输入受限下永磁同步电机随机系统自适应控制
doi: 10.7641/CTA.2025.50087
舒永东1 , 杜鹏1 , 李俊阳2
1. 南京高精船用设备有限公司, 江苏 南京 211103
2. 重庆大学高端装备机械传动全国重点实验室, 重庆 400044
基金项目: 国家重点研发计划项目(2022YFB3404804)资助.
Adaptive control of permanent magnet synchronous motor stochastic systems with input constraints
SHU Yong-dong1 , DU Peng1 , LI Jun-yang2
1. Nanjing Gaojing Marine Equipment Co., Ltd., Nanjing Jiangsu 211103 , China
2. State Key Laboratory of Mechanical Transmission for Advanced Equipment, Chongqing University, Chongqing 400044 , China
Funds: Supported by the National Key Research and Development Program of China (2022YFB3404804).
摘要
永磁同步电机因其高效能和优良动态特性而在工业领域得到广泛应用, 但其控制性能常受建模误差、随机干扰及输入饱和等因素影响. 针对这一问题, 本文提出了一种基于径向基神经网络的自适应控制策略. 该方法首先建立包含建模误差和随机干扰的动力学模型, 并利用饱和函数处理输入约束; 通过径向基神经网络在线逼近未知非线性并设计自适应律实现参数动态调整; 采用非递归跟踪微分器避免传统反步法中的“微分爆炸”; 进一步引入补偿机制以削弱滤波误差和饱和误差的影响. 在随机系统Lyapunov稳定性理论下, 严格证明了闭环系统误差依概率一致最终有界. 数值仿真与基于dSPACE平台的半实物实验结果表明, 该控制策略能够在输入受限条件下保持良好的鲁棒性与控制性能.
Abstract
Permanent magnet synchronous motors (PMSM) are widely used in industrial applications due to their high efficiency and favorable dynamic characteristics. However, its control performance is often limited by modeling uncertainties, stochastic disturbances, and input saturation. To address these challenges, this paper proposes an adaptive control strategy based on radial basis function neural network (RBFNN). A stochastic PMSM model incorporating modeling errors and stochastic disturbances is constructed, while input saturation is handled through a saturation function. The RBFNN is employed to approximate unknown nonlinearities online, and adaptive laws are designed for parameter adjustment. A nonrecursive tracking differentiator is introduced to avoid the “complexity explosion” problem in conventional backstepping, and a compensation mechanism is further developed to mitigate filtering and saturation errors. Based on Lyapunov stability theory for stochastic systems, it is rigorously proven that all system errors are probabilistically uniformly ultimately bounded. Numerical simulations and semi-physical experiments on dSPACE platform validate the effectiveness of the proposed control strategy, demonstrating robust performance under input constraints.
1 引言
永磁同步电机(permanent magnet synchronous motor,PMSM)以其高效率、高功率密度和优异的动态性能,广泛应用于工业自动化、电动汽车、航空航天和机器人等领域 [1-2] . 然而,PMSM系统作为一种强非线性耦合动态系统,在实际运行中易受到建模误差、扰动和输入饱和等影响,导致控制性能下降甚至失稳 [3] . 因此,研究在复杂工况下对PMSM系统的高精度与鲁棒控制,具有重要的理论意义和工程价值. 针对PMSM系统的控制需求,已有多种方法被提出,如矢量控制 [4]、滑模控制 [5-6]、自适应控制 [7-8] 和鲁棒控制 [9] 等,在提升系统动态性能方面取得了一定成效. 例如,矢量控制通过解耦d轴和q轴电流,实现了高精度的转矩调节; 滑模控制凭借其鲁棒性设计,有效应对了一部分建模误差; 动态面控制通过避免“微分爆炸”问题,提升了控制器的计算效率. 然而,这些传统控制方法大多依赖于精确的数学建模,对于建模误差大、不确定性显著的系统,适应能力较弱. 此外,这些方法在实际应用中对输入限制和外部随机扰动的处理存在局限性,难以满足复杂工况下的控制需求.
在实际运行中,PMSM系统的建模误差是不可避免的. 电机转矩、绕组电阻等参数会因温度波动、磁路饱和和负载变化而发生偏移,从而影响系统模型的准确性 [10-11] . 同时,外部随机扰动会导致系统动态行为出现不可预测的随机偏移,进一步增加控制难度. 此外,驱动器的硬件限制会导致q轴与d轴的最大输出电压受限 [12] . 更为复杂的是,这些问题往往相互耦合,使得控制器需要同时处理建模误差、随机扰动和输入饱和的综合影响,加剧了PMSM系统的控制难度.
针对随机非线性系统,已有研究取得重要进展. 其中,在应对不确定性方面,神经网络因其强非线性逼近与自适应学习能力受到广泛关注. 例如,文献 [13] 基于反步设计提出自适应跟踪控制,结合模糊神经网络逼近不确定性,实现了非仿射随机系统的稳定控制; 文献 [14] 面向随机非线性多智能体系统构建自适应事件触发一致性控制,利用模糊逻辑系统处理未知动态,通过事件触发机制降低控制信号更新频率; 文献 [15] 提出基于神经网络的自适应控制以在线逼近未知非线性,处理时滞系统中的故障注入与执行器故障; 文献 [16] 则利用神经网络实时逼近非线性摩擦与柔性变形等未知动态. 这些进展表明神经网络在复杂工况下具有重要应用潜力. 针对输入饱和问题,已有研究提出了多种基于饱和函数的补偿机制来处理输入限制. 例如,文献 [17] 通过引入一阶动态辅助系统来缓解输入饱和对系统性能的影响,有效削弱了输入饱和的负面作用; 文献 [18] 通过自适应方法处理输入饱和问题,同时提升了系统的鲁棒性; 文献 [19] 引入新的自适应变量参数,以同时应对输入饱和与其他不确定性问题. 这些研究在一定程度上缓解了输入饱和对系统性能的影响.
基于上述分析,本文针对存在建模误差、随机干扰与输入受限的PMSM系统,提出一种基于指令滤波反步方法的神经网络自适应控制器. 该控制器通过饱和函数约束输入,利用跟踪微分器避免“微分爆炸”问题,引入补偿机制削弱滤波误差与饱和非线性的影响,借助神经网络实现对系统不确定性的在线自适应补偿.
本文结构安排如下: 第2节建立考虑建模误差、随机扰动和输入受限的PMSM系统模型; 第3节介绍控制器的设计方法; 第4节进行系统稳定性分析; 第5节通过数值仿真验证控制策略的有效性; 第6节开展基于dSPACE平台的实验.
2 永磁同步电机随机系统动力学建模
在同步旋转坐标系d-q下,PMSM定子电压方程为
ud=Rsid+dΦddt-ωeΦq,uq=Rsiq+dΦqdt+ωeΦd,
(1)
其中: uduq表示d轴和q轴电压,单位为V; idiq表示 d轴和q轴电流,单位为A; Rs表示定子电阻,单位为Ω; ωe表示电机的电角速度,满足ωe = npωω表示转子角速度,单位为rad/s,np表示电机的极对数; ΦdΦq 表示d轴和q轴磁链分量,表达式为
Φ d = L d i d + Φ Φ q = L q i q
(2)
式中: Φ表示永磁体磁链; LdLq分别为d轴和q轴电感,单位均为H.
将式(2)代入式(1),永磁同步电机的定子电压方程可以改写为
u d = R s i d + L d d i d d t n p ω L q i q u q = R s i q + L q d i q d t + n p ω L d i d + Φ
(3)
永磁同步电机的电磁转矩可以表示为
Te=32npiqLdid+Φ-32npidLqiq.
(4)
电机的机械运动方程可以表示为
Jdωdt=Te-TL-Bω,
(5)
其中: B表示阻尼系数; J表示电机转动惯量,单位为kg · m2 . 基于式(1)–(5),同时考虑可能存在的未知外部干扰,可以得到如下永磁同步电机的动力学模型:
d Θ d t = ω , J d ω d t = 3 2 n p L d L q i d i q + Φ i q B ω T L + τ 2 , L q d i q d t = R s i q n p ω L d i d n p ω Φ + u q + τ 3 , L d d i d d t = R s i d + n p ω L q i q + u d + τ 4 ,
(6)
其中τ2τ3τ4表示永磁同步电机可能存在的未知外部干扰.
注 1 为便于后续设计,本文约定如下符号含义: 符号npΦJLqLdBTLRs表示相关系统参数的真实值; 符号n^pΦ^J^L^qL^dB^T^LR^s表示参数的名义值.
基于注1的约定,引入状态变量x1 = Θx2 = ωx3 = iqx4 = id,并将式(6)中的建模误差和外部扰动统一建模为干扰项dii = 2,3,4. 通过使用系统的名义参数,可以将系统动力学模型改写为
x ˙ 1 = x 2 x ˙ 2 = g ^ 2 u q + f ^ 2 x 2 , x 3 , x 4 + d 2 , x ˙ 3 = g ^ 3 u q + f ^ 3 x 2 , x 3 , x 4 + d 3 , x ˙ 4 = g ^ 4 u d + f ^ 4 x 2 , x 3 , x 4 + d 4 ,
(7)
其中:
g^2=3n^pΦ^2J^, f^2=32J^n^pL^d-L^qx3x4-B^x2-T^LJ^, g^3=1L^q, f^3=1L^q-R^sx3-n^pL^dx4x2-n^pΦ^x2, g^4=1L^d, f^4=1L^d-R^sx4+n^pL^qx3x2, d2=g~2x3+f~2+τ2J, d3=g~3uq+f~3+τ3Lq, d4=g~4ud+f~4+τ4Ld,
其中:g~i=gi-g^ig~i=fi-f^i表示名义参数g^i和名义非线性项f^ig^if^i一致,只需要把系统的名义参数替换为系统的真实参数.
根据随机系统理论,考虑如下随机非线性系统:
dx=f(x)dt+h(x)dω,
(8)
其中: x 表示系统状态,w 表示r维标准Wiener过程,fx:RnRngx:RnRn×r为局部Lipschitz连续函数.
在实际应用中,随机扰动是一种常见现象,它们可能对系统性能产生显著影响. 为了构建高精度的动力学模型,需在建模过程中综合考虑随机扰动及其对系统行为的影响. 基于式(7)–(8),考虑外部扰动和建模误差的永磁同步电机随机模型可以表示为如下形式:
d x 1 = x 2 d t d x 2 = g ^ 2 x 3 + f ^ 2 ( x ) + d 2 d t + ψ 2 ( x ) d w d x 3 = g ^ 3 u q + f ^ 3 ( x ) + d 3 d t + ψ 3 ( x ) d w d x 4 = g ^ 4 u d + f ^ 4 ( x ) + d 4 d t + ψ 4 ( x ) d w
(9)
式中:x=x1 x2 x3 x4T表示系统的状态变量,ψix表示与随机扰动相关的未知非线性函数.
3 控制器设计
3.1 输入饱和函数
在PMSM的实际控制过程中,过高的控制输入可能引发定子电流过大和电机过热,缩短部件寿命. 此外,输入饱和还会削弱控制系统的跟踪精度和动态响应,降低整体性能. 针对输入受限问题,通常使用饱和函数Sat(·)对控制输入进行约束,其数学表达式为
u i =  Sat  u i = u i + , u i > u i + , u i , u i u i u i + , u i , u i < u i ,
(10)
其中:i=qd; ui*表示未受限的理论控制量; ui+ui-分别表示控制输入的上下界; Δui=ui-ui*表示输入受限带来的饱和误差.
3.2 跟踪微分器
本文采用的跟踪微分器状态空间方程如下:
φ˙i,1=φi,2-Ri,1sgnφi,1-αiφi,1-αiβiφ˙i,1=-Ri,2sgnφi,1-αiφi,1-αi2βi-1
(11)
其中sgn(·)表示符号函数. 当x>0,sgn x= 1; 当x<0,sgn x = −1; 当x = 0,sgn x = 0. φi,1φi,2 为跟踪微分器的状态变量,Ri,1Ri,2为跟踪微分器的增益,βi为正数,取值范围为(1 − ε,1),其中ε ∈(0,1)为充分小的正数. 令αi,c = φi,1α˙ic=φi2为输入信号αi的滤波信号及其导数.
注 2 根据文献 [20],可以知道在有限时间内有α1i-αiw-其中w-为与跟踪微分器设计参数相关的正常数. 该性质将应用于补偿信号的稳定性分析中.
3.3 径向基神经网络
径向基神经网络(radial basis function neural network,RBFNN)是一种常用的非线性逼近工具,可高效逼近任意连续非线性函数. 对定义在Rn上的连续函数fiXi),RBFNN的表示形式为
fiXi=Wi*TPiXi+εi*,
(12)
其中:XiΩRn表示RBFNN的输入向量,Ω是定义域Rn上的紧集,εi*表示逼近误差,满足εi*εiM其中 εiM 是误差的界限,Wi*Rm为理想权值向量,m 为隐藏层神经元的数目,PiXi)= [ζ1Xiζ2Xi)· · · ζMXi)]T表示 RBFNN 的基函数向量,ζiXi)的表达式为
ζiXi=exp-Xi-ci22bi2,
(13)
其中: ci = [ci,1 ci,2 · · · cim] T表示第i个基函数的中心,bi为基函数的宽度参数.
通过调整神经元数量m、基函数中心ci和宽度bi ,RBFNN可在理论上以任意精度逼近连续非线性函数. 此外,采用W^i表示理想权值向量的估计值,W~i=Wi*-W^i表示估计误差.
3.4 随机非线性系统理论
针对如式(8)所示的随机非线性系统和给定的任意Lyapunov函数VxC2Rn; R,可以定义如下无穷微分算子:
LV(x)=Vxf(x)+12TrhT(x)2Vx2h(x),
(14)
其中Tr{·}表示矩阵的迹.
若存在正常数αβ使得Vx)的无穷微分算子满足如下不等式:
LV-αV+β,
(15)
可以知道系统(8)的解是依概率收敛有界的.
3.5 轨迹跟踪控制器设计
当控制输入超出永磁同步电机驱动器的输出范围时,会导致输入饱和现象,从而引发输入误差. 为解决这一问题,可采用指令滤波反步控制方法的误差补偿机制对输入饱和误差进行有效补偿. 在进行控制器设计前,先定义如下误差变量:
ei=xi-αi,c,i=1,2,3,4,
(16)
其中α1,c表示理想跟踪轨迹. 由于采用id = 0控制,可得α4,c = 0,α2,cα3,c为虚拟控制律α2α3通过微分跟踪器后的滤波信号.
为了补偿滤波误差和输入受限带来的饱和误差,引入误差补偿信号ξi,然后定义如下误差变量:
vi=ei-ξi,i=1,2,3,4.
(17)
随后,轨迹跟踪控制器的详细步骤如下:
步骤 1 选择第1个Lyapunov函数为
V1=14v14.
(18)
基于式(9)(14)(16)–(17)可以得到V1的无穷微分算子为
LV1=v13v2+ξ2+α2,c-α2-α˙1,c-ξ˙1
(19)
设计补偿信号ξ1
ξ˙1=-k1ξ1+ξ2+α2,c-α2,
(20)
其中k1 >0为控制器参数.
基于杨氏不等式可得
v13v234v14+14v24
(21)
设计虚拟控制律α2
α2=-k1e1-34v1+α˙1,c.
(22)
将式(20)–(22)代入式(19),可以得到
LV1-k1v14+14v24
(23)
步骤 2 选择第2个Lyapunov函数为
V2=V1+14v24+12Γ2W~2TW~2,
(24)
其中Γ2 >0.
基于式(9)(14)(16)–(17),V2的无穷微分算子满足
LV2=LV1+v23g^2v3+ξ3+α3,c+f^2+d2-α˙2,c-ξ˙2+32v22Trψ2Tψ2-1Γ2W~2TW^˙2.
(25)
设计误差补偿信号ξ2
ξ˙2=-k2ξ2+g^2ξ3+α3,c-α3,
(26)
其中k2 >0为待设计参数.
同样的,由杨氏不等式可得
32v22Trψ2Tψ29v24ψ248l22+12l22,
(27)
g^2v23v334g^243v24+14v34,
(28)
v23εi*34v24+14ε2,M4
(29)
F2X2=d2+9v2ψ248l22X2=x2 x3 x4Tl2>0.使用RBFNN逼近F2X2),设计网络权值自适应律为
W^˙2=Γ2v23P2X2-kW,2W^2,
(30)
其中kW,2 >0.
设计虚拟控制律α3
α3=1g^2-k2e2-f^2+α˙2,c-34g^243v2-v2-W^2TP2X2.
(31)
基于式(23)–(31),可以得到
LV2-k1v14-k2v24+kW,2Γ2W~2TW^2+12l22+14ε2,M4+14v34.
(32)
步骤 3 选择第3个Lyapunov函数为
V3=V2+12v34+12Γ3W~3TW~3,
(33)
其中Γ3 >0.
同样的,基于式(9)(14)(16)–(17),V3的无穷微分算子为
LV3=LV2+v33g^3uq+f^3+d3-α˙3,c-ξ˙3+32v32Trψ3Tψ3-1Γ3W~3TW^˙3
(34)
在不考虑输入受限的情况下,实际控制信号uq=uq*ξ˙3=ξ3=0. 引入饱和误差补偿信号ξ3,其定义为
ξ˙3=-k3ξ3+g^3uq-uq*
(35)
其中k3 >0为待设计参数.
基于杨氏不等式,容易得到
32v32Trψ3Tψ39v34ψ348l32+12l32
(36)
v33ε3*34v34+14ε3,M4
(37)
F3X3=d3+9v3ψ348l32X3=x2 x3 x4Tζ3为一个正常数. 使用RBFNN逼近F3X3)可以得到F3X3=W3*P3X3+ε3*设计网络权值自适应律为
W^˙3=Γ3v33P3X3-kW,3W^3,
(38)
其中kW,3 >0.
设计控制律uq*
uq*=1g^3-k3e3-f^3+α˙3,c-v3-W^3TP3X3.
(39)
基于式(32)–(39),可以得到
LV3-i=13 kivi4+i=23 kW,iΓiW~iTW^i+12li2+14εi,M4.
(40)
步骤 4 选择第4个Lyapunov函数为
V4=V3+12v44+12Γ4W~4TW~4,
(41)
其中Γ4 >0.
基于式(9)(14)(16)–(17),V4的无穷微分算子为
LV4=LV3+v43g^4ud+f^4+d4-ξ˙3+32v42Trψ4Tψ4-1Γ4W~4TW^˙4.
(42)
不考虑输入受限时,实际控制信号ud=ud*ξ˙4=ξ4=0. 引入饱和误差补偿信号ξ4,其定义为
ξ˙4=-k4ξ4+g^4ud-ud*
(43)
其中k4 >0为待设计参数.
基于杨氏不等式,容易得到
32v42Trψ4Tψ49v44ψ448l42+12l42
(44)
v43ε4*34v44+14ε4,M4
(45)
F4X4=d4+9v4ψ448l42X4=x2 x3 x4T4 为一个正常数. 使用RBFNN逼近F4X4)可以得到F4X4=W4*P4X4+ε4*设计权值自适应律为
W^˙4=Γ4v43P4X4-kW,4W^4,
(46)
其中kW,4 >0.
设计控制律ud*
ud*=1g^d-k4e4-f^4-34v4-W^4TP4X4.
(47)
基于式(40)–(47),可以得到
LV4-i=14 kivi4+i=24 kW,iΓiW~iTW^i+i=24 12li2+14εi,M4.
(48)
4 稳定性分析
本节采用Lyapunov稳定性定理对前一节所设计的控制器进行稳定性分析,选择总的Lyapunov函数为
V=i=14 14vi4+i=24 12ΓiW~iTW~i.
(49)
基于式(48),可以得到
LV-i=14 kivi4+i=24 kW,iΓiW~iTW^i+i=24 12li2+14εi,M4
(50)
通过杨氏不等式,可以推导并进一步简化得到
kW,iΓiW~iTW^i=kW,iΓiW~iTWi-W~ikW,iΓi12Wi*2-12W~iTW~i.
(51)
将式(51)代入式(50),可以得到
LV-i=14 kivi4-i=24 kW,i2ΓiW~iTW~i+i=24 kW,i2ΓiWi*2+12li2+14εi,M4.
(52)
结合式(49)和式(52),容易得到
LV-αV+β,
(53)
其中:α = min{4k1,4k2,4k3,4k4,kW1,kW2,kW3 },β=i=24 kWi2ΓiWi*2+12ξi2+14εiM4.
基于式(15)的结论,可以知道viW^i是依概率收敛有界的.
接下来,为进一步证明补偿信号的有界性,选取误差补偿信号的Lyapunov函数
Vξ=i=14 12ξi2
(54)
其导数可以表示为
V˙ξ-k1-1ξ12+12α2, c-α22-k2-g^2ξ22+12α3, c-α32-
k3-g^2-12g^3ξ32+12g^3Δuq2-k4-12g^4ξ42+12g^4Δuq2.
(55)
由注2可得αic-αiw-因此,式(55)可以整理为如下形式:
V˙ξ-αξVξ+βξ,
(56)
其中: αξ = min{2k1 −2,2k22g^22k3-2g^2-g^32k4-g^4},βξ =w-2+12g^3Δuq2+12g^4Δud2.
因此,补偿信号ξi也是有界的,基于式(17),可以知道ei也是有界的.
5 仿真分析
为了验证所设计的控制器的有效性,期望轨迹选择为α1,c = sin t,本节给出了如下几个仿真案例进行对比:
Case1 考虑没有建模误差和随机扰动的情况,同时不考虑输入饱和现象,此时选择uq=2uq*ud=2ud*控制器相关参数选择为k1 = 10,k2 = 10,k3 = 10,k4 = 10,Γ2 = 10,Γ3 = 10,Γ4 = 10,kW2 = 10,kW3 = 10,kW4 = 10,系统初始状态选择为[0 1 0 0 0],微分跟踪器初始状态全部选为0,参数设置为R21 = 20,R22 = 20,R31 = 20,R32 = 10. 对于逼近F2F3F4 的RBFNN,神经元数量设置为9,9和5. 中心参数c2在3个输入维度分别均匀分布于区间[0,100],[−50,50]和[−50,50],宽度参数b2 = 150; c3在不同输入维度均匀分布于[0,202],[−101,101] 和[−101,101],宽度参数b3 = 150; c4在3个输入维度上都均匀分布于区间[−50,50],b4 = 5.
Case2 在Case1的基础上,考虑系统存在建模误差、外部扰动和随机干扰,因此控制器过程中采用表1中的名义参数1,系统的未知外部干扰设置为
τ2=0.2cos(0.5πt)+0.1τ3=0.3sin(0.5πt)+0.2τ4=0.1sin(0.5πt)+0.15
(57)
仿真过程中随机干扰的设置如下:
ψ2(x)dw=1-x2cosx2dw,ψ3(x)dw=cos2πtx2cosx3dw,ψ4(x)dw=0.7x3cosx4dw.
(58)
控制器相关参数设置与Case1一致.
Case3 在Case2的基础上,进一步考虑输入饱和,控制输入的上下界设置为uq+=4uq-=-4ud+=0.1ud-=-0.2.
Case4 在Case3的基础上,为验证本文控制算法的鲁棒性,将控制器设计过程的系统名义参数修改为表1中的名义参数2. 同时,为构造更具挑战性的扰动环境,在随机扰动项中引入指数函数,以放大系统状态的变化趋势,从而产生更强烈的非线性随机干扰. 仿真中随机干扰项具体设定如下:
ψ2(x)dw=ex2x1cosx2dwψ3(x)dw=5ex3x2cosx3dwψ4(x)dw=4ex3cosx4dw
(59)
1永磁同步电机参数名义值与实际值
Table1Nominal and Actual Parameters of the PMSM
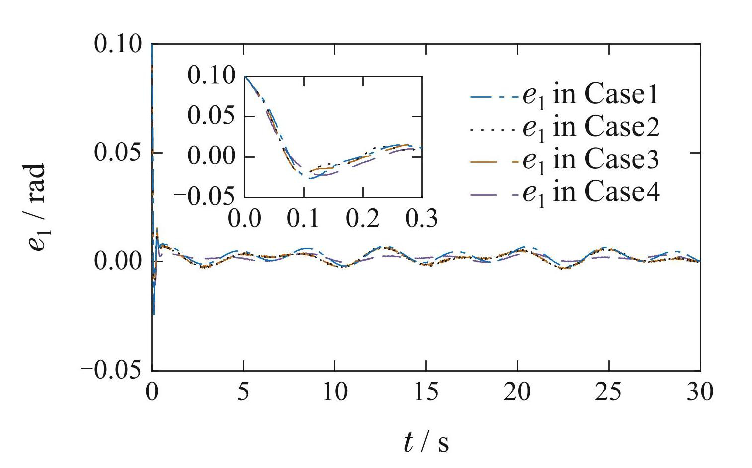
图1–8展示了本文控制方法在不同案例下的输出跟踪性能、状态响应、跟踪误差及控制输入信号的动态特性. 从图1可以看出,输出变量x1在所有案例下均能够实现对期望轨迹α1,c的跟踪,说明控制器具备较强的指令跟踪能力. 图2e1随时间的变化,所有案例中跟踪误差最终都稳定在±0.005 rad左右,表明控制器具有较强的抗干扰和动态调整能力. 从图3可以看出,在Case1中,x2 响应较为平稳,在Case2和Case3 中,受外部扰动与随机扰动影响,系统响应出现轻微波动,x2响应出现轻微波动,而在Case4中,波动幅度有所加大,但整体趋势仍保持稳定.
1输出轨迹跟踪
Fig.1Output trajectory tracking
图4–5为x3x4的响应曲线,Case1中曲线变化较为平稳,Case2波动幅度更大,Case4由于引入了更强的非线性随机激励,电流响应曲线波动显著增强. 尽管如此,系统依然保持稳定运行,表明控制器对复杂条件具有较好的适应能力. 图6为控制输入uq的曲线,在Case1和Case2中,uq未受限制,在Case3和Case4中,由于输入饱和限制,uq信号在被严格约束在饱和约束边界内,表明控制器能够有效应对输入饱和. 图7中,ud的动态特性与uq类似,表明控制器能够在输入受限条件下有效工作. 图8展示了x1x2的状态空间轨迹,结果表明所有案例中系统状态最终均回归规则的周期性轨迹,验证了控制器的稳定性.
2输出轨迹跟踪误差
Fig.2Output tracking errors
3系统状态x2的响应
Fig.3Responses of system state x2
4系统状态x3的响应
Fig.4Responses of system state x3
6 基于dSPACE的实验验证
为了进一步验证所提控制算法在实际应用中的有效性与工程可行性,本文基于dSPACE平台构建了一个硬件在环(hardware-in-the-loop,HIL)的半实物仿真实验系统. 实验平台如图9所示,主要包括: dSPACE MicroLabBox II实时仿真单元、Maxon EC–90 Flat 型无刷永磁同步电机、Maxon MILE 512–6400 CPT 编码器、配套驱动器、电源开关模块等.
5系统状态x4的响应
Fig.5Responses of system state x4
6实际控制信号uq曲线
Fig.6Actual control signal uq curves
7实际控制信号ud曲线
Fig.7Actual control signal ud curves
8受控系统状态x1x2相图
Fig.8Phase diagram of controlled system states x1 and x2
9基于dSPACE的半实物仿真平台
Fig.9dSPACE-based HIL simulation platform
控制器通过 MATLAB/Simulink环境搭建,并借助dSPACE提供的real–time interface(RTI)工具部署至 MicroLabBox中运行. 系统实时采集电机端角位移与转速信号作为反馈变量,控制器根据所提自适应算法在线计算控制指令,并输出至驱动器控制端,实现电机闭环运行. 整个过程中,利用ControlDesk作为上位机监控工具,完成对关键变量的在线监测、参数调试与数据记录. 整体流程如图10所示.
10基于Simulink和dSPACE的实验流程
Fig.10Experimental procedure based on Simulink and dSPACE
本节设置参考轨迹为α1,c = sin t. 控制器相关参数选择为 k1 = 20.5,k2 = 15.5,k3 = 5.8,k4 = 2.5; Γ2 = 10.8,Γ3 = 20.7,Γ4 = 20.6; k2W = k3W =k4W = 1. 控制输入的上下界设置为uq+=0.5uq-=-0.5ud+=0.1ud-=-0.1.微分跟踪器和 RBFNN的参数设置与第5节Case1中保持一致.
控制算法在t = 4.787 3 s时刻开始运行,仿真结果如图11–17所示. 从图11可以观察到,电机输出变量能够稳定且平滑地跟踪参考轨迹; 图12展示了对应的跟踪误差曲线,其最终收敛至±0.05 rad范围内. 系统状态x2x3x4的动态响应如图13–15所示,均表现出良好的稳定性与动态适应性.
11输出轨迹跟踪
Fig.11Output trajectory tracking
12输出轨迹跟踪误差
Fig.12Output tracking error
13系统状态x2的响应
Fig.13Response of system state x2
14系统状态x3的响应
Fig.14Response of system state x3
图16–17展示了实际控制信号uqud的变化情况,可以清晰看出控制信号始终满足预先设定的饱和边界限制,进一步说明所提出控制算法在输入受限场景下的有效性与可行性.
15系统状态x4的响应
Fig.15Response of system state x4
16实际控制信号uq曲线
Fig.16Actual control signal uq curve
17实际控制信号ud曲线
Fig.17Actual control signal ud curve
7 结论
本文针对永磁同步电机(PMSM)系统中的建模误差、随机扰动以及输入饱和等问题,提出了一种基于神经网络的自适应控制策略. 通过构建包含建模误差和随机扰动的PMSM动力学模型,引入神经网络对系统的不确定动态特性进行实时逼近,并结合饱和补偿机制有效应对输入受限问题,设计了一种能够在复杂工况下稳定工作的控制器. 为解决传统反步法中的“微分爆炸”问题,本文采用了非递归跟踪微分器,并针对由其引入的滤波误差及输入受限导致的饱和误差,设计了专门的补偿信号. 通过随机系统的Lyapunov稳定性理论严格证明,闭环系统的所有误差依概率一致最终有界.
仿真结果表明,该控制策略在不同复杂工况下均表现出优异的轨迹跟踪精度和系统鲁棒性. 在理想条件下,系统输出能够精准跟随期望轨迹; 在建模误差、随机扰动及输入饱和等条件下,系统依然能够保持良好的跟踪性能和稳定性. 此外,即使在名义参数变化较大的情况下,控制器仍能快速调整,确保系统的输出误差稳定在很小的范围内(±0.005 rad). 相比传统方法,本文控制器有效解决了输入受限、随机扰动及建模不确定性对系统性能的影响. 为了进一步验证所提控制算法的工程可行性,本文基于dSPACE平台搭建了半实物仿真实验系统,并在实际PMSM系统上开展了跟踪控制实验. 实验结果表明,控制器能够在满足输入饱和约束的前提下实现高精度跟踪,验证了该方法在实际系统中的有效性和鲁棒性.
1输出轨迹跟踪
Fig.1Output trajectory tracking
2输出轨迹跟踪误差
Fig.2Output tracking errors
3系统状态x2的响应
Fig.3Responses of system state x2
4系统状态x3的响应
Fig.4Responses of system state x3
5系统状态x4的响应
Fig.5Responses of system state x4
6实际控制信号uq曲线
Fig.6Actual control signal uq curves
7实际控制信号ud曲线
Fig.7Actual control signal ud curves
8受控系统状态x1x2相图
Fig.8Phase diagram of controlled system states x1 and x2
9基于dSPACE的半实物仿真平台
Fig.9dSPACE-based HIL simulation platform
10基于Simulink和dSPACE的实验流程
Fig.10Experimental procedure based on Simulink and dSPACE
11输出轨迹跟踪
Fig.11Output trajectory tracking
12输出轨迹跟踪误差
Fig.12Output tracking error
13系统状态x2的响应
Fig.13Response of system state x2
14系统状态x3的响应
Fig.14Response of system state x3
15系统状态x4的响应
Fig.15Response of system state x4
16实际控制信号uq曲线
Fig.16Actual control signal uq curve
17实际控制信号ud曲线
Fig.17Actual control signal ud curve
1永磁同步电机参数名义值与实际值
Table1Nominal and Actual Parameters of the PMSM
PU Ruiqiang. Research on position sensorless control strategy of high speed PMSM. Xi’an: Xi’an Technological University,2023.(蒲瑞强. 高速PMSM无位置传感器控制策略研究. 西安: 西安工业大学,2023.)
SHAN Zhengya, ZHOU Huawei. Position control of PMSM based on sliding mode state observer. Journal of Power Supply,2025:1-12.(单正娅, 周华伟. 基于滑模状态观测器的PMSM位置控制. 电源学报,2025:1-12.)
LYU Congxin, WANG Bo, CHEN Jingbo,et al. Review and prospect of control strategies for permanent magnet synchronous motors. Electric Drive Automation,2022,44(4):1-10.(吕从鑫, 汪波, 陈静波, 等. 永磁同步电机控制策略综述与展望. 电气传动自动化,2022,44(4):1-10.)
TIAN Keke, JIAN Wei, ZHANG Jinliang,et al. Vector control of permanent magnet synchronous motor based on improved LADRC. Journal of Hubei University of Automotive Technology,2024,38(4):69-74.(田科科, 简炜, 张金亮, 等. 基于改进LADRC的永磁同步电机矢量控制. 湖北汽车工业学院学报,2024,38(4):69-74.)
DU Yongkang, MIAO Jingli. Research on sliding mode control strategy of three-phase PMSM based on disturbance observer. Mechanical Engineering and Automation,2024,(6):191-193.(杜永康, 苗敬利. 基于扰动观测器的三相PMSM滑模控制策略研究. 机械工程与自动化,2024,(6):191-193.)
ZHANG S Z, MA X L. A PMSM sliding-mode control system based on exponential reaching law. International Conference on Computational Aspects of Social Networks. Taiyuan: IEEE,2010:412-414.
ZHAO Xianhua, XIA Yujing, GAO Xingchao,et al. Sensorless control for PMSM based on adaptive sliding mode observer. Agricultural Equipment & Vehicle Engineering,2021,59(12):84-87.(赵仙花, 夏宇敬, 高兴超, 等. 基于自适应滑模观测器的PMSM无传感器控制. 农业装备与车辆工程,2021,59(12):84-87.)
YANG J Z, LI Y X, TONG SC. Adaptive NN finite-time tracking control for PMSM with full state constraints. Neurocomputing,2021,443:213-221.
XU Chunxiu, LIU Wenchang, XIAO Huiqin. Study on ESO-based robust control of PMSM. Electrical Engineering,2023,(23):59-62.(徐春秀, 刘文昌, 肖会芹. 基于ESO的PMSM鲁棒控制研究. 电工技术,2023,(23):59-62.)
PENG Yunjian, HAN Fangmo, CHEN Jionghong,et al. Synchronous generator excitation controller for random disturbance rejection. Control Theory & Applications,2018,35(4):438-446.(彭云建, 韩芳墨, 陈炯鸿, 等. 具有随机扰动抑制的同步发电机励磁控制器. 控制理论与应用,2018,35(4):438-446.)
HU Jianhui, ZOU Jibin. Adaptive backstepping control of permanent magnet synchronous motors with parameter uncertainties. Control and Decision,2006,21(11):1264-1269.(胡建辉, 邹继斌. 具有不确定参数永磁同步电动机的自适应反步控制. 控制与决策,2006,21(11):1264-1269.)
FU C, YU J, ZHAO L,et al. Barrier Lyapunov function-based adaptive fuzzy control for induction motors with iron losses and full state constraints. Neurocomputing,2018,287:208-220.
CHEN C L P, LIU Y J, WEN G X. Fuzzy neural network-based adaptive control for a class of uncertain nonlinear stochastic systems. IEEE Transactions on Cybernetics,2014,44(5):583-593.
ZHANG J, REN C G, FU Q. Adaptive event-triggered control for stochastic nonlinear multi-agent systems with unknown control directions. International Journal of Control, Automation and Systems,2021,19(9):2950-2958.
SONG S, PARK J H, ZHANG B,et al. Adaptive NN finite-time resilient control for nonlinear time-delay systems with unknown false data injection and actuator faults. IEEE Transactions on Neural Networks and Learning Systems,2022,33(10):5416-5428.
LEI Yuan, LI Cong, SONG Yankui,et al. Neural network adaptive control of the robot joint with limited input. Journal of Chongqing University,2023,46(6):101-111.(雷源, 李聪, 宋延奎, 等. 输入受限下机器人关节神经网络自适应控制. 重庆大学学报,2023,46(6):101-111.)
LI H, BAI L, ZHOU Q,et al. Adaptive fuzzy control of stochastic nonstrict-feedback nonlinear systems with input saturation. IEEE Transactions on Systems, Man,and Cybernetics: Systems,2017,47(8):2185-2197.
LI R B, NIU B, FENG Z G,et al. Adaptive neural design frame for uncertain stochastic nonlinear non-lower triangular pure-feedback systems with input constraint. Journal of the Franklin Institute,2019,356(16):9545-9564.
MA J, GE S S, ZHENG Z,et al. Adaptive NN control of a class of nonlinear systems with asymmetric saturation actuators. IEEE Transactions on Neural Networks and Learning Systems,2015,26(7):1532-1538.
BASIN M, YU P, SHTESSEL Y. Finite-and fixed-time differentiators utilising HOSM techniques. IET Control Theory & Applications,2017,11(8):1144-1152.