摘要
针对三维空间中多航天器协同捕获机动目标问题, 提出一种具有终端角度约束和时间一致性约束的固定时间收敛协同制导律. 建立三维场景下航天器–目标视线(LOS)坐标系, 将加速度分解为沿视线方向和垂直视线方向. 采用代数图论和分布式合作协议算法对航天器沿视线方向加速度进行设计, 实现多个航天器的时间一致性约束. 采用滑模控制理论和固定时间收敛理论对垂直视线的两个方向加速度进行设计, 实现视线倾角、视线偏角在固定时间内收敛到期望值. 针对目标加速度未知的问题, 采用固定时间观测器进行估计, 并在制导指令中进行补偿. 仿真结果表明, 所提出的协同制导方法能够在固定时间内实现剩余飞行时间一致和视线角的收敛.
Abstract
Aiming at the problem of cooperative capture of maneuvering target by multiple spacecraft in three dimensions (3D), a fixed-time convergence cooperative guidance law with terminal angle constraint and time consistency constraint is proposed. The 3D line-of-sight (LOS) coordinate system between spacecraft and target is established, and the acceleration is decomposed into three directions including the direction along the LOS and the directions perpendicular to the LOS. The acceleration along the LOS is designed by algebraic graph theory and distributed cooperative protocol algorithm to realize the time consistency constraint of multiple spacecraft. The accelerations perpendicular to the LOS are designed by sliding mode control theory and fixed-time convergence theory, so that the LOS angles converge to the expected value within a fixed time. In addition, the unknown target acceleration is estimated by a fixed-time observer and compensated in the guidance command. The simulation results show that the proposed cooperative guidance method can achieve the convergence of time-to-go and the terminal LOS angle within a fixed time.
1 引言
随着高速目标机动能力的不断提升,采用一个航天器很难成功捕获机动目标 [1] . 随着先进控制方法的提出和多智能体协同技术发展,采用多个航天器协同捕获一个目标成为可能. 与传统的一对一捕获模式相比,多个航天器通过控制视线角度、同时攻击等方式,能够在降低对自身性能要求的同时,有效提升对目标的破坏性 [2-3] . 因而,近年来多航天器协同制导问题得到广泛关注.
相比一对一模式,早期的协同制导算法致力于控制多航天器的剩余飞行时间趋于一致,从而实现饱和攻击,有效提升捕获概率. Jeon等 [4] 开创性地提出撞击时间控制制导律(impact time control guidance,ITCG),实现多个航天器具有相同的剩余飞行时间. 文献 [5] 将参数时变比例导航问题表述为一个非线性最优控制问题,通过离散化处理,使用二阶凸优化实现在发射前为航天器设定飞行时间,完成同时攻击的目的. 文献 [6] 建立二维视线坐标系(line-of-sight,LOS),利用多智能体协同控制理论设计沿视线方向和垂直视线方向制导律,实现控制多个航天器在期望的视线方向上同时攻击目标. 文献 [7] 基于几何修正的比例导引设计具有碰撞角度约束的制导律,并使用一致性算法,设计一种具有航天器速度限制的协同制导律,该算法能够同时满足碰撞角度约束和剩余飞行时间约束. 文献 [8] 基于反馈线性化的速度控制器和基于反步法的航迹控制器,实现对速度和航迹角参考信号的稳定跟踪. 文献 [9] 基于线性化对抗模型和一致性控制理论,提出一种无奇异性的协同制导律.
上述算法针对静止目标或低速移动目标,为增加算法的使用价值,学者们进一步研究了针对机动目标的协同制导律. 文献 [10] 基于比例导引方法,提出一种针对机动目标的多航天器协同制导律. 文献 [11] 针对机动目标,推导末段捕获窗口的解析方程,并根据航天器的航向角约束,计算了所有位置的可控裕度. 文献 [12] 针对高速航天器俯冲段精确打击任务需求,建立了两段式轨迹规划策略,实现了一种能够同时满足落速与落角约束的轨迹规划方法. 文献 [13] 将鲁棒三维协同制导律与局部滤波算法相结合,当一些航天器失效时,该算法能够保证剩余航天器同时命中目标. 文献 [14] 提出一种给定时间收敛的协同制导律,使得多个航天器能够以预定的角度碰撞目标. 文献 [15] 利用超扭曲滑模控制实现协同制导中的时间一致性,有效改善控制曲线. 文献 [16] 将超扭曲滑模控制算法与有限时间收敛滑模相结合,实现多航天器时间一致性. 文献 [17] 提出一种自适应光滑二阶滑模控制律,在参数不确定和具有未知边界扰动情况下保证控制信号平滑. 文献 [18] 针对存在干扰和系统参数不确定性问题,基于Lyapunov函数方法对有限时间内稳定的系统进行分析.
上述协同制导律均为有限时间收敛,收敛速度取决于系统的初始状态,限制了算法在不同初始条件下的推广. 近些年固定时间收敛方法研究得到关注,固定时间收敛方法的优点在于其收敛时间与初始条件无关. 文献 [19] 研究三维场景多枚导弹拦截机动目标问题,在垂直视线方向提出一种固定时间非奇异终端滑模控制方法,实现了视线角在固定时间内收敛至期望值,但该方法在沿视线方向仍使用有限时间收敛方法对制导律进行设计. 文献 [20] 提出一种滑模控制器,能够实现存在未知但有界扰动下二阶系统的固定时间收敛,避免使用观测器对系统扰动进行观测,降低了系统的复杂性. 文献 [21] 研究具有全局鲁棒性的固定时间收敛算法,针对干扰有界的非线性二阶系统,提出一种指数形式的控制方法,实现系统在固定时间内收敛. 文献 [22] 基于固定时间一致性理论和固定时间观测器,提出一种固定时间收敛的协同制导算法.
本文对固定时间收敛方法进行研究,提出一种针对机动目标、具有终端角度约束和时间一致性约束的固定时间收敛协同制导算法. 贡献如下:
1)相比文献 [16] 提出的有限时间收敛的协同制导律,本文提出的协同制导律是固定时间收敛的,固定时间收敛方法的收敛速度与初始状态无关,提升了算法应用范围;
2)相比文献 [23] 提出的滑模结构共12个参数,本文提出的滑模结构共7个参数,结构简单,易于实现,并且收敛时间更短;
3)相比前期工作文献 [24],本文将具有角度和时间约束的固定时间收敛协同制导律扩展至三维,并通过设计观测器,使得算法设计不受弹目距离的约束,将算法的适用范围由中制导段扩展至末制导段.
2 问题描述与基础理论
2.1 问题描述
多个航天器Mi(i = 1,· · ·,n)从不同方位攻击同一目标T的三维几何结构如图1所示. OXY Z为发射系,MiXLYLZL为航天器Mi 和目标T 之间的视线坐标系. 假设航天器和目标可以通过执行机构实现任意方向的加速度, ai和vi分别表示航天器Mi的加速度矢量和速度矢量,ar,i,aϑ,i和aφ,i分别表示ai在视线坐标系MiXLYLZL中沿3个坐标轴的分量,aT和vT分别表示目标的加速度矢量和速度矢量,aT 在视线坐标系MiXLYLZL中沿3个坐标轴的分量为aTr,i,aTϑ,i和 aTφ,i. 航天器Mi和目标T之间的相对运动方程为 [23]
(1)
(2)
(3)
式中: ri为第i个航天器和目标之间的距离,λϑ,i为第 i个航天器和目标在发射系中的视线倾角,λφ,i为第i 个航天器和目标在发射系中的视线偏角.
设定义
(4)
(5)
图1三维协同制导示意图
Fig.13-D cooperative guidance geometry
2.2 基础理论
2.2.1 通信拓扑
航天器之间的通信关系由通信拓扑图定义为 Ω(ν,ε),ν = {1,2,· · ·,n}为通信拓扑节点,ε = ν×ν 是通信拓扑中的边,一条边表示节点i能够向节点j传递信息. 定义连接矩阵如果(i,j)∈ε,则aij = 1,反之aij = 0. 定义通信拓扑的拉普拉斯矩阵计算方法为
(6)
如果对于任意的成立,则称通信拓扑是无向的,如果通信拓扑中的信息能够在任意两个节点间通信,则称通信拓扑是连通的.
引理 1 [25] 如果无向图 Ω(ν,ε)是连通的,则具有以下性质:
1)
2)不等式中的变量λ2(L)和λN(L)表示除0外L的最小和最大特征值,
引理 2 [23] 若满足: x1,x2,· · ·, xn >0,q >1,0 <则下式成立:
(7)
(8)
2.2.2 固定时间收敛理论
引理 3 [26] 设非线性系统
(9)
式中f为连续方程,且f(0)= 0. 如果存在一个连续可微的正定径向无界函数使得
(10)
式中: p1 >0,p2 >0,0 <γ1 <1 <γ2,则非线性系统在零点全局固定时间稳定,并且过渡时间满足
(11)
引理 4 [27] 设非线性系统
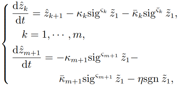
(12)
若构建如下观测器:

(13)
式中:为zk的估计值,和为正,且使得多项式为赫尔维茨多项式. 从初始时刻到稳定跟踪zk的过渡时间满足
(14)
式中:Pl为Lyapunov方程Pl ×的解,Ql为正定矩阵,l = 1,2; ν = λmin(Q1)/λmax(P1),为
(15)
引理 5 [21] 设非线性系统
(16)
式中: λ>0,µ>0,且λ,µ满足为系统干扰项,且|d(t)| <δ,δ >0. 如果满足k >则零点全局固定时间稳定,并且过渡时间满足
(17)
本文做出如下假设:
假设 1 航天器与目标相对距离ri、相对距离的导数、视线倾角λϑ,i、视线偏角λφ,i、视线倾角速率、视线偏角速率能够获得实时的真值.
假设 2 aT连续且mt 阶可微,并且
假设 3 航天器的通信拓扑是无向且连通的.
3 协同制导算法设计
由式(1)–(3)构成的模型可知,相对距离ri的大小受ar,i影响,视线倾角λϑ,i的大小受aϑ,i影响,视线偏角 λφ,i的大小受aφ,i影响. 因此,对ar,i进行设计,以实现多航天器的时间一致性. 对aϑ,i和aφ,i进行设计,以实现航天器终端视线角度约束. 本文所使用的终端视线角约束和文献 [28-30] 相同,该约束一方面能够消除视线角误差,保证视线角速率为0; 另一方面能够控制航天器从期望的角度飞向目标,具有现实意义.
3.1 沿视线方向加速度设计
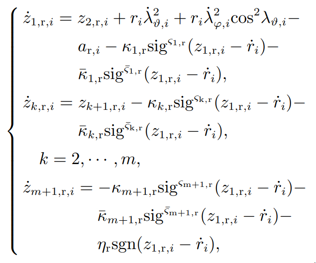
设航天器编号用角标i表示,i = 1,· · ·,n. 对沿视线方向加速度进行设计,使得每个航天器的剩余飞行时间趋于一致,从而实现时间一致性约束. 航天器i 的剩余飞行时间tgo,i为
(18)
对式(18)求导,并结合式(1)可得
(19)
根据假设2,目标加速度满足:
(20)
设计如下固定时间观测器,用于表示:

(21)
式中: 为观测值; 为对应变量的观测值; 根据引理4确定.
定义相对剩余飞行时间误差
(22)
定义变量ur,i
(23)
式中: αr >0,βr >0,0 <pr <1,qr >1. 构建航天器沿视线方向加速度
(24)
由式(19)(23)–(24)组成的系统能够保证剩余飞行时间tgo,i在固定时间内趋于一致[23] .
3.2 垂直视线方向加速度设计
对于第i个航天器,定义如下变量:
(25)
(26)
(27)
式中: λϑ,d,i为期望的视线倾角,λφ,d,i为期望的视线偏角. 由式(2)–(3)可以构建如下的垂直视线方向运动方程:
(28)
式中:
(29)
(30)
(31)
根据假设2,目标加速度分量aTϑ,i,aTφ,i满足
(32)
(33)
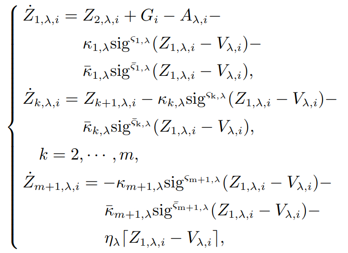
为构建目标加速度分量aTϑ,i,aTφ,i的观测器,定义如下变量:
(34)
(35)
式中:
(36)
根据引理4,设计如下固定时间观测器,用于表示 ATλ,i:

(37)
式中:为对应变量的观测值; 由引理4确定;
为使得状态变量X1,i在固定时间内收敛至0,设计如下滑模面:
(38)
(39)
(40)
式中β,α1,µ1根据引理5进行参数选择. 根据滑模面和运动方程,构建垂直视线方向加速度为
(41)
式中: m1,ω1,m2,ω2根据引理3进行选择; Di为
(42)
(43)
(44)
定理 1 由式(25)–(44)组成的系统能够保证在固定时间内,视线角收敛至期望值.
证状态变量X1,i包括视线倾角和视线偏角两部分,分别进行证明,证明过程分为4个步骤. 第1步证明式(37)的观测器在固定时间内收敛; 第2步证明在观测器收敛前系统的状态是有界的; 第3步证明在固定时间内到达sϑ,i = 0的滑模面; 第4步证明在滑模面附近视线倾角和视线偏角能够在固定时间内收敛至期望值.
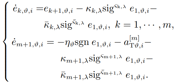
步骤 1 定义如下变量:
(45)
式(37)减去式(35),取每个向量的第1行,得

(46)
由引理4可知,e1,ϑ,i,k = 1,· · ·,m + 1在固定时间内收敛至0,收敛时间满足
(47)
式中根据引理4确定.
步骤 2 对式(38)求导,可得
(48)
构建Lyapunov函数
(49)
对式(49)求导得
(50)
e2,ϑ,i在[0,T1,ϑ]范围内收敛至0,是有界的. 因此,根据式(50)可知和Wϑ,i均为有界的. 根据式(49)可知滑模面sϑ,i在[0,T1,ϑ]范围内是有界的,即视线倾角和视线倾角速率在[0,T1,ϑ]范围内均是有界的.
步骤 3 当t >T1,ϑ时,e2,ϑ,i = 0,由式(50)可得

(51)
由式(51)可知: 式(49)除si = 0点外是连续可微的. 计算si = 0处Lyapunov函数导数的左、右极限
(52)
因此,式(49)是连续可微的. 根据引理3可知,滑模面 sϑ,i在固定时间内收敛至0,收敛时间满足
(53)
步骤 4 当到达 sϑ,i = 0 滑模面后,根据式(28)(38)可得运动方程
(54)
根据引理5可知,x1,ϑ,i在固定时间内收敛至0,视线倾角趋近于期望值,收敛时间满足
(55)
综上所述,视线倾角λϑ,i在固定时间Tϑ = T1,ϑ+ T2,ϑ + T3,ϑ内趋近于期望值λϑ,d,i. 视线偏角的证明与视线倾角的证明相同,本文不再赘述. 证毕.
4 仿真校验
为证明本文算法的有效性,本节设计4个航天器捕获1个机动目标的场景,将文献 [23] 作为对比算法和本文的协同制导算法进行仿真. 在仿真中,航天器的总加速度被限制在200 m/s 2,当每个航天器与目标的距离小于20 m时,仿真终止.
沿视线方向制导方法包含4个变量: ,剩余飞行时间收敛速度与成正比,与pr成反比,通常取值范围为: 0<αr <2,0<βr <2,0 <pr <1,1 <qr <2. 垂直视线方向的制导方法包含 7个变量: β,α1,µ1,m1,m2,ω1,ω2,视线倾角、视线偏角的收敛速度与β,m1,m2,ω2 成正比,与 α1,µ1,ω1 成反比,取值范围为: 0<β <0.1,α1 >µ1+1,1<m1 <2,2 <m2 <6,0 <ω1 <1,4 <ω1 <6.随着k 变大而取值变大, k = 1,2,3,∗代表r和λ. 假设2 中的mt取值为2,沿视线方向制导律中的参数取值为
(56)
垂直视线方向制导律中的参数取值为
(57)
固定时间观测器中的参数取值为
(58)
式中∗代表r和λ.
目标的初始位置在发射系的原点,发射系中的初始速度为(0,0,100)m/s,加速度为
(59)
式中代表目标加速度沿发射坐标系3个轴的分量. 航天器的初始状态如表1所示.4个航天器的拓扑关系如图1所示. 仿真结果如图2–11所示.
表1航天器初始状态
Table1Initial state of the spacecrafts
图2航天器拓扑关系
Fig.2Communication topology among the spacecrafts
图3本文算法的飞行轨迹
Fig.3Trajectories of the proposed algorithm
图4本文算法的航天器剩余飞行时间
Fig.4Time-to-go of the proposed algorithm
图5本文算法的视线倾角
Fig.5Elevation LOS angles of the proposed algorithm
图3给出本文算法协同制导律的飞行轨迹,从图中可以看出4个航天器从不同的初始状态出发,均能够命中目标. 图4表示本文算法4个航天器的剩余飞行时间,本文的协同制导算法能够实现多个航天器同时碰撞目标. 图5–6表示本文算法视线倾角和视线偏角的变化规律,能够收敛至期望值. 图7–8表示文献 [23] 算法视线倾角和视线偏角的变化规律,通过图5–8对比可知,本文算法的收敛速度快于文献 [23] 算法,在视线偏角中表现的更明显. 图9–11给出在各个航天器视线坐标系下目标加速度沿3个轴分量的真值和观测器的估计值,从仿真结果可以看出,均能收敛至对应的被观测变量
图6本文算法的视线偏角
Fig.6Azimuth LOS angles of the proposed algorithm
图9沿MiXL轴目标加速度真值和观测值
Fig.9Actual values and estimations of target acceleration along MiXL axis
图10沿MiYL轴目标加速度真值和观测值
Fig.10Actual values and estimations of target acceleration along MiYL axis
图11沿MiZL轴目标加速度真值和观测值
Fig.11Actual values and estimations of target acceleration along MiZL axis
5 结论
针对多个航天器对抗机动目标问题,本文提出一种固定时间收敛的多约束协同制导方法,该方法能够在固定时间内使得多个航天器的剩余飞行时间相同,并控制每个航天器的视线角收敛至期望值. 通过数值仿真和对比研究,验证了所提出方法的有效性.