益下界Zs由目标跟踪精度η决定. 因此,通过Z的自适应动态调整,可以实现触发频率与控制精度的平衡.
综合两种情况的分析说明,若Z足够大,就能保证系统在瞬态阶段保持渐近稳定,在稳态阶段始终维持在稳态误差带内,即Z是全局有界的. 证毕.
根据定理1和定理2可以总结出本文事件触发机制的原理,如图2所示.
图2事件触发机制原理
Fig.2Principle of event triggering mechanism
对于任意的设当自适应增益 Z = Zs,且时存在等式其中Us是大于0 的常数. 从图2中可以看到,当Z >Zm 时,生成的更新时刻tk+1在渐近稳定区域和允许信号更新区域的交叉带内,系统渐近收敛. 当时,将会在的情况下生成更新时刻tk+1,使系统稳定在稳态误差带内. 当Z <Zs,即Z不够大时,生成更新时刻由于不能始终满足Z将继续增大.
4.2 避免Zeno现象
事件触发机制需要保证不会发生Zeno现象,即避免控制信号更新事件在有限时间内被无限次触发. 避免Zeno现象的常用方法是保证任意两个触发时刻的时间间隔大于0. 下面的定理给出了本文机制下事件触发时间间隔的下确界.
定理 3 在本文控制算法作用下,对于若控制输入τ连续可微且自适应增益Z全局有界,则事件触发时间间隔存在严格正下界Tu >0,使得
证令由于只有当时才可能触发更新,因此当t =tk+1 时,根据式(27)得到
(33)
注意到当γj (t)>0即时,
令
则ρ ≥1,代入式(33)得到
(34)
由于 τ 连续可微,根据拉格朗日中值定理,存在使得
(35)
所以一定存在一个常数 υ >0,使得并且根据Z的有界性,存在一个常数 φ >0 满足因此,一定存在时间间隔下界,满足
(36)
即Zeno现象不会发生. 证毕.
5 仿真案例
5.1 欠驱动PVTOL飞行器动力学模型
平面垂直起降(planar vertical take-off and landing,PVTOL)飞行器是非线性欠驱动系统的一个典型案例. 一些广泛应用的飞行器,例如Wingtra测绘无人机、喷气式战斗机、小型电子火箭等,都属于PVTOL飞行器 [30] . 该飞行器模型可以假设成一个具有三个自由度和两个控制输入的欠驱动系统,运动简图如图3所示. 系统的动力学方程为
(37)
图3平面垂直起降飞行器
Fig.3PVTOL aircraft
该系统中,控制输入u1是垂直于飞行器的推力(可以是正向或反向),控制输入u2是使飞行器旋转的转矩. x,y分别表示飞行器质心的水平与垂直位移,θ为机翼与水平方向的夹角. “−1”表示归一化后的重力加速度,µ表示转矩与水平加速度之间的耦合系数. 将系统(37)写成式(1)的矩阵形式为
则式(1)中的M,q,C,G,B,u可分别表示为
(38)
5.2 控制律求解与仿真结果
为验证欠驱动系统约束跟随控制方法在本文事件触发机制下的控制效果和鲁棒性,分别设计了完整和非完整约束下,以及存在外界干扰时的仿真实验. 并且,为了突出本文事件触发机制的特性,将其与文献 [12]中的误差型时变事件触发控制(time-varying threshold event-triggered condition,TVETC)和常见的控制输入型固定阈值策略ETC [19]进行对比.
给定PVTOL飞行器系统的各状态初始值分别为设耦合系数µ = 1.
5.2.1 仿真实验1(只有完整约束)
设置以下完整约束为控制目标:

(39)
其中: H = 90 m,d = 0.5 m,ω = 0.1,σ = 0.
定义跟踪误差
(40)
定义二阶约束方程
(41)
则一阶约束方程为
(42)
将式(41)–(42)写成式(4)和式(6)的形式,可以得到
(43)
显然矩阵A是行满秩的,由Ψ = AM−1B得
(44)
其中ξ = dω cos(ωx). 显然rank(Ψ)≥ 1,根据式(12)可得
(45)
再由式(13)–(15)得
(46)
最终得到约束跟随伺服控制律τ = τn + τa.
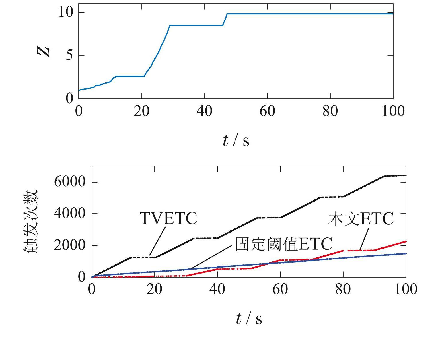
为显示自适应增益Z的增长对控制性能的影响,实验中对不同的触发方式采用不同的收敛系数: 本文ETC收敛系数κs = 1,TVETC和固定阈值ETC的收敛系数κp = 2. TVETC和固定阈值ETC下控制律中Z 的值始终为1. 事件触发机制所需的参数如下: 比例参数ka = 0.8,实际跟踪误差ε = [e1 e2] T,目标精度η = [0.02 0.02]T,斜率下限参数p = 0.1.
如图4–7所示为上述控制律分别在本文ETC,TVETC和固定阈值ETC作用下,对受完整约束(39)的PVTOL飞行器的控制性能.
图4不同策略下的竖直方向轨迹和水平方向夹角
Fig.4Vertical trajectory and horizontal angle under different strategies
图5不同策略下的竖直方向跟踪误差
Fig.5Vertical tracking error under different strategies
图6自适应增益和不同策略下的触发次数
Fig.6Adaptive gain and trigger times under different strategies
图7不同策略下的控制输入u1和u2
Fig.7Control inputs u1 and u2 under different strategies
仿真结果表明:
1)图4显示,在约束跟随控制和事件触发机制的作用下,飞行器的轨迹和姿态从初始状态向平衡点收敛,并最终都能够稳定在目标轨迹和目标姿态附近,说明所提控制策略是有效的; 2)图5表明,相比于TV
2)图5表明,相比于TVETC和固定阈值ETC对误差精度的不完全可控,本文ETC的跟踪误差可以最终稳定保持在事先设定的精度范围内. 从图6中自适应增益Z的变化可以观察到,当κsZ <κp = 2时,本文 ETC的误差略大于另外两种ETC; 随着Z不断增大,当Z >2时,轨迹误差不断减小直至最终收敛到目标精度范围内,Z不再增大. 这反映了自适应增益将每个误差分量控制到各自的精度范围内的重要作用. 自适应增益Z的持续增大,提高了控制器反馈能力并缩短了触发间隔,使控制具有更高的精度;
3)图6的触发次数图中,每个点代表每次触发的时间和对应的触发次数. 这一结果显示,在控制初期(仿真开始的前5 s),本文ETC的触发次数仅为TVETC的 3.73%和固定阈值ETC的9.79%. 这是因为系统处于瞬态阶段时存在较大的跟踪误差和控制信号变化速率,以这些信号为参考的ETC会随之提高触发频率; 而根据本文的触发策略,由于此时τa较大,允许更大的实时/目标控制输入偏差,因此在保证稳定性的同时保持了较低的触发频率. 结合图5可以发现,到达稳态时,固定阈值ETC与本文ETC有相近的触发频率和跟踪误差,虽然TVETC的触发频率极低,但跟踪误差很大. 在整个控制过程中,本文ETC,TVETC和固定阈值ETC 的最小触发间隔分别为: 0.051 s,0.010 s 和 0.005 s. 并且由于控制初期的优势,本文ETC总体上有更少的触发次数,约为其他两种ETC的64%;
4)图7表明在系统不受干扰时,自适应增益的增大不会显著增加执行器的输出负担. 并且在t = 0时,由于κsZ <κp,本文ETC比其他两种ETC有更小的控制输入,这意味着更低的执行器成本.
5.2.2 仿真实验2(含非完整约束)
设置以下约束为控制目标:
(47)
定义跟踪误差
(48)
将式(48)写成式(4)和(6)的形式可以得到
(49)
同样的,仿照实验1中的步骤,可得控制律τ =τn+ τa.
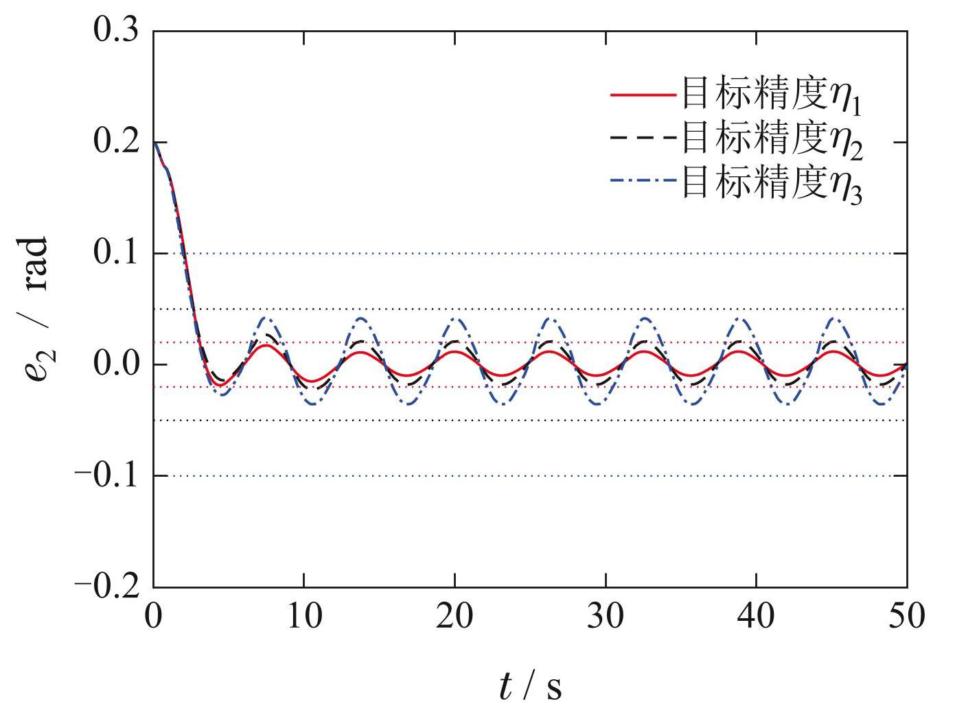
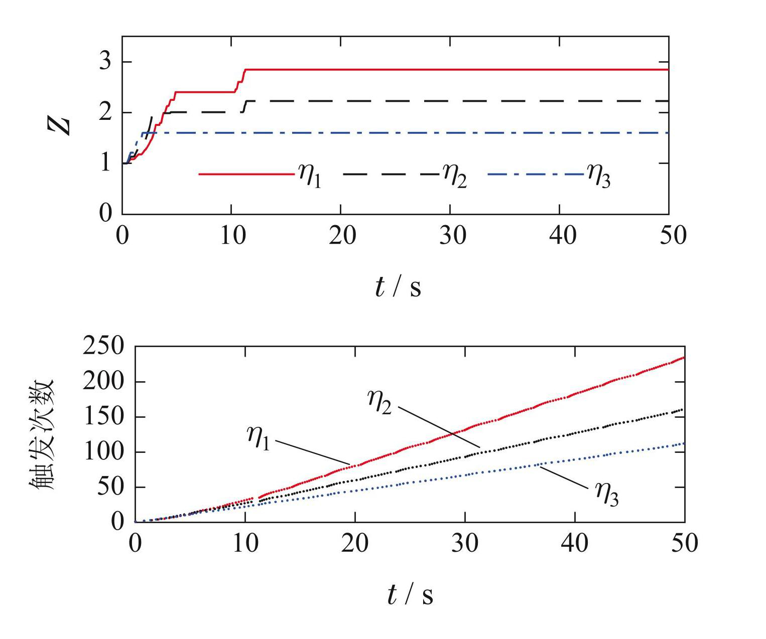
为了检验本文事件触发策略能否实现控制性能与通信负载的平衡,在不同目标精度下进行了仿真实验. 设置目标精度由高到低分别为: η1 = [0.05 0.02]T,η2 = [0.1 0.05]T,η3 = [0.2 0.1]T. 实验2的其他相关参数设置与实验1相同. 仿真结果如图8–10所示.
图8–9表明,在约束跟随控制和事件触发机制的作用下,飞行器的轨迹和姿态逐渐收敛到目标值附近,并最终稳定在3个不同目标精度范围内,说明所提控制策略对含非完整约束(47)的欠驱动系统是有效的. 结合图10可以观察到,由于自适应增益Z最终稳定在不同值,3组实验具有不同的稳态误差和触发次数. 通过比较发现,相对于精度为η1的实验,精度为η2和 η3时总的触发次数分别减少了31.62%和52.14%. 这一结果表明,降低控制精度可以有效减少事件触发频率,本文的算法可以实现控制性能与通信成本之间的平衡.
图8不同精度下的跟踪误差e1
Fig.8Tracking error e1 under different accuracies
图9不同精度下的跟踪误差e2
Fig.9Tracking error e2 under different accuracies
图10不同精度下的自适应增益和触发次数
Fig.10Adaptive gain and trigger times under different accuracies
5.2.3 仿真实验3(含周期性干扰)
为了检验控制的鲁棒性,在实验1的基础上,添加周期性干扰. 干扰设置为每隔20 s施加持续时间为 10 s的竖直向上的力,其大小为3倍重力. 有干扰时目标精度η = [0.5 0.02]T. 图11–13为干扰下的仿真结果.
图11干扰下的跟踪误差e1
Fig.11Tracking error e1 under interference
图12干扰下的自适应增益和触发次数
Fig.12Adaptive gain and trigger times under interference
图13干扰下的控制输入u1和u2
Fig.13Control inputs u1 and u2 under interference
图11显示,飞行器在受到严重的周期性干扰时,本文ETC作用下干扰引起的竖直方向跟踪误差随时间增加逐渐减小,并最终维持在目标精度范围内. 这主要得益于自适应增益Z的不断增大,在提高系统对误差的反馈能力的同时,也增加了控制器的更新频率,使系统在受到较大的外界扰动时依然能保持较小的跟踪误差. 并且,根据图12,在受到干扰时(如图11中,第60∼70 s),即使TVETC显著提高触发频率,依然无法避免误差增大; 而本文ETC由于此时τa较大,触发频率反而有所下降,说明所提机制对外部扰动具有良好的适应性. 同时,图12也显示出,即使在严重干扰下,自适应增益Z最终仍然会收敛到某一个特定的值,这一特征也反映了自适应增益的有界性. 然而,观察触发次数变化和图13可以发现,自适应增益的增大也带来了负面影响,即通信和执行器成本的提高. 因此,在使用本文事件触发机制控制一个受到严重干扰的系统时,应尽可能放松目标精度,避免自适应增益过大带来的负面影响.
6 结论
本文结合约束跟随控制方法,提出了一种含自适应增益的事件触发机制,解决了欠驱动机械系统中存在的通信资源浪费和执行器易损耗的问题,并实现了系统性能和通信负载的平衡. 自适应增益在本文中主要有两个作用: 1)提高系统的反馈能力,增强系统的鲁棒性; 2)提高事件触发的频率,使控制更加准确. 但需要注意,过大的自适应增益会导致通信损耗的增加和执行器成本的提高. 仿真实验结果显示出该事件触发机制在控制上的有效性和在节约通信资源方面的优越性,并且对外界干扰有较强的适应能力. 相较于其他事件触发控制,本文提出的方法具有以下优点:
1)控制器更新频率受系统初始状态偏差的影响较小,可以最大程度地节省系统的通信资源;
2)对完整约束和非完整约束都能有效控制,适用于更加多样的控制方案;
3)误差精度可控,利用自适应增益,将跟踪误差严格限制在预设的精度范围内.