摘要
本文研究了一类带输入约束和状态约束的线性多智能体系统一致性问题. 为解决智能体间通信及控制器更新频繁的问题, 本文结合动态事件触发机制和模型预测控制原理, 设计了动态事件触发的双模预测控制策略. 在该控制策略作用下, 多智能体系统在满足约束条件时能够以指数收敛速度实现一致性, 且算法的可行性和系统的稳定性均得以保证. 同时, 连续两个触发时刻之间存在最小触发时间间隔, 芝诺现象被排除. 最后, 针对需要连续检验事件触发条件的问题, 本文设计了非周期、非持久的自适应触发条件验证方法, 进一步节约了计算资源, 数值仿真实验表明本文所提方法的有效性.
Abstract
In this paper, a consensus problem is studied for a group of linear agents with input constraints and state constraints. To address the problem of frequent communication between agents and regular update of information between decentralized controllers, the dynamic event-triggered control mechanism (DETC) and the dual-mode model predictive control principles (MPC) are integrated to formulate the distributed consensus control protocols, i.e. DETC-MPC. Under this control strategy, the agents can meet the constraints on system states and inputs when they are steered to reach consensus with an exponential convergence rate. Both of the feasibility of local MPC optimization and the stability of resultant closed-loop system are guaranteed. Meanwhile, a minimum inter-event time is ensured between any two consecutive triggering instants and thus no agent exhibits Zeno behavior. To avoid continuous verification of event-triggering condition, a non-periodic and non-persistent method is designed to check triggering conditions. The numerical simulation shows the effectiveness of the proposed DETC-MPC.
1 引言
多智能体系统的一致性控制是协同控制的一个重要问题,为解决复杂多智能体系统的一致性控制,模型预测控制(model predictive control,MPC)作为一种基于系统动态模型进行预测的最优控制方法被广泛研究,它能够处理多变量、多约束和非线性系统 [1],从而在一定程度上提高系统的鲁棒性和鲁棒性. 事件触发控制(event-triggered control,ETC)是一种基于事件触发条件的控制策略 [2],能够减少系统的通信开销和计算负载,事件触发控制的基本思想是放弃传统的周期采样控制方式,转而采用基于某种条件触发的非周期控制方式. 这种方法通常依赖于一个预设的阈值或条件,当系统状态的变化超过这个阈值时,控制器才会更新,可以有效地减少不必要的计算和通信,从而节约能源并降低系统的运行成本,同时可以提高系统效率. 结合事件触发控制和模型预测控制的优势,基于事件触发的多智能体系统模型预测控制逐步成为一个具有挑战性且前景广阔的研究领域.
早期研究多集中在静态事件触发 [3] . 文献 [4-5] 引入以静态事件触发作为特殊情况的动态事件触发机制,提出分布式的动态事件触发机制来解决有向拓扑结构的线性无扰动的多智能体系统的一致性问题. 文献 [6] 研究了有界干扰条件下的非线性MPC控制问题,提出了连续时间非线性系统的周期静态事件触发方案和周期动态事件触发方案,两种触发机制均采用周期性条件检验的方式. 融合事件触发与MPC的研究大多采用自触发机制 [7] 的分布式控制结构. 文献 [8] 针对连续的非线性多智能体系统,提出了一个联合测量的方法并给出了分布式事件触发控制的算法,解决了一致性控制问题. 文献 [9] 研究了基于事件触发和对数量化通信的分布式模型预测控制问题,有效减小了控制器更新频率和能源消耗. 文献 [10-11] 以及文献 [12] 联合自触发和分布式模型预测控制(distributed MPC,DMPC),同时优化触发时刻和控制输入,自适应调整触发间隔,并将通信成本表示为一个指数项纳入成本函数中来折中通信成本和控制性能. 文献 [13] 在多智能体系统中的事件触发分布式预测控制里,引入了与触发时刻相关的约束,得出了基于邻居接收到的信息而得到的相应的事件触发条件. 文献 [14] 将触发时间间隔与控制输入一起进行优化,并且仅在触发时刻执行信息传输和控制更新. 文献 [15] 提出了基于事件触发方式的DMPC 方案,用以处理一类动态解耦的离散非线性系统的一致性问题. 文献 [16] 针对异构时变多智能体系统的一致性问题,利用双积分器和欧拉–拉格朗日方程进行建模,引入了自触发机制,求解 DMPC同时优化控制输入和触发时间间隔,进一步降低通信成本,解决异步离散时间信息交换的问题. 然而,设计有效的事件触发机制需要综合考虑多种因素,如状态变化、误差阈值等,增加了设计的复杂性. 同时,在实际应用中,通信延迟和数据丢失是不可避免的,这对事件驱动控制系统提出了更高的鲁棒性要求,保持系统整体性能是一个重要挑战.
传统的时间驱动控制方法通常需要频繁地通信和计算,这对于资源有限的系统来说是一个重大挑战. 在动态变化的环境中,事件驱动控制能够根据实际情况实时调整控制策略,减少不必要的通信和计算,从而节省带宽和能量,更加灵活应对突发事件,同时也避免了传统时间驱动方法中由于固定周期导致的延迟和误差积累. 现有的研究工作大多数基于事件触发机制来避免连续的智能体之间的信息交流,或者基于MPC来实现对复杂系统的高效控制和管理,充分利用MPC动态建模、多目标优化、约束处理、鲁棒性和实时性能等方面的优势. 而将具有可变阈值的动态事件触发机制 [17-18] 和MPC结合起来的方法有待进一步研究. 因此,本文的主要贡献如下:
1)不同于固定阈值的静态事件触发机制,本文利用动态事件触发调整触发机制内部时间间隔,同时通过在触发条件中采用联合测量变量使个体仅在自身的触发时刻进行信息交互和控制器的更新,避免通信资源浪费;
2)在模型预测控制的设计中,结合动态事件触发机制以及联合测量变量,对优化问题的状态变量和控制输入变量进行了重定义;
3)进一步对提出的控制方法进行优化,基于最小事件触发时间间隔引入了自适应的触发条件检验策略,从而提高系统的控制效率.
2 问题描述和预备
本文研究基于动态事件触发的线性同构多智能体系统的一致性模型预测控制问题,假设系统包含N个智能体且每个智能体动态特性为
(1)
其中:分别为第 i个智能体的满足状态约束的状态和满足控制约束的控制输入; A ∈是系统矩阵.
网络拓扑结构由加权有向图来表示,其中:是节点/智能体的有限非空集合,代表边/通信连接的集合,如果表示智能体j可以传输信息至智能体i,则表示节点i的邻居集合. 图的拉普拉斯矩阵为该矩阵元素由从j到i的有向边权值aij >0 组成,且满足
针对系统动态特性(1)给出如下假设和引理.
假设 1 系统(A, B)是可控的,多智能体系统的通信拓扑为包含一个有向生成树的有向连通图.
引理 1 [7] 当假设1成立时,则存在向量使得其中:.
引理 2 [8] 基于引理 1 定义对角矩阵则强连通图的代数连通度
其中:
引理 3 [4] 由于系统(A,B)是可稳定的,其代数黎卡提方程(2)有唯一解
(2)
其中α′在引理2中定义.
在如图1所示的事件触发机制下,智能体之间信息不是持续交互的,而是间歇性进行的. 更进一步,动态事件触发与静态事件触发相比,通过引入一个内部动态变量ηi(t)可以更精确地响应系统的实时需求,获得更大平均触发时间间隔. 具体来说,图1中智能体i 的触发时间序列由如下的触发机制决定:
(3)
其中: α,β,γ 是局部 Lipschitz连续的类函数,σi ∈(0,1),θi 为待设计的事件触发参数; 0,直观上来分析,ηi 可以看作是的滤波值.
图1分布式动态事件触发原理
Fig.1The distributed control with dynamic event-triggering mechanism
当时,多智能体系统(1)即实现了一致性. 在事件触发控制中,由于测量误差大小达到规定的阈值时,将触发一个事件并更新控制器,所以一般的事件触发机制会增加通信的负载,并带来了更高的控制器更新频率,为解决这个问题需使用合适的测量误差. 首先,为每一个智能体i定义一个联合测量变量qi(t),即
(4)
基于联合测量变量qi(t),测量误差重新定义为ei(t)=. 可见,每个智能体的测量误差是由其相邻状态的凸组合决定的,而不是通过测量智能体本身的状态,每个智能体的控制器只允许在自己的触发时刻被触发,这种方法极大地减少了通信量和控制器更新的频率.
本文针对多智能体系统(1)一致性问题使用融合事件触发机制的预测控制器来实现状态同步,控制协议为在智能体 i 的触发时刻进行邻居间通信和自身优化问题的求解,在下一触发时刻之前,控制输入采用当前触发时刻求解的最优控制序列. 这表明用于每个智能体的预测控制器和事件触发机制(3)的实现是完全分布式的,因为它们仅取决于智能体本身和邻居的相关状态信息.
3 动态事件触发的分布式模型预测控制
结合后续待设计的模型预测控制器,这里引理2中的参数 µ 选择范围为且P0 >0是式(2)的解,由此确定下列形式的触发时间序列:
(5)
其中:
3.1 分布式预测控制器
智能体i的模型预测控制器依赖如下的内模进行状态预测:
(6)
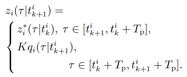
由于系统(1)拓扑结构不变且智能体i仅在触发时刻进行信息的接收与传输,因此,uj(t)保持不变: uj (t)=其中即邻居智能体j在最近一次的触发时刻所对应新的控制量为进而得到 zi(t)与ui(t)的一一对应关系,即
(7)
据此,可以通过定义新的联合控制变量zi(t)=将内模(6)进一步简化为
(8)
其中分别为状态约束和控制约束.
结合动态事件触发机制(5),当触发条件满足时,多智能体系统(1)一致性的分布式预测控制转化为如下优化问题
(9a)
(9b)
(9c)
(9d)
(9e)
其中:分别表示在时刻对τ时刻的联合测量状态预测和联合控制输入预测,TP为预测时域,Ωi是待设计的终端不变集. 此处设计的代价函数为
,
其中: 权重矩阵Q,R是可根据实际情况设置的整定参数; P是待定的终端代价权重矩阵.
本文应用双模MPC策略,它结合了经典控制和MPC的优点,能够在保证系统稳定性的同时提高控制性能,即当系统状态接近稳定进入终端域Ωi时,由虚设的反馈控制律驱使系统渐近收敛到原点.
3.2 MPC控制器优化问题的可行性
首先,给出证明可行性所需的基本假设条件,需要说明的是,假设2要求状态变量和控制变量具有足够的光滑性,即系统没有连续变化且能够在某种状态下保持稳定. 假设3要求约束集合是凸集且不存在孤立的点或子集.
假设 2 动力学系统模型(8)是二阶连续可微的,,0是系统的平衡点.
假设 3 联合控制量约束是凸的紧集,是连通的,并且平衡点(0,0)包含在的内部.
假设 4 对于任意和任意分段连续的输入系统(8)有唯一的连续解.
根据假设 1可得线性状态反馈zi =Kqi,使得 AK = A + BK是渐近稳定的,且有如下结论.
引理 4 [11] 1)如果Q∗ = Q + KTRK是对称正定矩阵,则等式
(10)
有唯一正定解P;
2)存在由常数ϱ ∈(0,∞)确定的平衡点附近的某邻域Ωi ,即
(11)
满足:
i)Ωi ⊆ Q,即在Ωi内系统满足状态约束;
ii)对所有的qi ∈ Ωi有Kqi ∈ Z,即在Ωi内线性状态反馈控制律zi = Kqi满足控制约束;
iii)由局部线性状态反馈控制律zi = Kqi控制的线性系统如下:
(12)
其Ωi是不变集.
iv)给定沿式(12)起始于的任何轨迹,是无限时域目标函数值的一个上界,即
(13)
假设优化问题在初始时刻可行,则可利用递归可行性的思想进行后续的证明.
引理 5 若系统无干扰且系统的实际状态完全可测,则开环优化问题时刻可行意味着对所有触发时刻都可行,其中终端惩罚矩阵P满足式(10),终端域Ωi满足引理4的结论2).
证首先预选可行的控制序列. 在 = 0时刻,假设优化问题存在并找到一组优化解若把这个有限时域的控制输入作用于系统(8),则在内的系统状态轨迹满足约束,即
且状态轨迹的末端进入终端域,即
采样时间记为ϑ,在到时间段内任意一个时刻系统是由输入来控制的,对应的最优开环状态值和最优目标函数值分别为则在时刻的状态值为并用于刷新时刻优化问题的初始状态(9b),刷新后的初始条件为
(14)
因此,求解优化问题时可以预选如下的控制输入:

(15)
预选控制(15)的第1部分为时域内的这是时刻得到的优化控制输入截除时间段的输入后的剩余部分,显然满足式(9d)的控制约束. 由于在时刻预测系统未来动态的初始状态为式(14),因此
(16)
这部分状态轨迹满足状态约束(9c),且轨迹末端进入终端域,即由引理4的条件2)可知,对于初始条件为的系统
起始的状态轨迹始终保持在Ωi 中,即
(17)
预选控制输入(15)的第2部分为在时域内的局部反馈控制律生成的控制输入,联接在第1部分之后. 引理4表明由式(17)可知,.
综上,并且优化问题递归可行性得证. 证毕.
另外,需要注意式(15)的可用性,可通过选择合适的预测时域,来保证下一触发时刻这在触发机制(5)的设计中也可以体现出来,即当前时刻超出仍未满足触发条件时,则取
3.3 基于事件触发的预测控制稳定性
根据动态事件触发机制,在每个触发时刻 求解开环优化问题得到优化控制输入结合滚动优化原理,在下一次触发时刻到来之前的每一个采样时间ϑ内,系统的控制输入采用当前触发时刻求得的优化解,即在时域内,且简记如下:
(18)
其中在此控制输入作用下,预测控制闭环系统为
(19)
在Lyapunov稳定性理论框架内证明式(19)的稳定性. 为此,选取最优值函数作为Lyapunov函数,并证明其沿着闭环轨迹是不增的.
引理 6 假设在时刻优化问题 Pi ×是可行的,其中的终端惩罚矩阵 P 和终端域 Ωi满足引理4的结论 1)− 2),则闭环系统(19)的优化值函数满足
(20)
证若要证明引理 6,需要结合引理 5,如果 τ =时刻可行,那么能保证在任意时刻优化问题可行.
假设在当前触发时刻求解的优化控制输入和对应的状态轨迹分别为则代价函数值为
(21)
对式(21)可转化为
(22)
由预测控制的基本原理,对闭环控制为式(18). 因此,名义系统的闭环状态轨迹为
(23)
接着,根据式(15)构造一个可行的控制函数
(24)
类似于式(16),可得式(24)对应的预测状态轨迹,以及相应的代价函数值,记为与预选控制输入(24)的第1部分对应的预测状态轨迹,就是在时刻由优化得到的状态预测轨迹为
(25)
在时域内的控制输入与预测状态对值函数的贡献如下. 引理4的结论2)表明则可得如下关系:
(26)
在式(25)的状态轨迹中取则可得到因此,式(26)变为
(27)
现在可以计算与式(24)和式(25)对应的代价函数值,即
(28)
考虑到式(27),式(28)变为
(29)
结合式(22),可以得到
(30)
将式(18)和式(23)代入式(30),可得
(31)
进一步,根据的最优性,则有
(32)
对式(32)成立,结论得证. 证毕.
优化问题的求解是在智能体的每个触发时刻进行,重复应用式(30)和可以得出式(32)对所有成立,这表明沿着闭环系统的轨迹,最优值函数是不增的.
定理 1 如果假设 1–4 都成立,那么由问题描述的开环优化控制问题在处是可行的,闭环系统(19)是名义渐近稳定的. 令D表示满足约束条件的所有初始状态的集合,则D给出闭环系统的一个吸引域.
证由引理6可以得到满足条件的终端惩罚矩阵 P和终端域Ωi . 根据引理 5,在每一触发时刻开环优化问题Pi(qi(·))都是可行的.
对给定的qi(t)= qi,定义优化问题的值函数为候选 Lyapunov函数且 Vi(qi)有如下特性:
1)如果qi ≠ 0,Vi(0)= 0且Vi(qi)>0;
2)在qi = 0处,Vi(qi)是连续的;
3)沿着任意一个始于的闭环系统轨迹,对都有
特性1)是显然的,特性3)可根据引理6和得到. 需证明特性2)中Vi(qi)在qi = 0的连续性,考虑qi 在平衡点附近的情况,即qi ∈ Ωi 且 qi ≠ 0. 此时,最优化问题的一个可行解为[0,Tp],对应闭环系统由于是连续的,闭环系统微分方程的解qi(τ)存在并且连续,相应的值函数记为则有
(33)
由于式(33)中各项的连续性,在平衡点附近是关于qi连续的. 同时考虑到qi ∈ Ωi,进而可得对任意 ϵ>0,存在 η(ϵ)>0 使得对任意ϵ. 又因为最优解不会差于可行解,并且Vi(qi)>0,可以推得,亦即特性2)得证.
现在已经准备好证明闭环系统在平衡点qi = 0是渐近稳定的,以及D是闭环系统的一个吸引域.
首先,证明闭环系统(19)在平衡点 qi = 0 是稳定的. 给定 ϵ >0,选择ε ∈(0,ϵ] 使得是平衡点qi = 0的一个邻域. 由于Vi(qi)在 qi = 0是连续的,且对任何有Vi(qi)>0,所以,存在满足据此定义则完全包含在中. 又由 Vi(qi)的单调性可知0. 因此,始于满足式(19)的任何状态轨迹都保持在 内. 当qi = 0 时,Vi(qi)连续并且 Vi(0)= 0,则 ∃ς ∈(0,ε)使得 时,有Vi(qi)<β. 相应地, 亦即 因此,系统(19)在qi = 0是稳定的.
然后,证明闭环系统(19)状态渐近收敛到平衡点 qi = 0. 经推导
由于 Vi(qi(∞))>0 以及 Vi(qi(0))<ζ,则可知存在且有界. 令ϵ1 <ϵ,使得ϵ1,则∀t ∈ [0,∞),有ϵ1}. 另外,∀t ∈ [0,∞),有其中: Z是紧的,且对qi和zi连续,则是有界的. 因此,当t >0时,qi(t)是一致连续的. 相应地,当时,是一致连续的,所以,也是一致连续的. 又因为可得因此,闭环系统(19)在平衡点 qi = 0是渐近稳定的.
显然, 是一个吸引域. 进一步,∀qi(0)∈ D,∃T >0使得qi(T)∈ . 因此,始于D并满足式(19)的任何状态轨迹在有限时间内进入吸引域,所以 D是闭环系统(19)的一个稳定域.
综上,定理1得证. 证毕.
3.4 多智能体一致性与Zeno分析
多智能体系统(1)在基于动态事件触发机制(5)的分布式预测控制器(9)作用下能够达到一致性,且每个智能体都不存在Zeno行为.
定理 2 如果假设1和引理1–3全部都成立,那么就可以通过选取动态事件触发机制(5)在引理1–3中已经设计好的参数,使得0,从而保证所有智能体在分布式求解1,2,· · ·,N的最优控制输入作用下实现一致性,下一触发时刻为
证考虑如下扩展Lyapunov函数:
(34)
根据触发条件(5)的设置,可以得到
进而得到如下不等式:
应用比较原理,可以得到
因此,ηi(t)>0. 又因为Vi(qi)>0,所以,即W(q,η)>0.
在定理1的渐近稳定性证明中,已经得到Vi(qi)是不增的且,则式(34)的导数为
(35)
如果则式(35)成立,其中,通过不等式缩放适当地选择参数Θ和Θ0,进而得到
,
应用比较原理,进一步得到
(36)
不等式(36)表明,W(q,η)以衰减率 Θ0 指数收敛到 0,因为所以 Vi(qi)也是衰减的,也相应地衰减到0. 因此在假设1成立时,所有智能体运动误差以指数衰减速率收敛,达到一致性. 定理得证. 证毕.
定理 3 在分布式预测控制器(9)的作用下,多智能体系统(1)的每个个体求解优化问题1,2,· · ·,N和通讯受限于触发条件(5),则存在一个常数ς0 >0,使得触发时间间隔即不会出现Zeno现象.
证采用反证法来证明.
假设存在一个智能体i在某时刻T0产生Zeno行为,那么就有根据极限的性质,∀ ς0 >0,∃N(ς0),使得 ∀k >N(ς0),有即已知η(0)),则可以得出因为在时间间隔内是分段连续可微的,其迪尼导数为
其中:
事件触发仅发生在触发机制(5)的条件满足时,此时被重置为0,并且在时,
定义则有
由此可得
令ς0 >0是下面等式的一个解:
定义可以得到
这与相矛盾,因此初始假设不成立,这也意味着任意智能体i无Zeno现象.
由于整个控制策略的执行过程中,需要不断地检验动态事件触发条件是否满足. 为了进一步节约计算资源,提高系统的运行效率,基于已知系统参数得到的相关信息,引入了确定触发条件检验时间序列的方案.
由定理3,定义动态事件触发的最小时间间隔为同时考虑其他触发可行的条件,最小内部时间间隔取为事件验证的间隔设置为
(37)
其中0 <γ ≤ 1. 当时,可行性、稳定性分析依然有效: 当时,可行性和稳定性条件在整个时域内有效,即触发条件还未破坏就超出预测时域,提前触发. 证毕.
4 数值仿真
本文提出的是一种新的仅基于间歇通信而非连续通信的实现算法,其基本思想是通过计算而不是通信来获取qi和ei . 在这个过程中,只使用它们在之前触发时刻的信息而不需要持续获取邻居的状态信息. 基于第3节的方法设计和理论分析,本文提出的动态事件触发的模型预测控制(dynamic event-triggered MPC,DETC-MPC)算法的数值仿真执行流程归纳如下:
步骤 1 离线计算:
1)DETC相关参数求解和确定:
由式(2)求解P0,计算并确定θi,πi,σi,βi,δi ;
2)MPC相关参数求解和确定:
确定预测时域Tp、权重矩阵Q,R,求解局部反馈增益 K,根据式(10)求终端惩罚矩阵 P,进而获得终端域 Ωi .
步骤 2 初始化:
1)设置ETC内部动态变量ηi(0)的初值P0,当前触发时刻 仿真时间 T;
2)智能体i接收邻居状态信息{xj(0),j ∈ Ni},并把自身信息xi(0)发送给邻居;
3)智能体i根据式(4)计算联合测量状态qi(0),并发送给邻居.
步骤 3 在线计算:
while t < T, do
计算qi(t),ei(t),更新ηi(t)
for i = 1, 2, · · ·, N
if t = 且满足触发条件
k ← k + 1, ← t; 发送信息给邻居j ∈ Ni ;
while qi ()∈ Ωi 且t <Tp
· 用内模(8)预测状态;
· 求解Pi ,得;
· 求出最优控制.
end while
qi()̸∈ Ωi采用反馈控制
end if
将控制输入作用于系统,更新xi
end for
end while
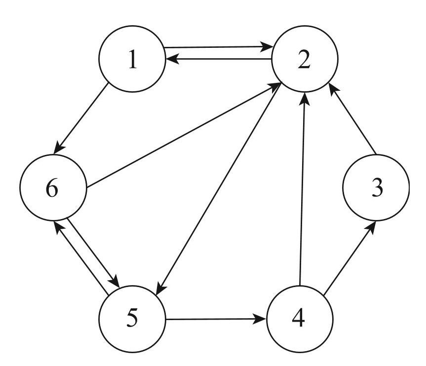
本节采用基于如图2所示通信拓扑结构的六智能体系统进行仿真对比实验,每个智能体的动态方程满足式(1),其中:分别是该智能体的6个状态,对应3个控制输入,系统矩阵 A= diag {−1,−2,−3,−4,−5,−6},B =[I3×3 I3×3] T. 其他相关参数计算并设置为
(38)
此外,本仿真系统所有智能体 θi = 65.235 8,πi = 0.002,βi = 0.05,δ = [1.5 2 2.5 2.5 1.8 1.7],Tp = 1.6 s,Q = I6×6,R = I3×3.
图2六智能体系统有向拓扑图
Fig.2The directed graph of a system with six agents
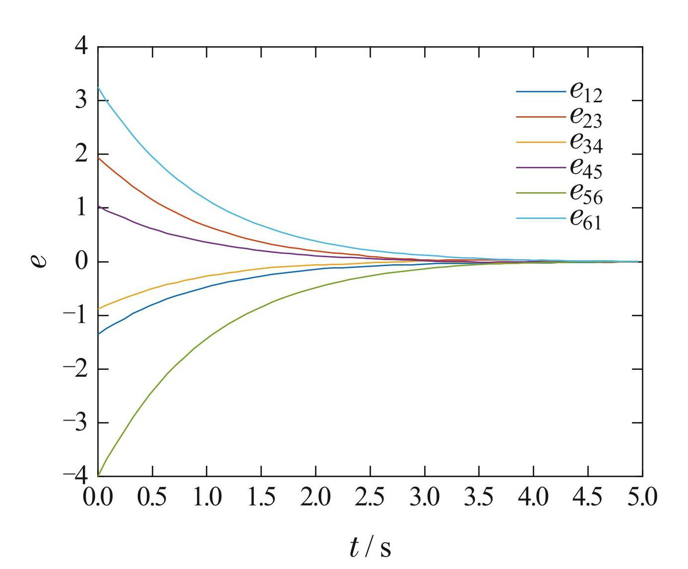
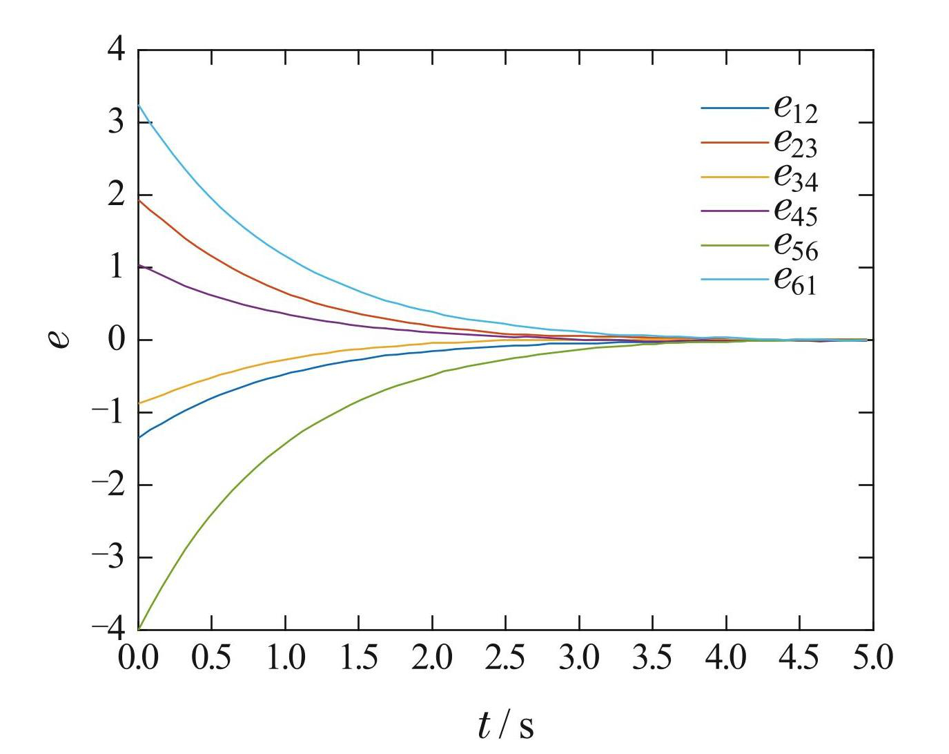
本文提出的分布式动态事件触发的模型预测控制与文献 [4] 中的反馈控制方法进行对比. 图3–4分别表示两种控制方法下触发时刻的可视化; 表1中对触发次数进行统计,可以看出本文所提控制方法的触发次数有所减少,有着更大的触发时间间隔; 图5–6分别表示两种控制方法下的状态变化图对比; 图7–8分别表示两种控制方法下的智能体之间的误差对比. 可以看出,本文所提出的控制方法使多智能体系统实现一致性,虽然误差收敛速度变慢,但状态演变曲线更加平滑. 因此,在动态事件触发的模型预测控制方法下,在不影响系统性能的前提下,能够节约通信资源,提高控制性能.
图3反馈控制方法下的触发时刻
Fig.3The triggering time instants under feedback control
图4MPC控制方法下的触发时刻
Fig.4The triggering time instants under MPC
表13种控制方法下各智能体触发次数
Table1The triggering times of each agent under three control laws
图5反馈控制方法下智能体i的各状态
Fig.5The states of agents under feedback control
图6MPC控制方法下智能体i的各状态
Fig.6The states of agents under MPC
图7反馈控制方法下的智能体间误差
Fig.7The errors between agents under feedback control
图8MPC控制方法下的智能体间误差
Fig.8The errors between agents under MPC
此外,本文还设计了自适应触发条件检验策略,事件验证间隔为 = 0.16 s,应用在分布式动态事件触发的模型预测控制的效果如图9–11所示. 另外,由表1可以看出触发次数进一步减少,内部时间间隔进一步增大,而控制性能基本不变.
图9自适应MPC控制方法下的触发时刻
Fig.9The triggering time instants under adaptive MPC
图10自适应MPC控制方法下智能体i的各状态
Fig.10The states of agents under adaptive MPC
图11自适应MPC控制方法下的智能体间误差
Fig.11The errors between agents under adaptive MPC
5 结论
针对多智能体系统一致性控制中,智能体之间信息持续交互导致的通信过载问题,本文提出了一种融合分布式动态事件触发机制和双模模型预测控制的解决方案,并设计了非周期、非持续、自适应的触发条件验证策略. 理论分析和数值仿真表明,所提控制方法的可行性和稳定性均得以保证,系统中每一个智能体都不存在Zeno现象,且多智能体系统实现一致性的控制目标. 本文方案与已有方法相比,能有效节约计算资源、通信资源,提高系统工作效率.