摘要
目前国内外关于神经网络分岔动力学研究主要集中于神经元间的二元交互, 而神经网络中普遍存在神经元间以群和组的形式发生的高阶交互作用. 但是如今关于高阶交互作用对神经网络动力学的影响研究还不深入. 研究具有高阶交互作用的神经网络可以进一步探索真实神经网络中的高阶属性和动力学演化规律. 为此, 本文提出了一类高阶交互下具有环星型结构的分数阶时滞神经网络模型. 选取时滞作为分岔参数, 给出系统的稳定性和Hopf分岔的充分条件, 揭示高阶耦合系数、自反馈系数和分数阶次对系统动力学的影响机制.
Abstract
Currently, studies on the bifurcation dynamics of neural networks mainly focus on the binary interactions between neurons, while higher-order interactions between neurons in the form of groups and clusters are common in neural networks. However, the effect of higher-order interactions on the dynamics of neural networks is not well understood. The study of neural networks with higher-order interactions can further explore the higher-order properties and dynamics of real neural networks. In this paper, we propose a class of fractional-order time-delayed neural network with ring-star structure under higher-order interactions. The time delay is chosen as the bifurcation parameter, and the stability of the system and the sufficient condition for Hopf bifurcation are given, which reveals the mechanism of the higher-order coupling coefficient, the self-feedback coefficient and the fractional-order on the system dynamics.
Keywords
1 引言
神经网络是大脑信息[处理的基本载体. 通过神经元之间的电化学信号传递和突触可塑性机制,神经网络表现出丰富的动态特性,包括同步振荡、混沌行为以及分岔现象 [1-6] 等. 其中,Hopf分岔 [7-12] 作为一类重要的动态分界点,能够有效刻画神经活动从稳态到周期振荡的临界转变过程,为揭示癫痫发作、记忆编码等生理病理机制提供了关键理论工具. 传统神经网络模型大多是基于神经元间的二元交互关系构建 [13-15] . 然而,随着神经科学的深入研究,科学家发现大脑中不仅包含神经元之间的二元交互,还包括以群、组的形式发生的高阶交互作用 [16] . 如果不清楚神经元群之间复杂的高阶交互机制或者神经网络上复杂的动力学机理,依然无法揭示大脑的组织结构和运作原理. 为此,神经网络动力学的研究逐渐从简单的二元交互转向更为复杂的高阶交互作用. 但是目前对于高阶交互作用下神经网络的动力学研究仍处于探索阶段.
高阶交互作用广泛存在于社交网络 [17]、生态系统 [18] 以及化学系统 [19] 等. 然而,研究表明人脑从整个大脑网络到局部神经环路具有较强的高阶信息交互(以群或组的形式). 例如,在神经环路和认知学习方面,文献 [20] 揭示了团和洞结构在大脑信息处理中的核心作用. 这些结构不仅促进了局部信息的快速整合,还通过形成复杂的环状路径支持跨脑区的并行计算,从而实现了高阶认知功能的高效协调. 在脑疾病诊断方面,文献 [21] 通过构建帕金森病患者的高阶功能连接网络拓扑结构,揭示了患者与健康对照组之间的显著差异. 研究发现,帕金森病患者的高阶功能网络表现出信息交互的中断和小世界性的减弱,这表明帕金森病患者的高阶功能网络的平衡被破坏,导致信息处理效率下降. 因此,高阶交互分析能够充分捕捉多个神经元之间的相互作用和动态过程. 这类信息交互无法通过神经元之间简单的二元交互,例如神经元之间的突触连接或人工神经网络中的权重来描述. 综上所述,高阶交互突破了传统的交互限制,能够更真实地描述神经集群的同步激活、多神经元协同编码等复杂动力学现象,精准捕捉真实神经网络的高阶属性和动力学演化规律. 此外,高阶交互作用可能引入传统神经网络模型未涉及的分岔类型,进而解释脑疾病发作的突现性相变. 所以高阶交互不仅揭示了神经系统中信息处理的复杂性,还为理解大脑功能、设计高效的人工智能算法提供了新的视角. 但值得注意的是,关于高阶交互作用对神经网络分岔动力学的影响机制的研究鲜少提及.
目前神经网络分岔动力学 [22] 的研究已经取得较多成果,其中针对星型结构和环状结构的神经网络的分岔动力学方面,文献 [23] 首次研究了一类具有3个环和多时滞的高维神经网络的稳定性和Hopf分岔. 文献 [24] 研究了一个具有多时滞的双环交叉神经网络的分岔动力学. 文献 [25] 利用带有忆阻器的星型耦合 Hindmarsh-Rose神经元模型研究其集体动力学. 文献 [26] 构建了两个以星型结构进行耦合的Hopfield型神经网络模型并研究其动态行为. 由于整数阶导数具有局部记忆性,难以精确刻画神经网络系统中广泛存在的动力学行为,但是分数阶导数可以赋予系统全局记忆性与遗传特性,因此分数阶模型克服了整数阶模型在描述神经网络系统的不足 [27-29] . 在分数阶时滞神经网络研究方面,文献 [30] 分别探索了整数阶与分数阶双向联想记忆(bidirectional associative memory,BAM)神经网络的稳定性和Hopf分岔. 文献 [31] 研究了具有两种不同时滞的分数阶Cohen-Grossberg神经网络的稳定性和分岔. 文献 [32] 对多时滞分数阶Hopfield神经网络的Hopf分岔进行了分析. 尽管上述文献都研究了分数阶与时滞对神经网络的影响,但是都没有引入高阶交互作用,并探索其对神经网络稳定性与动力学的影响. 也就是说,目前对于高阶交互作用下的神经网络分岔动力学缺乏研究. 特别是高阶交互作用对神经网络的稳定性和Hopf分岔的影响机制尚未得到有效解答,这导致了现有理论模型难以准确刻画真实神经网络的动态特性,制约了类脑计算与神经科学的发展. 为此,本文通过将高阶交互作用引入具有环星型结构的分数阶时滞神经网络进行研究,探索高阶交互作用对神经网络稳定性与动力学的影响机制.
本文提出了一类高阶交互下具有环星型结构的分数阶时滞神经网络,研究了网络的稳定性和 Hopf分岔. 本文的主要贡献如下:
1)提出了一类高阶交互下具有环星型结构的分数阶时滞神经网络,构建了环星型三阶交互结构来模拟真实神经网络的架构;
2)给出了系统的稳定性和Hopf 分岔的充分条件,严格推导了时滞诱导神经网络Hopf分岔的临界条件;
3)揭示了高阶耦合系数、自反馈系数和分数阶次对神经网络动力学的影响机制.
本文的其余部分组织如下: 在第2节中,介绍了预备知识; 在第3节中,提出了一类高阶交互下具有环星型结构的分数阶时滞神经网络模型; 在第4节中,分析了系统的平衡点及稳定性,推导了时滞诱导系统Hopf 分岔的临界条件; 在第5节中,通过数值仿真验证了理论结果的正确性,揭示了高阶耦合系数、自反馈系数和分数阶次对系统动力学的影响机制; 在第6节中,得出结论并进行了总结.
2 预备知识
本节介绍分数阶导数的定义. 关于分数阶导数有多种定义,如Riemann-Liouville 分数阶导数和Caputo 分数阶导数. 与Riemann-Liouville分数阶导数相比,Caputo分数阶导数当α = 1时退化为传统的整数阶导数,更适合描述具有明确初值问题的系统. 因此,本文选择Caputo分数阶导数.
定义 1 Caputo分数阶导数 [33] 的定义如下:
其中: n − 1<α <n; Γ(·)为Gamma函数,且Γ(s)=. 当0 <α <1时,可以得到
考虑如下具有多个时滞的n维线性分数阶系统:
(1)
其中:代表时滞
系统(1)的特征方程为
(2)
定理 1 假设系统(1)有唯一的零解. 若特征方程(2)的所有根都有负实部时,则系统(1)在原点处是局部渐近稳定的[34] .
引理 1 假设特征方程(2)的所有根都满足以下结果适用于系统(1)[34] :
1)若σij = 0,则系统(1)的在原点处是局部渐近稳定的;
2)若∀σij >0,特征方程(2)都没有纯虚根,则系统(1)在原点处是局部渐近稳定的.
3 神经网络模型
本节提出一类高阶交互下具有环星型结构的分数阶时滞神经网络模型,其拓扑结构如图1所示.
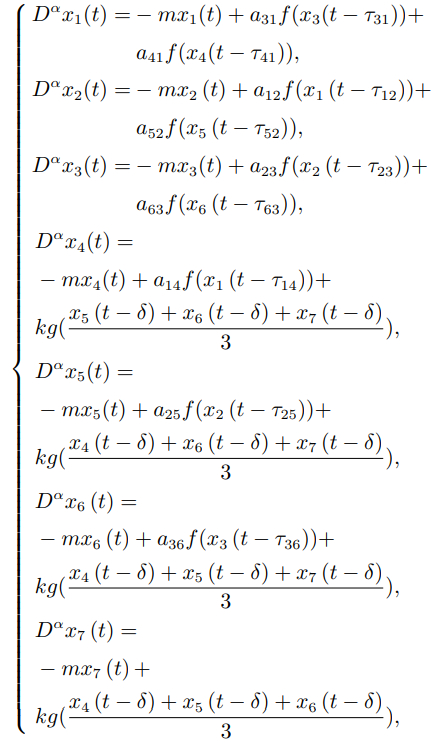
神经网络模型的数学表达式如下:

(3)
其中: α表示分数阶次, xi (t)是第i个神经元在t时刻的状态,m代表神经元的自反馈系数,aij和τij表示第i个神经元与第j个神经元的二元连接权重和时滞,f(·)和g(·)代表激活函数, k表示高阶耦合系数, δ代表神经元之间高阶耦合的时滞.
图1高阶交互下环星型结构图
Fig.1Diagram of ring-star structure under higher-order interactions
注 1 本文提出的神经网络模型(3)在交互方式和拓扑结构方面具有显著创新性. 与经典的神经网络模型,如BAM 神经网络 [35]、Cohen-Grossberg神经网络 [36] 和Hopfield神经网络 [37] 仅考虑神经元之间二元交互不同,神经网络模型(3)不仅考虑了二元交互,而且考虑了神经元之间的高阶交互作用,即神经元4,5,6,7中任意一个神经元都受到其他3个神经元的三阶交互作用,这是一种高阶交互方式. 此外,神经元 1,2,3之间形成单向二元交互、神经元1和神经元4、神经元2 和神经元5、神经元3和神经元6之间为双向二元交互. 在拓扑结构上,与已有的环形神经网络 [38] 和星形神经网络 [39] 不同,神经网络模型(3)具有环形和星形复合结构,更符合大脑功能模块的生物神经网络特征.
在研究中,作出以下假设:
注 2 在目前的神经网络动力学研究中,主流的激活函数有tanh函数、mish函数和swish函数. 其中,mish函数的无界性会破坏分数阶系统的稳定性,swish 函数的非单调性会干扰后续对系统Hopf分岔条件的推导,然而由于tanh函数的连续可微性、有界性和单调性 [40-42],在一系列文献中被广泛采用,此外tanh函数作为一种典型的S型函数,不会修改神经网络的原始平衡状态,因此本文选取tanh函数作为激活函数 [43-45],符合常用激活函数的选择且满足H1.
4 局部稳定性和Hopf分岔
本节研究系统(3)的局部稳定性和Hopf分岔. 对于系统(3),原点是其平凡平衡点,对其在原点处进行线性化得到
(4)
其中: bij = aijf′(0),c = kg′(0),i,j = 1,2,· · ·,7.
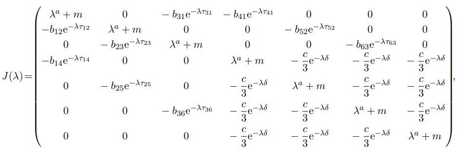
系统(3)的特征矩阵为(5),其特征方程为

(5)
(6)
其中:
4.1 无时滞情况
当τ = 0 时,系统(3)为无时滞网络,此时令 φ = λ α + m,则特征方程(6)转化为
(7)
根据代数基本定理,它在复平面上有7个根,定义为
其中ur和vr分别代表实部和虚部. 作出以下假设:
引理 2 假设τ= 0. 若H3成立,则方程(7)所有根都具有负实部,此时无时滞网络(3)在零平衡点处是局部渐近稳定的.
证 如果H3成立,那么即方程(7)的所有根都具有负实部,此时成立. 无时滞网络(3)在零平衡点处是局部渐近稳定的. 证毕.
4.2 有时滞情况
当τ >0时,对特征方程(6)的左右两边同乘得到
(8)
令方程(8)变为
(9)
方程(9)在复平面的根记作
其中Xr和Yr分别为实部和虚部. 设方程(8)有一对纯虚根则满足
(10)
将代入方程(10)得到
(11)
分离等式(11)的实部和虚部得到
(12)
则
(13)
由得到
(14)
整理得到
(15)
令
(16)
其中作如下假设:
引理 3 对于方程(8),以下结果成立.
1)若H4成立,则方程(8)不存在纯虚根;
2)若H5成立,则方程(8)至少存在一对纯虚根.
证 1)如果 H4成立,那么因为对于成立,所以没有正实根. 由知方程(15)不存在正实根. 也就是说,方程(8)当时不存在纯虚根;
2)如果H5成立,那么存在一个根满足注意到因为0 对于ζ >0成立,所以存在正实根使得0,由知方程(15)有正实根. 也就是说,方程(8)至少有一对纯虚根. 证毕.
由方程(13)可得
(17)
定义
(18)
其中τ0和ω0分别是分岔阈值和临界频率.
为满足横截性条件,作以下假设:
其中:
定理 2 令λ (τ)=m (τ)+in(τ)是方程(8)的根,当τ =τ0时满足m(τ0)= 0,n(τ0)= ω0. 若H6成立,则以下横截性条件成立:
证 对方程(8)两边关于τ求导得到
如果H6成立,那么有
则
所以有
证毕.
注 4 Hopf分岔 [49] 描述的是平衡点的一个共轭复特征值对从虚轴穿过,当参数跨过临界值时,系统从稳定平衡点演化出极限环. 横截性条件从物理上保证特征值横向穿过虚轴.如果没有横截性条件,那么特征值可能在虚轴上滑动而不穿过,此时平衡点稳定性不变,系统不会产生周期解,即不发生Hopf分岔. 为此,本文在H6 下严格证明了特征值的实部关于τ的导数为正,从而确保横截性条件的成立.
定理 3 若H1和H2均成立,则以下结论对于系统(3)是正确的.
1)如果 H3和H4 成立,那么系统(3)在原点处对 τ >0是局部渐近稳定的;
2)如果 H3,H5和H6 成立,当τ ∈ [0,τ0)时,系统(3)在原点处是局部渐近稳定的; 当τ >τ0时,系统(3)在原点处发生Hopf分岔.
5 数值仿真
本节进行数值仿真验证理论结果,选取激活函数 f(·)= g (·)= tanh(·),时滞τij = δ = τ . 系统(3)的参数选择如下:
通过计算等式(9)得到讨论m = 1.7和m = 1两种情况.
当m = 1.7时,H3和H4成立,此时当 τ >0时,系统(3)在原点处局部渐近稳定,如图2所示.
图2当τ = 1 s时,系统(3)在原点处局部渐近稳定
Fig.2When τ = 1 s, system (3) is locally asymptotically stable at the origin
当m = 1时,H3和H5 成立,此时 τ0 = 0.51 s. 当 τ = 0.49 s <τ0时,系统(3)在原点处局部渐近稳定,如图3所示.
图3当τ = 0.49 s <τ0时,系统(3)在原点处局部渐近稳定
Fig.3When τ = 0.49 s<τ0, system (3) is locally asymptotically stable at the origin
当τ = 0.53 s >τ0时,系统(3)发生 Hopf 分岔,出现极限环,如图4所示.
当m = 1,α = 0.9 时,图5展示高阶耦合系数k与分岔阈值τ0的关系曲线.
由图5可见,τ0起初随着k的增大而增大. 然而当 k = 2时,τ0达到最大值,随着k的进一步增大,τ0开始逐渐减小. 这表明高阶耦合系数与分岔阈值并不是呈线性关系. 当k ∈ [0,2]时,增大高阶耦合系数会使得系统(3)的Hopf分岔延迟,稳定域扩大; 而当k ∈(2,8]时,增大高阶耦合系数会使得系统(3)的Hopf分岔提前,稳定域缩小.
图4当τ = 0.53 s >τ0时,系统(3)发生Hopf分岔,出现极限环
Fig.4When τ = 0.53 s >τ0, system (3) undergoes Hopf bifurcation and a limit ring appears
图5高阶耦合系数k与分岔阈值τ0的关系曲线
Fig.5The relationship curve between the higher-order coupling coefficient k and the bifurcation threshold τ0
接下来,研究自反馈系数m与系统(3)分岔阈值τ0 的关系. 为了确保分岔阈值τ0存在,选取自反馈系数 m ∈(0.262 6,1.682),如图6所示. τ0随着m的增大而增大,这表明随着自反馈系数的增大,系统(3)的Hopf 分岔发生延迟,稳定域扩大.
最后,在m = 1,k = 0.7下研究分数阶次α与系统(3)的分岔阈值τ0的关系,如图7所示. τ0随着α的增大而减小,这表明随着分数阶次的增大,系统(3)的Hopf 分岔提前,稳定域缩小.
注 5 本文通过数值仿真验证了理论分析结果的正确性. 研究发现,高阶耦合系数与神经网络的分岔阈值呈现出独特的非线性关系. 当k ∈ [0,2]时,增大高阶耦合系数k,τ0 增大,系统(3)的Hopf分岔延迟,稳定域扩大; 而当k ∈(2,8] 时,增大高阶耦合系数k,τ0减小,系统(3)的Hopf分岔提前,稳定域缩小. 这一现象与现有神经网络动力学研究结果中自反馈系数和分数阶次与神经网络的分岔阈值呈线性关系是截然不同的,这说明高阶交互作用对神经网络动力学的影响至关重要.
图6自反馈系数m与分岔阈值τ0的关系曲线
Fig.6The relationship curve between the self-feedback coefficient m and the bifurcation threshold τ0
图7分数阶次α与分岔阈值τ0的关系曲线
Fig.7The relationship curve between fractional-order α and bifurcation threshold τ0
6 结论
高阶交互作用广泛存在于神经网络中,但传统的神经网络模型主要集中在二元交互上. 迄今为止,有关高阶交互作用下的神经网络的动力学研究还很少. 特别是高阶交互作用对神经网络动力学的影响机制更是值得进一步的探索和研究. 为此,本文研究了一类高阶交互下具有环星型结构的分数阶时滞神经网络分岔. 通过分析特征方程根的分布,得到系统的稳定性和产生 Hopf 分岔的充分条件. 数值仿真结果表明,当时滞超过分岔阈值时,系统在原点发生Hopf分岔,出现周期性震荡,并产生极限环. 除此之外,本文揭示了高阶耦合系数、自反馈系数和分数阶次对系统动力学的影响机制. 其中,高阶耦合系数对系统分岔阈值的影响存在阈值,当高阶耦合系数处在阈值范围内,增大高阶耦合系数会延迟系统的Hopf分岔. 当其超过阈值后,增加高阶耦合系数会加快系统的Hopf分岔,增大自反馈系数会延迟系统的Hopf分岔,增大分数阶次会加快系统的Hopf分岔.
然而,本文研究的高阶交互下具有环星型结构的分数阶时滞神经网络仍然存在着网络拓扑结构为单层且网络规模小的局限性. 因此,在未来的研究中将首先研究高阶交互作用下的多层神经网络分岔,探索高阶交互作用对多层神经网络动力学的影响机制. 此外,将进一步研究高阶交互作用如何影响大规模神经网络的动力学行为.