重置事件触发机制下多智能体系统二分一致性
doi: 10.7641/CTA.2024.30805
张良印1 , 陈霞1 , 郝飞2
1. 青岛理工大学信息与控制工程学院, 山东 青岛 266520
2. 北京航空航天大学自动化科学与电气工程学院, 北京 100191
基金项目: 国家自然科学基金项目(61703225, 62473019, 62203248), 山东省自然科学基金项目(ZR2022MF297, ZR2021MF087)资助.
Bipartite consensus for multi-agent systems based on reset event-triggered mechanism
ZHANG Liang-yin1 , CHEN Xia1 , HAO Fei2
1. School of Information and Control Engineering, Qingdao University of Technology, Qingdao Shandong 266520 , China
2. School of Automation Science and Electrical Engineering, Beihang University, Beijing 100191 , China
Funds: Supported by the National Natural Science Foundation of China (61703225, 62473019, 62203248) and the Natural Science Foundation of Shangdong Province (ZR2022MF297, ZR2021MF087).
摘要
本文研究了细节平衡通信拓扑图下的一阶多智能体系统的二分一致性问题. 不同于文献中常见的动态事件触发方法, 提出一种与重置机制相结合的新型动态事件触发控制策略, 触发条件阈值中的外部动态变量可以根据预设的重置条件进行调节, 当局部不一致状态偏差达到预设重置条件时, 动态变量将被重置为其初始值, 由此避免系统临近一致点时的频繁触发现象, 在保证期望控制性能的同时, 进一步降低系统的通信负担. 文章提出的重置事件触发条件仅依赖智能体的局部状态构成, 无需全局信息. 随后, 本文应用代数图论和李雅普诺夫稳定性理论, 证明了系统的实用二分一致性. 此外, 给出了无芝诺行为的理论分析. 最后, 通过仿真验证了提出方法的有效性.
Abstract
This paper investigates the bipartite consensus problem for first-order multi-agent systems with the detailbalanced communication topology. Different from the common dynamic event-triggered control methods in the literature, a new dynamic event-triggered control strategy combined with the reset mechanism is proposed, in which the external dynamic variable in the trigger condition threshold can be adjusted according to the preset reset condition. If the local disagreement state error reaches the preset reset condition, the external dynamic variable will be reset to its initial value, to avoid the frequent triggering phenomena when the system is close to the consensus point, and further reduce the communication burden of the system while ensuring the desired control performance. The proposed reset event-triggering condition in this paper only depends on the local states of the agents and does not require any global information. Moreover, the algebraic graph theory and the Lyapunov stability theory are applied to prove the practical bipartite consensus of the system. In addition, a theoretical analysis of Zeno-free is given. Finally, the simulation verifies the effectiveness of the proposed method.
1 引言
目前,多智能体系统的协同控制已广泛应用于许多工程领域,如无人机编队 [1]、传感器网络 [2]、智能电力系统 [3] 等. 在协同控制问题中,一致性控制是最重要的基础问题,在过去的几十年里,它引起了控制领域学者们的广泛关注. 多智能体系统的一致性是指系统中的智能体通过局部的相互作用最终收敛到相同的状态,而二分一致性是一致性的重要延伸,隶属于合作竞争网络下多智能体系统的协同控制问题,意为所有智能体最终收敛到数值相同但符号相反的一致状态. 事实上,合作竞争共存的网络在现实场景中更为常见,更加符合实际的自动控制系统,例如机器人竞赛、无人机编队的双向飞行等. 文献 [4] 最先提出了多智能体系统的二分一致性问题以及相应的一致性协议,并利用规范变换和李雅普诺夫稳定性理论进行了收敛分析. 文献还给出智能体的网络通信拓扑图结构平衡和不平衡的条件,只有当通信拓扑图为结构平衡图时,系统才能实现二分一致性. 文献 [5] 提出了一种非线性一致协议来保证所有智能体的状态在有限时间内趋于二分一致性. 文献 [6] 研究了由一阶和二阶多智能体混合而成的异质多智能体系统,利用特殊变量设计二分一致性协议,并给出了系统能够实现渐近二分一致性的充要条件.
值得注意的是,上述工作均假定系统信息可持续更新,需消耗大量的通信资源. 然而,在实际应用中,智能体的通讯资源和运算能力往往受到限制. 为了提高资源利用率,事件触发控制被应用到多智能体系统的一致性问题中 [7] . 在事件触发控制机制中,当智能体的状态误差被检测到超过规定的阈值时,智能体的状态被采样并进行信息的传递和控制协议的更新. 文献 [7] 分别讨论了一阶多智能体系统的集中式和分布式事件触发一致性控制,其分布式控制方式只需自身及其相邻智能体的状态信息,减少了不必要的信息传递. 文献 [8] 提出了事件触发二分一致性控制方法,并利用反证法的思路进行了无芝诺行为(有限时间内的无穷次触发)的理论证明. 对于二阶多智能体系统 [9-10]、线性多智能体系统 [11-13],事件触发控制的研究也取得了很多成果. 在上述结果中,事件触发条件中的阈值依赖于系统内部状态,被称为静态事件触发控制.
为进一步发挥事件触发控制在资源利用上的优势,文献 [14] 针对单回路线性系统提出动态事件触发控制,通过在触发条件的阈值中引入一个外部动态变量去获取更大的触发间隔,从而降低信息传输频次,减少资源消耗. 文献 [15] 将动态事件触发控制应用到一阶多智能体系统中,实现了系统状态的一致性并排除了芝诺行为. 文献 [16] 针对通信受限的多无人艇协同系统,设计动态事件触发机制,并基于滑模控制和自适应算法设计分布式控制器,在保证预设队形的同时实现轨迹跟踪控制. 针对合作竞争关系共存的多智能体系统,文献 [17] 在一致性协议和动态事件触发条件中采用了尺度函数,以保证系统实现预设时间内的二分一致性. 文献 [18] 采用估计器的状态值设计动态事件触发条件,减少了由状态过度偏移引起的触发瞬间,最终解决了线性多智能体系统的二分一致性问题. 文献 [19] 基于观测器的状态信息设计了离散时间多智能体系统的动态事件触发二分一致性协议,通过触发次数的比较验证了动态事件触发控制方法的优越性.
动态事件触发控制优势的发挥依赖于其触发条件阈值中的外部动态变量. 为保证一致性的实现,该变量需具备随时间进展趋于零值的特性,这导致在一致性临近点处,阈值中的外部动态变量不再发挥作用,原动态触发条件将近似为静态触发条件,从而引发高频次的信息传输,造成资源的过度利用. 近来,文献 [20] 针对分数阶多智能体系统的一致性跟踪问题,提出了基于重置机制的事件触发控制,其动态阈值依据预设的重置条件进行调节,能够起到降低能耗的作用. 基于以上分析,本文将进一步研究合作竞争关系共存的多智能体系统的重置事件触发二分一致性问题,主要贡献包括: 1)提出一种新的动态事件触发策略,设计基于重置机制的动态事件触发条件,其中动态变量的取值可以根据重置条件进行调节,重置条件依据各智能体的局部不一致状态偏差构造完成,以动态调整智能体间通信次数和控制器更新频率,达到提高资源利用率的目的; 2)设计出完全分布式的控制协议和事件触发条件,且触发条件中参数的设计不依赖于全局信息(如拉普拉斯矩阵的特征根),系统最终能够实现实用二分一致性; 3)考虑具有细节平衡结构的合作竞争关系共存的通信拓扑,理论结果更具一般性.
2 预备知识
2.1 代数图论
智能体之间的通信网络用有向符号图G=VEA来描述,其中:V={1,2N}表示节点集合,EV×V表示边集合,A=aijRN×N表示G所对应的邻接矩阵,其中aij0jiE并且aij=0j i)E. 假设节点没有自回路,即aii=0iV.边(ji)表示节点 i 可以从节点 j 处接收信息. 边集合表示为E=E+E-其中E+=jiaij>0E-=jiaij<0分别表示正边集和负边集. 节点i的邻居集用Ni={jVjiEji}表示,节点的邻居数用NiNi表示. 从节点i 到节点j 的路径是以(iik1),(ik1ik2),· · ·,(ikl j)形式的边序列,其中ikm表示不同的节点,m=1lij.对于有向图G,若任意的两个节点都可以通过一条路径连接,那么称G是强连通的.
L=lijRN×N表示符号图G的拉普拉斯矩阵,lij=jNi aij j=i-aij jiL=diagjN1 a1jjN2 a2jjNN aNj-A.
定义 1 [21] 对于有向符号图G如果存在正数ωiiV对于任意的ijV满足ωiaij=ωjaji那么G被称为细节平衡图.
定义 2 [4] 对于符号图G,如果存在两个节点集合V1V2,其中V1V2=VV1V2=,对于任意的ijVll{1,2}满足aij0,而对于任意的iVljVqlqlq{1,2}满足aij0,那么符号图G被称为结构平衡图.
引理 1 [4] 如果一个符号图G是结构平衡图,则存在一个对角矩阵 D = diag{σ1σ2,· · ·,σN } 使得DAD中的所有元素非负,即DAD0其中σi ∈ {1,−1},iV.
2.2 问题描述
考虑有向符号图G下的一组具有单积分器动力学特性的N个智能体. 智能体i的模型为
x˙i(t)=ui(t),iV,
(1)
其中xitRuitR分别表示智能体i的状态和控制输入.
在本文中,假设多智能体系统的通信拓扑图为细节平衡的强连通且结构平衡图,本文将设计事件触发控制机制,构造二分一致性协议和触发条件,使得系统中的所有智能体最终能够实现实用二分一致性,即limt σixit-ociV其中: σi在引理1中已定义, o为期望的一致状态,c为可调的正数.
注 1 本文研究的单积分器型多智能体系统参考自文献 [22] 中研究的模型,其本身对应的物理含义仅考虑了个体位移的变化. 但在实际应用中,很多复杂系统模型也可以转换成单积分器型多智能体系统的形式,从而可以借助单积分器多智能体系统丰富的研究成果展开相关研究. 如,在文献 [23] 中,为克服轮式移动机器人的非完整性约束,作者借助辅助变量及虚拟控制输入将机器人的动力学模型转换为单积分器的形式,继而开展了多轮式移动机器人系统的一致性及编队控制问题研究.
3 主要结果
不同于传统的二分一致性协议,本文将引入事件触发机制,设计分布式的事件触发控制方法. 智能体i 的第l次事件触发时刻用rli表示. 定义x^it=xirlitrlirl+1i一致性协议设计为
ui(t)=-jNi aijx^i(t)-sgnaijx^j(t),trli,rl+1i,
(2)
其中x^jt表示t时刻之前智能体j在其最后一个触发时刻的状态.
为便于构造事件触发条件,定义状态测量误差为
ei(t)=x^i(t)-xi(t),trli,rl+1i.
(3)
定义向量ext=e1t eNtTxt=x1t xNtTx^t=x^1t x^NtT.针对一阶多智能体系统(1),采用一致性协议(2),并考虑状态测量误差(3),可以将闭环系统表述成以下形式:
x˙(t)=-Lx^(t)=-Lx(t)+ex(t)
(4)
为简化二分一致性的分析,引入一些中间变量. 定义变量 zit)=σixit)和ezit=z^it-zittrlirl+1i可得 ezit)= σieit). 与前面定义类似,定义向量 zt)= [z1t)· · · zNt)]T,z^t=z^1tz^NtTezt)= [ez1t)· · · ezN t)]T. 因此zt)= Dxt). 结合式(4)可得z˙t=-LDzt+ezt其中LD = DLD. 定义矩阵LW = WLD,其中W = diag{ω1ω2,· · ·,ωN }为正对角矩阵.
定义系统的广义状态均值变量为
ψ (t) =:1/i=1N ωii=1N ωiσixi (t) ,
该变量具有如下性质.
引理 2 假设结构平衡的符号图G是强连通和细节平衡的,那么在一致性协议(2)下,有ψtψ0ψ*.
由引理1可得σi2=1σiσj=sgnaij
aijx^i (t) -sgnaijx^j (t) =aijσi2x^i (t) -σiσjx^j (t) =aijσiσix^i (t) -σjx^j (t) .
进一步,有
-ωiσijNi aijσiσix^it-σjx^jt=-jNi ωiaijσix^it-σjx^jt
因符号图G是细节平衡图,即ωiaij=ωjaji,可以得到
-i=1N jNi ωiaijσix^i (t) -σjx^j (t) =-i=1N jNi ωjajiσjx^j (t) -σix^i (t) =i=1N jNi ωjajiσix^i (t) -σjx^j (t) =i=1N jNi ωiaijσix^i (t) -σjx^j (t) .
从而可得出
i=1N jNi ωiaijσix^i (t) -σjx^j (t) =0.
因此,
ψ˙ (t) =-1/i=1N ωii=1N jNi ωiaijσix^i (t) -σjx^j (t) =0.
证毕.
为便于研究一致性,定义不一致变量δit=zit-ψ*,显然有ezit=δ^it-δit进一步可得
δ˙(t)=-LDδ^(t)=-LDδ(t)+ez(t),
(5)
其中 δt)= [δ1t)· · · δNt)]Tδ^t=δ^1t δ^NtT.定义向量 ω = [ω1 ω2 · · · ωN ] T,显然 ωTδt)= 0.
引理 3 假设结构平衡的有向符号图G是强连通和细节平衡的,对于矩阵 LW ,如果向量 δt)满足 ωTδt)= 0,则
δT (t) LWδ (t) λ-2LWδT (t) δ (t) ,
其中λ-2LW=ω12Nω22λ2LWλ2LWLW 的最小正特征值.
由定义1可知对角矩阵W能够使得WL为对称矩阵. 而LD =DLD,因此LW =WLD为对称矩阵. 与此同时,由引理1可知通过规范变换,结构平衡的符号图G可以转换为拉普拉斯矩阵为LD的无符号图,之后利用文献 [24] 的引理2.1即可完成证明. 证毕.
定义智能体i的重置事件触发条件为
ei2(t)>ρi4jNi ωiaijΩ(t)+ηi(t),
(6)
其中:Ωt=jNi ωiaijx^i2t-2ωiaijx^itx^jt+ωiaijx^j2t0<ρi<1ηit是为智能体i设计的重置分段函数. ηit)的设计如下:
η˙i(t)=-αηi(t),Ω(t)ε,ηi(t)=ηi(0),Ω(t)<ε,
(7)
其中: α >0,ηi(0)>0,因此ηit)>0; ε是一个可调参数,它决定何时将变量ηit)重置为其初始值.
给定第一次事件触发时刻r1i=0,由重置事件触发条件(6)可知,智能体i的触发时刻序列为
rl+1i=maxt>rli t:ei2(t)ρi4jNi ωiaijΩ(t)+ηi(t).
(8)
由前述定义知,当limt δit=0时,limt zit=ψ*limt xit=σiψ*. 因此,原多智能体系统的二分一致性分析可借助系统(5)的稳定性分析展开. 下面给出具体分析过程.
定理 1 考虑多智能体系统(1),在一致性协议(2)和重置事件触发条件(6)–(7)下,系统最终能够实现实用二分一致性.
对于系统(5),构造李雅普诺夫函数为Vt)=12δTtWδtVt关于时间的导数为
V˙ (t) =δT (t) Wδ˙ (t) =-δT (t) WLDδ^ (t) =-δ^ (t) -ez (t) TLWδ^ (t) =
-δ^T (t) LWδ^ (t) +ez (t) TLWδ^ (t) =-i=1N jNi 12a~ijδ^i (t) -δ^j (t) 2+i=1N jNi ezia~ijδ^i (t) -δ^j (t) ,
其中a~ij=σiσjωiaij是矩阵WDAD)的元素. 根据 Young不等式aba2+14b2进一步得到
V˙(t)-i=1N jNi 12a~ijδ^i(t)-δ^j(t)2+i=1N jNi a~ijezi2(t)+i=1N jNi 14a~ijδ^i(t)-δ^j(t)2=-i=1N jNi 14a~ijδ^i(t)-δ^j(t)2-jNi a~ijezi2(t)
(9)
根据式(7)可以得到ηitηi0.σiσi=1a~ij=σiσjωiaija~ij=ωiaij.回顾式(8),有
ei2 (t) ρi4jNi a~ijjNi a~ijx^i2 (t) -2σiσjσiσjωiaijx^i (t) x^j (t) +a~ijx^j2 (t) +ηi (0)
ezit),zit),δ^it的定义可知,
ezi2(t)ρi4jNi a~ijjNi a~ijσi2x^i2(t)-2a~ijσix^i(t)σjx^j(t)+a~ijσj2x^j2(t)+σi2ηi(0)=ρi4jNi a~ijjNi a~ijz^i2(t)-2a~ijz^i(t)z^j(t)+a~ijz^j2(t)+ηi(0)=ρi4jNi a~ijjNi a~ijz^i(t)-z^j(t)2+ηi(0)=ρi4jNi a~ijjNi a~ijδ^i(t)-δ^j(t)2+ηi(0).
(10)
将式(10)代入式(9)能够得到
V˙ (t) -i=1N 121-ρijNi 12a~ijδ^i (t) -δ^j (t) 2+i=1N jNi a~ijηi (0) -ξi=1N jNi 12a~ijδ^i (t) -δ^j (t) 2+
i=1N jNi a~ijηi(0)-ξδ^T(t)LWδ^(t)+a~maxNmaxη(0),
(11)
其中:ξ=mini 121-ρia~max为矩阵W(DAD)中元素的最大值,Nmax=maxi Ni.
结合式(10)可以得到
δT(t)LWδ(t)=δ^(t)-ez(t)TLWδ^(t)-ez(t)2δ^T(t)LWδ^(t)+2ezT(t)LWez(t)2δ^T(t)LWδ^(t)+2LWez(t)2κδ^T(t)LWδ^(t)+2LWNη(0),
(12)
其中:κ=2+LWρmaxLWiiminρmax =maxi{ρi},LWiimin=mini jNi a~ij.
合并式(11)和式(12),可得
V˙(t)-ξκδT(t)LWδ(t)+ϕ-2ξλ-2LWκδT(t)δ(t)+ϕ-2ξλ-2LWωmaxκδT(t)Wδ(t)+ϕ=-κ-V(t)+ϕ,
(13)
其中:ϕ=κa~maxNmaxη0+2ξLWNη0κωmax=maxi ωiκ-=4ξλ-2LWωmaxκ式中第 2个不等式是由 ωTδt)= 0以及引理3得到.
根据比较定理 [25] 可得Vt)≤ Yt),其中Y˙t-κ-Yt+ϕV0=Y0.继而,由式(13)可知
V(t)e-κ-tV(0)+ϕ0t e-κ-(t-τ)dτ=e-κ-tV(0)-ϕκ-+ϕκ-.
(14)
由此可得limt Vt=ϕκ-这就意味limt δt=2ϕκ-系统(1)的实用一致性得证. 证毕.
注 2 与文献 [26] 中的触发条件不同,本文中的式(6)被称为重置事件触发条件,因为该式中包含一个重置变量 ηit). 由式(7)可知,在相邻两次重置时刻之间,ηit)为衰减的指数函数. 基于智能体自身与邻居智能体间的局部不一致状态偏差构造出ηit)的重置条件,在各智能体濒临一致状态点时,将本身取值已衰减至极小的ηit)重置为其初值,从而避免频繁触发,减少通信资源消耗. 此外,各智能体的触发条件只依赖于自身和其邻居的状态信息,无需任何全局参数,触发条件(6)可视为分布式触发条件.
注 3 ηi(0)的大小不仅影响事件触发次数,也将影响系统最终的收敛区域. ηi(0)越大,事件触发条件中的阈值越大,事件触发次数越少,从而导致通信资源消耗越少. 然而,ηi(0)的增大也会导致收敛区域的扩大,智能体之间最终状态值的差值较大. 因此,ηi(0)的选择为设计者在资源消耗和收敛性能间提供了一种折中关系.
注 4 重置事件触发机制需要依赖智能体的状态信息来判断重置条件,进而判断事件触发条件来决定信息的传输动作. 与无重置的事件触发机制相比,重置事件触发机制需要更多的计算资源. 然而,现有实验结果表明,在典型环境下,每执行3000条指令所需的计算资源仅与在100 m范围内传输 1 bit所消耗的传输资源相当 [27] . 由此可见,重置事件触发机制虽然需要消耗更多的计算资源以完成事件触发条件的检测,但具有节约更宝贵的传输资源的潜力.
接下来给出系统在重置事件触发控制下的Zeno行为分析.
定理 2 考虑多智能体系统(1),在一致性协议(2)和重置事件触发条件(6)–(7)下,Zeno行为被排除.
由式(14)可得Vte-κ-tV0+ϕκ-V0+ϕκ-
从而可得δt2V0+ϕκ-δt是有界的.
由式(10)和δt的有界性可知ezit也是有界的. 因e˙zit=-δ˙it=-LDi:δt+ezt其中LDi,:)为LD 的第 i 行,故可以得到e˙zit有界.假设e˙zit<MM>0.考虑在时间区间(0,T] 内两个连续的事件触发时刻rlirl+1i可以得到ezi2rl+1iM2rl+1i-rli2.在触发时刻rl+1i根据式(6)能够得到ei2rl+1i>ρi4jNi ωiaijΩrl+1i+ηirl+1i继而可以推断出M2rl+1i-rli2>ηirl+1i即对于T<rl+1i-rli>0成立. 根据以上分析可知,Zeno行为能够被排除. 证毕.
4 仿真与分析
本节将给出一个数值算例来验证理论结果的有效性,考虑具有单积分器动力学特性的8个智能体,其通信拓扑如图1所示,对应的邻接矩阵为
A=0-102-1.5000-102000000100000-1.510000-100-0.500000.5-10000-21.50-300000-1-10200-100020
1通信拓扑图
Fig.1Communication topology
基于邻接矩阵A,令ω = [1 1 2 2 3 1 3 3]T,可以验证ωiaij = ωjajiij = 1,2,· · ·,8,因此,图1是细节平衡的强连通图.
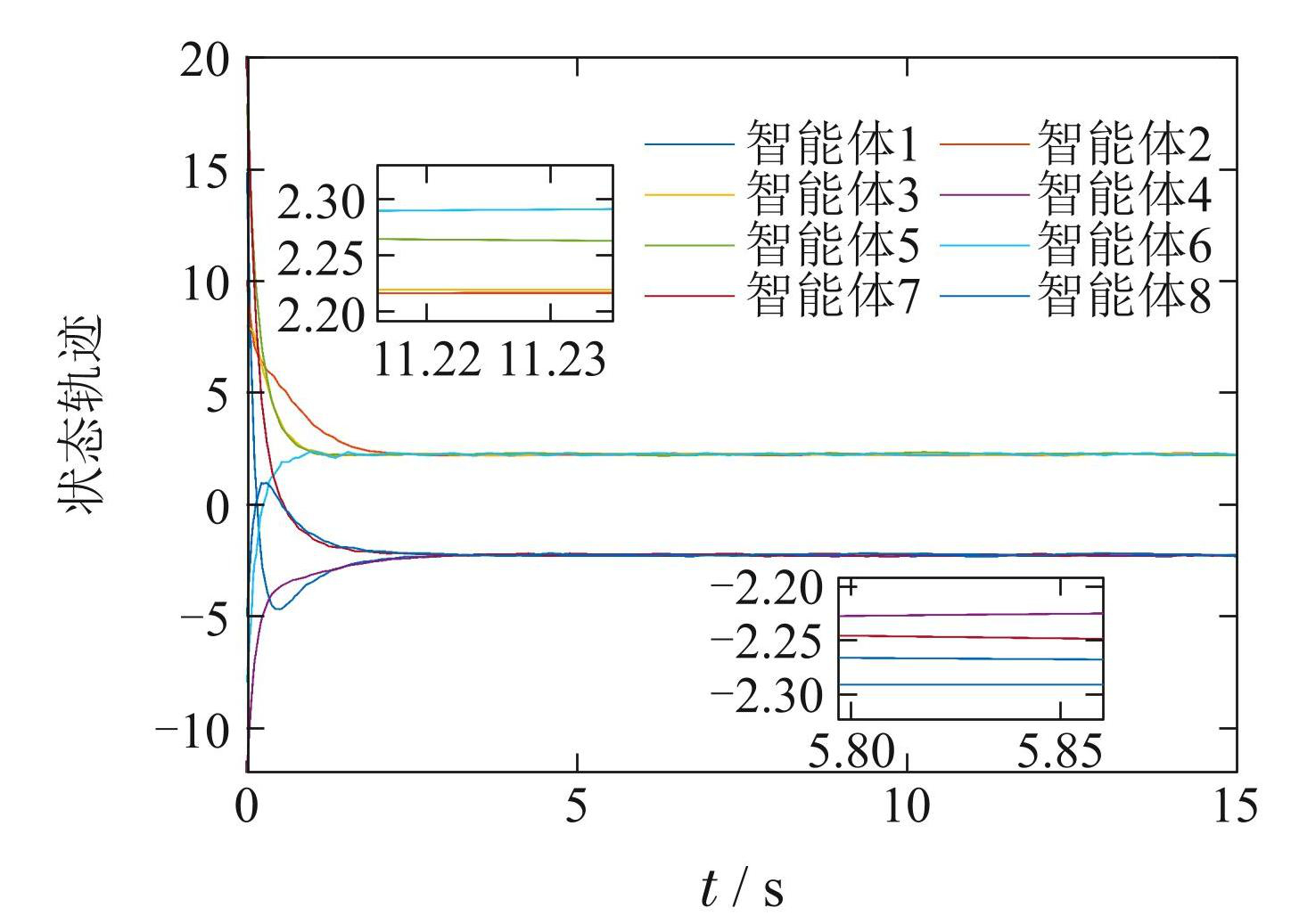
设置智能体的初始状态为x(0)= [15 10 8 −12 18 −8 20 −5]T,重置事件触发条件(6)中的参数为 ρi = 0.3,α = 2,ε = 0.3,ηi(0)= 0.01. 根据引理 2 可以得出多智能体系统最终的一致状态值为 ψ=1/i=18 ωii=18 ωiσixi0= 2.25. 仿真结果如图2所示,由图2可知,系统能够实现实用二分一致性,即智能体1,4,7,8的状态趋于−2.25的小邻域内,智能体2,3,5,6的状态趋于2.25的小邻域内. 图3给出了各智能体的触发间隔时间,可以看到到系统不存在Zeno行为.
为进一步说明本文提出的重置事件触发控制在资源利用上的优势,将文献 [26] 中的动态事件触发控制方法和文献 [20] 中的重置事件触发控制方法应用在本文的模型和问题情景中进行仿真比较. 文献 [26] 中的动态事件触发控制方法可以概括为
ei2(t)>ρi4jNi ωiaijΩ(t)+μi(t),
(15)
其中μit=e-αt.文献 [20] 中的重置事件触发控制方法可以概括为
ei2(t)>ρi4e-Ω(t)jNi ωiaij+ηi(t),
(16)
表1中列出了在3种触发条件下触发间隔的最大值、最小值及平均值. 可以看出在重置事件触发条件(6)下,平均触发间隔更大,能够进一步节省智能体之间的通信资源.
2智能体状态轨迹
Fig.2The state trajectory of agents
3重置事件触发条件(6)下的事件触发时刻
Fig.3Triggering instants under reset event-triggering condition (6)
1智能体的最大、最小和平均触发间隔时间
Table1Maximum, minimum and average inter-event times of agents
5 结论
本文针对一阶多智能体系统,研究了基于重置事件触发控制的二分一致性问题. 文章考虑了细节平衡的有向通信拓扑,针对每个智能体,提出重置事件触发控制方案,只使用自身状态及邻居在触发时刻的状态信息构造出重置事件触发条件及外部动态变量的重置条件. 加入重置机制带来的额外设计自由度可以合理调节系统临近一致点时的触发频次,提高通信资源的有效利用. 仿真结果表明了重置事件触发控制方法的有效性,并与文献 [20] 和文献 [26] 中的事件触发控制方法进行比较,证明了该方法在资源利用上的优越性. 后续将从收敛速度和更具一般性的通信拓扑图等方面做进一步研究.
1通信拓扑图
Fig.1Communication topology
2智能体状态轨迹
Fig.2The state trajectory of agents
3重置事件触发条件(6)下的事件触发时刻
Fig.3Triggering instants under reset event-triggering condition (6)
1智能体的最大、最小和平均触发间隔时间
Table1Maximum, minimum and average inter-event times of agents
DONG X W, HU G Q. Time-varying formation tracking for linear multiagent systems with multiple leaders. IEEE Transactionson on Automatic Control,2017,62(7):3658-3664.
GE X H, HAN Q L, ZHANG X M,et al. Distributed event-triggered estimation over sensor networks: A survey. IEEE Transactionson on Cybernetics,2020,50(3):1306-1320.
BAO Tao, LI Haofei, YU Tao,et al. Mixed game reinforcement learning of supply-demand interaction in power system dis-patch on electricity market. Control Theory & Applications,2020,37(4):907-917.(包涛, 李昊飞, 余涛, 等. 考虑市场因素的电力系统供需互动混合博弈强化学习算法. 控制理论与应用,2020,37(4):907-917.)
ALTAFINI C. Consensus problems on networks with antagonistic interactions. IEEE Transactions on Automatic Control,2013,58(4):935-946.
MENG D Y, JIA Y M, DU J P. Nonlinear finite-time bipartite consensus protocol for multi-agent systems associated with signed graphs. International Journal of Control,2015,88(10):2074-2085.
WANG Xiaoyu, LIU Kaien, JI Zhijian,et al. Necessary and sufficient conditions for bipartite consensus of heterogeneous multi-agent systems. CAAI Transactions on Intelligent Systems,2020,15(4):679-686.(王晓宇, 刘开恩, 纪志坚, 等. 异质多智能体系统二分一致性的充要条件. 智能系统学报,2020,15(4):679-686.)
DIMAROGONAS D V, FRAZZOLI E, JOHANSSON K H. Distributed event-triggered control for multi-agent systems. IEEE Transactionson on Automatic Control,2012,57(5):1291-1297.
YU H, CHEN X, CHEN T W,et al. Event-triggered bipartite consensus for multiagent systems: A zeno-free analysis. IEEE Transactionson on Automatic Control,2020,65(11):4866-4873.
SEYBOTH G S, DIMAROGONAS D V, JOHANSSON K H. Eventbased broadcasting for multi-agent average consensus. Automatica,2013,49(1):245-252.
XIE D S, XU S Y, LI Z,et al. Event-triggered consensus control for second-order multi-agent systems. IET Control Theory & Applications,2015,9(5):667-680.
GARCIA E, CAO Y C, CASBEER D W. Decentralized eventtriggered consensus with general linear dynamics. Automatica,2014,50(10):2633-2640.
LIU X D, DU C K, LU P L. Distributed event-triggered feedback consensus control with state-dependent threshold for general linear multi-agent systems. International Journal of Robust and Nonlinear Control,2017,27(15):2589-2609.
DENG C, YANG G H. Leaderless and leader-following consensus of linear multi-agent systems with distributed event-triggered estimators. Journal of the Franklin Institute,2019,356(1):309-333.
GIRARD A. Dynamic triggering mechanisms for event-triggered control. IEEE Transactionson on Automatic Control,2015,60(7):1992-1997.
YI X L, LIU K, DIMAROGONAS D V,et al. Dynamic eventtriggered and self-triggered control for multi-agent systems. IEEE Transactionson on Automatic Control,2019,64(8):3300-3307.
HUNAG Bing, XIAO Yunfei, FENG Yuan,et al. Fully distributed dynamic event-triggered formation control for multiple unmanned surface vehicles. Control Theory & Applications,2023,40(8):1479-1487.(黄兵, 肖云飞, 冯元, 等. 无人艇全分布式动态事件触发编队控制. 控制理论与应用,2023,40(8):1479-1487.)
CHEN X, YU H, HAO F. Prescribed-time event-triggered bipartite consensus of multiagent systems. IEEE Transactions on Cybernetics,2022,52(4):2589-2598.
HU S W, CHEN X Y, QIU J L,et al. Dynamic event-triggered bipartite consensus of multiagent systems with estimator and cooperativecompetitive interactions. IEEE Transactions on Circuits and Systems II: Express Briefs,2022,69(7):3309-3313.
XU C J, QIN Y Y, SU H S. Observer-based dynamic eventtriggered bipartite consensus of discrete-time multi-agent systems. IEEE Transactions on Circuits and Systems II: Express Briefs,2023,70(3):1054-1058.
WANG L Q, DONG J X. Reset event-triggered adaptive fuzzy consensus for nonlinear fractional-order multiagent systems with actuator faults. IEEE Transactions on Cybernetics,2023,53(3):1868-1879.
CHU T G, WANG L, CHEN T W,et al. Complex emergent dynamics of anisotropic swarms: Convergence vs oscillation. Chaos Solitons & Fractals,2006,30(4):875-885.
OLFATI-SABER R, MURRAY R M. Consensus problems in networks of agents with switching topology and time-delays. IEEE Transactions on Automatic Control,2004,49(9):1520-1533.
XIE W J, MA B L. Position centroid rendezvous and centroid formation of multiple unicycle agents. IET Control Theory & Applications,2014,8(17):2055-2061.
JIANG C R, HAI B D, WEN W Z,et al. Synchronization of nonlinear networked agents under event-triggered control. Information Sciences,2018,459:317-326.
KHALIL H. Nonlinear Systems. Englewood, UK: Prentice Hall Press,2002.
LI J J, CHEN X, HAO F,et al. Event-triggered bipartite consensus for multi-agent systems with antagonistic interactions. International Journey of Control Automation and Systems,2019,17(8):2046-2058.
LIN Wei, ZHU Qilong. Energy-efficient data fusion algorithm of wireless sensor networks. Journal of Harbin Engineering University,2011,32(10):1386-1390.(林蔚, 祝启龙. 无线传感器网络节能型数据融合算法. 哈尔滨工程大学学报,2011,32(10):1386-1390.)