多执行器协同鲁棒平行驱动
doi: 10.7641/CTA.2025.40561
徐亮 , 徐翔 , 刘涛
南方科技大学深圳市控制理论与智能系统重点实验室, 广东 深圳 518055
Cooperative robust parallel operation of multiple actuators
XU Liang , XU Xiang , LIU Tao
Shenzhen Key Laboratory of Control Theory and Intelligent Systems, Southern University of Science and Technology, Shenzhen Guangdong 518055 , China
Funds: Supported by the Shenzhen Key Laboratory of Control Theory and Intelligent Systems (ZDSYS20220330161800001), the National Natural Science Foundation of China (62303207) and the Guangdong Basic and Applied Basic Research Foundation (2024A1515010725).
摘要
本文研究了多执行器在无向通信网络下的协同鲁棒平行驱动. 考虑一个具有不确定性的线性系统, 且所有执行器具有相同的线性动力学. 基于内模原理, 本文提出了一种分布式动态输出反馈控制律, 同步实现了闭环系统的鲁棒输出调节与系统输入在执行器之间的共享. 最后, 在外部负载扭矩作用下, 五台电机协同驱动不确定转轴的数值仿真验证了所提控制律的有效性.
Abstract
This paper studies cooperative robust parallel operation of multiple actuators over an undirected communication graph. The plant is modeled as an uncertain linear system, and the actuators are linear and identical. Based on the internal model principle, a distributed dynamic output feedback control law is proposed to achieve both robust output regulation of the closed-loop system and plant input sharing among the actuators. A practical example of five motors cooperatively driving an uncertain shaft under an external load torque is presented to show the effectiveness of the proposed control law.
1 Introduction
When confronted with the constraint of limited output power from a single actuator, employing parallel operation of multiple actuators emerges as an effective strategy for driving plants that require substantial power. Compared to single actuator operation, parallel operation of multiple actuators offers superior flexibility, reliability, and scalability. This straightforward approach has been widely applied to various practical systems, including motor-driven systems, direct current (DC) microgrids, and DC–DC converters.
A systematic classification of paralleling schemes for DC–DC converters was described in [1], which also discussed the associated control methods such as droop control and master-slave control. Droop control is simple to achieve current sharing without the need forcommunication among converters. However, a trade-off must be made between the accuracy of current sharing and that of output voltage regulation [2]. Master-slave control requires a communication link between the master and slaves, where one converter is dedicated to be the master whose output current becomes the reference for the remaining slave converters. Master-slave control can provide current sharing, but does not achieve redundancy, since a single point of failure happens to the master disables the entire system [3]. To address this issue, reference [4] developed a cooperative control framework for DC–DC converters over a communication graph. Some other related results can be found in, e.g., [5-7].
It is noted that droop control and master-slave control have also been applied to motor-driven systemsand DC microgrids. Similar to what is mentioned above, regulation errors may exist in droop control while master-slave control is vulnerable to failures. To overcome these drawbacks, techniques from cooperative control of multi-agent systems were adopted and some interesting results were obtained in, for example, [8-14]. In particular, reference [8] proposed a consensus-based parallel operation scheme for multiple identical electric motors that can achieve both speed regulation and load torque sharing. An extension of [8] that further ensures a fail-safe feature was given in [9], where the overall system can continue to operate even if a single motor fails. Reference [10] reviewed a hierarchical control architecture for DC microgrids, where centralized secondary control can eliminate the errors resulting from primary droop control. Still, the issue of a single point of failure persists. Fortunately, this issue can be resolved by replacing centralized secondary control with consensus-based distributed secondary control in [11]. Further, reference [12] developed a robust cooperative distributed secondary control strategy for DC microgrids that can handle load changes and distribution line failures. Reference [13] proposed a distributed optimization and control strategy that achieves the control targets within a predefined settling time. Other consensus-based distributed secondary control schemes for DC microgrids can be found in, e.g., [14].
While parallel operation has been extensively explored in the literature, its applications have been confined to specific engineering domains such as motordriven systems and power systems. Until recently, the authors of [15] introduced an innovative and systematic formulation of the cooperative parallel operation problem where both the plant and actuators are modeled as general linear systems. By devising a distributed dynamic output feedback control law, both output regulation and plant input sharing were achieved. Nevertheless, it is noteworthy that [15] assumes precise knowledge of the plant.
Recognizing that uncertainties are inevitable in practical engineering systems, it is crucial to further investigate the cooperative robust parallel operation problem. Although some robust results have been obtained in, e.g., [6], [12], and [14], these studies focused on specific applications, such as microgrids and converters, and a robust systematic design framework is still lacking. Motivated by this, we aim to explore the cooperative robust parallel operation problem in a general setup for uncertain linear plants. Leveraging the internal model principle [16-17], we propose a distributed dynamic output feedback control law that not only ensures output regulation and plant input sharing, but also allows the plant to accommodate uncertainties to a certain degree.
The rest of this paper is organized as follows. Section 2 reviews the classic robust output regulation problem. Then, the cooperative robust parallel operation problem is formulated in Section 3 and the solvability of the problem is established in Section 4. Section 5 presents a numerical example and Section 6 concludes the paper.
Notation:R, C, andC¯+denote the real number field, the complex number field, and the closed right half complex plane, respectively.denotes Kronecker product of matrices.1N denotes an N-dimensional vector whose coordinates are all 1. 0 denotes a vector or matrix of zeros with appropriate dimensions. ForxiRni, i=1, , N, colx1, , xN=x1TxNTTvec (A) =colA1, , AnwithAi, i=1, , n, being the ith column of the matrix A.
2 Linear robust output regulation
In this section, we introduce a linear robust output regulation problem where an uncertain linear plant is driven by a single linear actuator. The solvability of this problem can be easily obtained via the classic linear output regulation theory.
Consider an uncertain linear plant described as follows:
x ˙ p = A ¯ p x p + B ¯ p u p + E ¯ p v e = C ¯ p x p + F ¯ p v
(1)
wherexpRnp, upRmp, andeRpare the state, the input, and the error output of the plant, respectively; A-p, B-p, C-p, E-p, andF-pare uncertain constant matrices of conformal dimensions; vRqis the exogenous signal representing the reference input and/or the external disturbance and is assumed to be generated by the following exosystem:
v˙=Sv,
(2)
withSRq×qbeing a constant matrix.
Like in [16], it is assumed that the uncertain constant matricesA-p, B-p, C-p, E-p, andF-ptake the following forms:
A-p=Ap+δAp, B-p=Bp+δBp, C-p=Cp+δCp, E-p=Ep+δEp, F-p=Fp+δFp,
whereAp, Bp, Cp, Ep, andFpare known constant matrices representing the nominal part of the plant, whileδAp, δBp, δCp, δEpandδFpare unknown constant matrices representing the uncertain part. For convenience, we identify the plant uncertainties with a single vector w as
w:=vecδApvecδBpvecδCpvecδEpvecδFpRnpnp+mp+p+q+pq.
Suppose the plant (1) is driven by a single linear actuator modeled as
x ˙ a = A a x a + B a u , u p = C a x a ,
(3)
wherexaRnaanduRmare the state and the control input of the actuator, respectively, upRmPis both the output of the actuator and the input to the plant, and Aa, Ba, and Ca are constant matrices of conformal dimensions.
Letx=colxp, xaRnp+na.Then, the openloop system composed of the plant (1) and the actuator (3) is described by
x ˙ = A w x + B u + E w v e = C w x + F w v
(4)
where
A w = A ¯ p B ¯ p C a 0 A a , B = 0 B a , E w = E ¯ p 0 C w = C ¯ p 0 , F w = F ¯ p .
(5)
Consider designing a dynamic output feedback control law of the following form:
u = K z z ˙ = G 1 z + G 2 e
(6)
wherezRncwith nc to be specified, and K ∈Rm×nc, G1Rnc×nc, andG2Rnc×pare constant matrices to be designed. Then, the closed-loop system consisting of the plant (1) , the exosystem (2) , the actuator (3) , and the control law (6) can be put into the following compact form:
x ˙ c = A cw x c + B cw v , v ˙ = S v , e = C cw x c + D cw v ,
(7)
wherexc=col (x, z) Rnp+na+ncand
A cw = A w B K G 2 C w G 1 , B cw = E w G 2 F w , C cw = C w 0 , D cw = F w .
(8)
Correspondingly, the nominal closed-loop system matrix is denoted by
Ac0=ABKG2CG1,
in which,
A=ApBpCa0Aa,C=Cp 0
(9)
are the nominal open-loop system matrix and output matrix, respectively.
Now we can describe the linear robust output regulation problem with a single linear actuator as follows.
Problem 1 Given the plant (1) , the exosystem (2) , and the actuator (3) , design a dynamic output feedback control law of the form (6) such that the closedloop system (7) has the following two properties:
i) The nominal closed-loop system matrix Ac0 is Hurwitz;
ii) There exists an open neighborhood W of w = 0 such that, for any initial conditionsxc (0) Rnp+na+ncandv (0) Rq, and for all wW, the solution of the closed-loop system satisfieslimt e (t) =0.
Next, to solve Problem 1, the following assumptions are needed, which are all standard assumptions in the output regulation literature [16, 18], and [19].
Assumption 1 The eigenvalues of S have nonnegative real parts.
Assumption 2 The matrix pair (A, B) is stabilizable.
Assumption 3 The matrix pair (C, A) is detectable.
Assumption 4 For allλλC:detλIq-S) =0},
rankA-λInp+naBC0=np+na+p.
Due to the presence of the uncertain parameter w, Problem 1 is categorized as a robust output regulation problem. In particular, it can be handled by a celebrated design methodology called the internal model principle. Hence, we further introduce the notion of minimal p-copy internal model and a corresponding technical lemma. Then, we end this section with a remark on the solvability of Problem 1.
Definition 1 (Definition 1.22 of [16]) A pair of matrices (G1, G2) is said to be a minimum p-copy internal model of the matrix S if
G1=blockdiag{β, , βp-tuple }, G2=blockdiag{σ, , σp-tuple },
where β is a square matrix whose characteristic polynomial equals the minimal polynomial of S, and σ is a column vector such that the pair (β, σ) is controllable.
Lemma 1 (Lemma1.26 of [16]) Under Assumptions 1, 2, and 4, if (G1, G2) is a minimal p-copy internal model of S, then the following matrix pair:
A0G2CG1, B0
is stabilizable.
Remark 1 By applying Theorems 1.30 and 1.31 of [16], it can be shown that under Assumptions 1 to 4, Problem 1 is solvable by a dynamic output feedback control law of the form (6) . Specifically, the constant matricesK, G1, andG2are designed as follows:
1) Under Assumptions 1, 2, and 4, by using Lemma 1, choose K = [K1 K2] withK1Rm×np+naandK2Rm×pqsuch that the matrix
A0G2CG1+B0K1 K2
is Hurwitz.
2) Under Assumption 3, chooseLRnp+na×psuch that the matrix ALC is Hurwitz.
3) DesignG1andG2as
G1=A+BK1-LCBK20G1Rnc×nc, G2=LG2Rnc×p,
in which nc = np + na + pl with l being the degree of the minimal polynomial of S.
3 Problem formulation
In this section, we further formulate the cooperative robust parallel operation problem of multiple actuators. The non-robust version of this problem was first formulated and studied in [15].
Consider the uncertain linear plant (1) and the exosystem (2) again. Different from the scenario in Section 2, where the plant (1) is driven by a single linear actuator in Eq. (3) , we consider the scenario where the plant (1) is driven by N identical linear actuators described as follows:
x˙i=Aaxi+Baui,
(10a)
yi=Caxi,i=1,,N,
(10b)
up=i=1N yi,
(10c)
wherexiRna, uiRm, andyiRmpare the state, the control input, and the output of the ith actuator, respectively, andupRmpis both the sum of the outputs of the N actuators and the input to the plant (1) .
Now, instead of designing one dynamic output feedback control law of the form (6) , we need to design N controllers, each for one of the actuators in Eq. (10) . However, these N controllers are not independent of each other. It is assumed that the controllers are able to share their local information through communication. The information-sharing topology is described by an undirected graphG= (V, E) withV={1, 2, , N}andEV×V. The nodes ofVrepresent the controllers and each edge of E represents a communication link between the corresponding pair of controllers. Then, (j, i) E, i, jV, indicates that the ith controller and the jth controller can exchange their local information. Thus, in what follows, we will consider a distributed dynamic output feedback control law of the following form:
ui=Kzi,i=1,,N,
(11a)
z˙i=G1zi+G2e+Jj=1N aijzj-zi,
(11b)
where, for i=1, , N, ziRnc is the state of the ith controller with nc to be specified, KRm×nc, G1Rnc×nc, G2Rnc×p, JRnc×ncare constant matrices to be designed, and, for i, j = 1, · · ·, N, aij are entries of the weighted adjacency matrixARN×Nof the graphG.
Define the average statex-aRnaand the average inputu-Rmof the N actuators in Eq. (10) as follows:
x-a=1Ni=1N xi, u-=1Ni=1N ui
and letx=colxp, x-aRnp+na.Then, the following open-loop system composed of the plant (1) and the average dynamics of the N actuators in Eq. (10) can be obtained:
x ˙ = A w x + B u ¯ + E w v e = C w x + F w v
(12)
where
Aw=A-pNB-pCa0Aa
(13)
and B, Cw, Ew, and Fw are the same as those defined in Eq. (5) .
Further, define the average statez-Rncof the N controllers in Eq. (11) as follows:
z-=1Ni=1N zi.
Then, the average dynamics of the N controllers in Eq. (11) can be put into the following compact form:
u ¯ = K z ¯ , z ¯ ˙ = G 1 z ¯ + G 2 e 1 N 1 N T I n c ( L J ) z ,
(14)
in which,
z=colz1,z2,,zNRNnc
(15)
and LRN×N is the Laplacian matrix of the graphGthat satisfiesL1N=0.Since G is undirected, L is symmetric. Thus, 1NTL=0 and the average dynamics (14) reduce to
u ¯ = K z ¯ , z ¯ ˙ = G 1 z ¯ + G 2 e .
(16)
Putting the exosystem (2) , the open-loop system (12) , and the average dynamics (16) of the N controllers in Eq. (11) together, we obtain the following closedloop system:
x ˙ c = A cw x c + B cw v , v ˙ = S v , e = C cw x c + D cw v ,
(17)
wherexc=col (x, z-) Rnp+na+nc,
Acw=AwBKG2CwG1
and, Bcw, Ccw, and Dcw are the same as those defined in Eq. (8) . Correspondingly, we denote the nominal closed-loop system matrix by
Ac0=ABKG2CG1,
in which,
A=ApNBpCa0Aa
and, B and C are defined in Eq. (5) and Eq. (9) , respectively.
Now we are ready to present the cooperative robust parallel operation problem of multiple actuators.
Problem 2 Given the plant (1) , the exosystem (2) , the N actuators in Eq. (10) , and an undirected graph G, design a distributed dynamic output feedback control law of the form (11) such that the closed-loop system (17) has the following three properties:
I) The nominal closed-loop system matrix Ac0 is Hurwitz;
II) There exists an open neighborhood W of w = 0 such that, for any initial conditionsxc (0) Rnp+na+ncandv (0) Rq, and for all wW, the solution of the closed-loop system satisfieslimt e (t) =0
III) The input to the plant is shared by the N actuators in the sense thatlimt yi (t) -yj (t) =0, ij, i, j=1, , N.
Remark 2 It can be seen that Problem 1 is a special case of Problem 2 when N = 1. Compared to Problem 1, Property III) is an additional requirement in Problem 2. To ensure this property, we propose a distributed dynamic control law with coupling terms, as shown in Eq. (11) . It should be noted that, although the control law (11) resembles that in [15], their design methods are quite different. Specifically, the control law in [15] is designed based on the feedforward control approach. In contrast, the control law (11) is designed based on the internal model approach. As a result, the specific designs of the parameters in Eq. (11) differ from those in [15].
In order to solve Problem 2, two more assumptions are needed as follows.
Assumption 5 The graphGis connected.
Assumption 6 The matrix Aa is Hurwitz.
4 Main results
In this section, we establish three technical lemmas and then show the solvability of Problem 2.
To begin with, we reveal an interesting equivalence relation between Assumptions 2 to 4 for the nominalpart of the open-loop system (4) with a single actuator and the corresponding assumptions for the nominal part of the open-loop system (12) with multiple actuators.
a) The matrix pair (A, B) is stabilizable.
b) The matrix pair (C, A) is detectable.
c) For all λλC:detλIq-S=0,
rankA-λIBC0=np+na+p.
Proof We first show that Assumption 2 is equivalent to Assumption a) .
For any positive integer N, define
MN (λ) :=Ap-λINBpCa00Aa-λIBa.
By the PBH (Popov-Belevitch-Hautus) test, Assumption a) holds if and only if rank MN (λ) = np + na, λC¯+.Also, Assumption 2 holds if and only if rankM1 (λ) -np+na, λC¯+. Let
T1=NInp00Ina, T2=1NInp000Ina000Im
Then, it is verified that MN (λ) = T1M1 (λ) T2. Since T1 and T2 are nonsingular for any positive integer N, we have
rankMN (λ) =rankM1 (λ)
Thus, Assumption 2 holds if and only if Assumption a) holds.
Next, we show that Assumption 3 is equivalent to Assumption b) .
For any positive integer N, define
ΞN (λ) :=Ap-λINBpCa0Aa-λICp0.
Again, by the PBH test, Assumption b) holds if and only ifrankΞN (λ) =np+na, λC¯+and Assumption 3 holds if and only if rankΞ1 (λ) =np+na, λC¯+.
Let
T3=NInp000Ina000NIp, T4=1NInp00Ina,
which are nonsingular for any positive integer N. Then, it is easily verified thatΞN (λ) =T3Ξ1 (λ) T4.Thus, we obtain
rankΞN (λ) =rankΞ1 (λ)
and, from which, the equivalence between Assumption 3 and Assumption b) follows.
Finally, for any positive integer N, define
ΥN (λ) :=Ap-λINBpCa00Aa-λIBaCp00
and let
T5=NInp000Ina000NIp, T6=1NInp000Ina000Im.
Since ΥN (λ) = T5Υ1 (λ) T6, and T5 and T6 are nonsingular, we have Assumption 4 holds if and only if Assumption c) holds. The overall proof is thus complete.
It is noted that the equivalence between Assumption 2 and Assumption a) of Lemma2 was also established in [15]. As a result of Lemma2, the design procedure of a dynamic output feedback control law for solving Problem 1, as sketched in Remark 1, can also be used in the design of a distributed dynamic output feedback control law for partially solving Problem 2. We put this outcome into the following lemma.
Lemma 3 Under Assumptions 1 to 4, there existK, G1, andG2for the distributed dynamic output feedback control law (11) , such that Properties I) and II) of Problem 2 are satisfied.
Proof Since the graphGis assumed to be undirected, the closed-loop system (17) of Problem 2 is in the same form as the closed-loop system (7) of Problem 1. In addition, Properties i) and ii) of Problem 1 are the same as Properties I) and II) of Problem 2.
According to Lemma2, the satisfaction of Assumptions 2 to 4 implies the satisfaction of Assumptions a) to c) in Lemma2. Thus, by Lemma1, the following matrix pair:
A0G2CG1,B0
(18)
is stabilizable. Then, the proof is completed by using the same arguments as those in Remark 1 and the design of the matricesK, G1, andG2is based on Eq. (18) .
The proposed distributed dynamic output feedback control law (11) involves designing the matricesK, G1, G2, and J. As noted in the proof of Lemma3, due to the symmetry of the information-sharing topology, the closed-loop system (17) is independent of J. Therefore, as long as the matrices K, G1, and G2 are as designed in Lemma3, Properties I) and II) of Problem 2 are satisfied. As for the matrix J, it is used for achieving Property III) of Problem 2 and its design is given by the following lemma.
Lemma4 Under Assumptions 1 to 4, design K, G1, and G2 as in Lemma3. Further, under Assumptions5 and 6, design J such that the matricesG2G1-λiJ, i=2, , N}are Hurwitz whereλ2, , λNare the nonzero eigenvalues ofL.Then, Property III) of Problem 2 is achieved by the distributed dynamic output feedback control law (11) .
Proof We first note that, under Assumption 5, the Laplacian matrixLRN×Nof the undirected graphGis symmetric, has a simple eigenvalue λ1 = 0, and has (N − 1) positive eigenvalues {λ2, · · ·, λN }; see, e.g., [20].
Next, recall the definition of z in Eq. (15) . From Eq. (11b) , we can obtain
z˙=ING1z-(LJ)z+1NG2e.
(19)
LetZ=LIncz.Then, it follows from Eq. (19) that
Z˙=LIncz˙=LIncING1z-(LJ)z+1NG2e=ING1LIncz-(LJ)LIncz=ING1Z-(LJ)Z
(20)
Under Assumption 5, there existURN×N, VRN× (N-1) , andYR (N-1) ×Nsuch that
U=1N V, U-1=1N1NTY,
and
U-1LU=diag0, λ2, , λN.
LetZ-=U-1IncZ.Then, it further follows from Eq. (20) that
Z-˙=ING1Z--U-1LUJZ-=G100IN-1G1-diagλ2,,λNJZ-.
(21)
PartitionZ-=colZ-1, , Z-NRNncwithZ-iRnc, i=1, , N.Due to the definitions ofZ-and Z, we have
Z-1=1NTIncZ=1NTIncLIncz0.
Furthermore, by our design of J, the matrixIN-1G1-diagλ2, , λN_Jin system (21) is Hurwitz. Thus, we havelimt Z- (t) =0and hencelimt Z (t) =0.
Now, since the null space of the matrixLIncis spanned by the columns of the matrix1NInc,
limt Z (t) =limt LIncz (t) =0
implies that
limt zi (t) -zj (t) =0, ij, i, j=1, , N.
From Eq. (10a) and Eq. (11a) , we have
x˙i-x˙j=Aaxi-xj+BaKzi-zj,
(22)
for ij, i, j = 1, · · ·, N. Since Aa is assumed to beHurwitz, system (22) is seen to be a strictly stable linear system with an asymptotically decaying input. Thus, we have
limt xi (t) -xj (t) =0, ij, i, j=1, , N,
from which, Property III) of Problem 2 is satisfied.
Finally, combining Lemmas 3 and 4 yields the solvability of Problem 2 as follows.
Theorem 1 Under Assumptions 1 to 6, there existK, G1, G2, and J for the distributed dynamic output feedback control law (11) that solves Problem 2.
5 A numerical example
In this section, we give a numerical example to demonstrate the effectiveness of our design. The example is adopted from [15] which describes cooperative parallel operation of five electric motors collectively driving a common shaft under an external load torque. More interestingly, we consider cooperative robust parallel operation that allows the parameters of the plant to be uncertain and undergo perturbations.
The plant model is expressed as
x˙p=010-BpJpxp+01Jpup+00000-1Jpv, e=-10xp+100v,
wherexp=col (θ, θ˙) with θ being the angle of the common shaft and e = θrθ with θr being the reference angle; JpandBprepresent the moment of inertia and the damping coefficient, respectively. Suppose the external load torque TL is constant and the reference angle θr is a sinusoidal function with frequency ω >0. Thenv=colθr, θr, TLcan be generated by an exosystem of form (4) with
S=010-ω200000
Hence, Assumption 1 is satisfied.
The input up to the plant is the sum of torques yi , i = 1, · · ·, 5, generated by the electric motors described below:
x˙i=-RaLaxi+kaLaui, yi=xi, i=1, , 5,
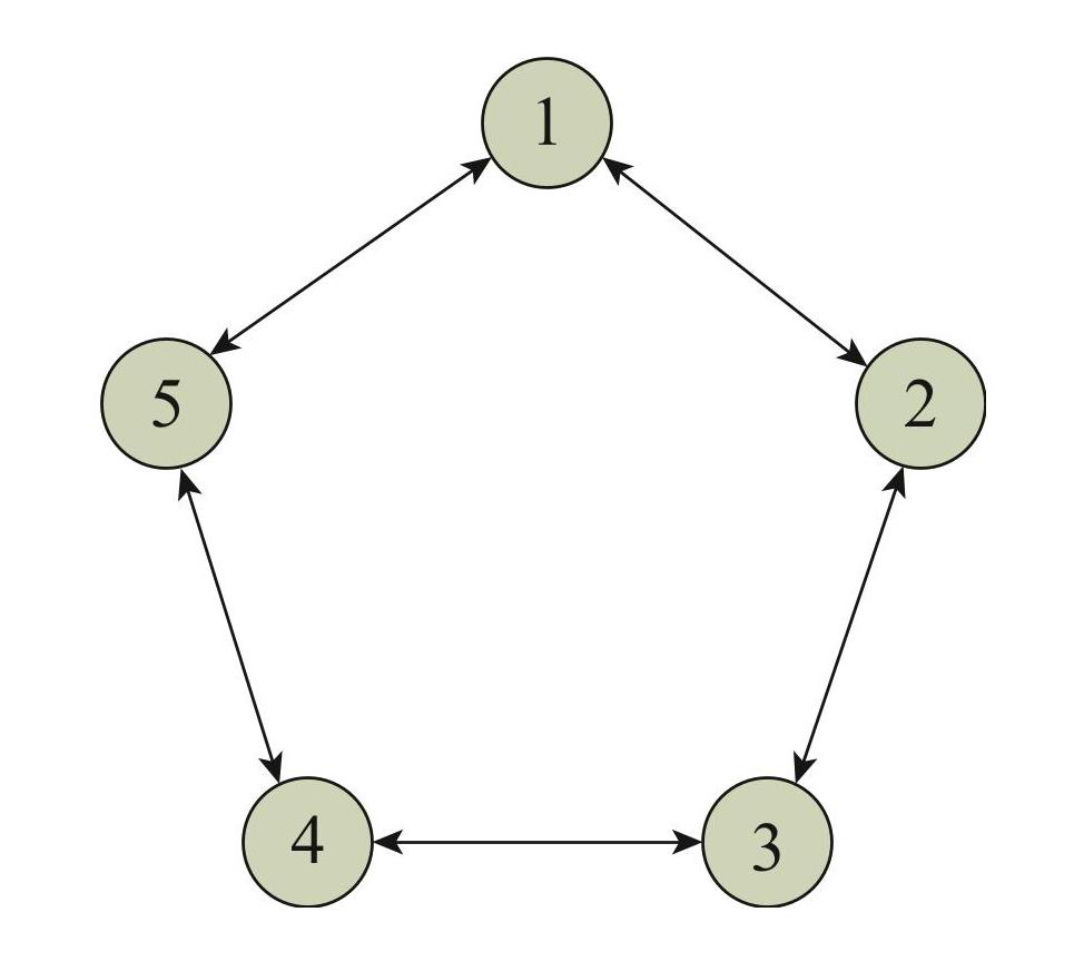
where, for i = 1, · · ·, 5, ui is the voltage input of the ith electric motor and, Ra, La, and ka are the resistance, inductance, and torque constant, respectively. Since Ra, La, and ka are positive, Assumption 6 is satisfied. What’s more, the information-sharing topology among the five electric motors is shown in Fig.1, which clearly verifies Assumption 5.
Suppose the nominal values ofJpandBpare both1, the frequency ω = 2, Ra = 0.1, TL = 2, La = 0.01, ka = 1, and aij = 1 when (j, i) ∈ E, i, j = 1, · · ·, 5. Then, it can be verified via routine calculations that Assumptions 2 to 4 also hold.
Fig.1The communication G graph among all motors
As a result of Theorem 1, the cooperative robust parallel operation problem for five electric motors collectively driving a common shaft under an external load torque can be solved by designing a distributed dynamic output feedback control law of the form (11) .
The design procedure is summarized as follows:
1) Firstly, based on S, design a 1-copy internal model as
G1=0100010-40, G2=001
2) SinceA0G2CG1, B0is controllable, choose
K1=-0.8720-0.2220-0.0700, K2=1.2000-0.98801.1580,
so thatA0G2CG1+B0K1 K2is Hurwitz.
3) Since (C, A) is observable, choose
L=5.0000 -56.0000 100.8000,
so that ALC is Hurwitz.
4) Next, design G1 and G2 as
G1=A+BK1-LCBK20G1, G2=LG2.
5) Finally, design J = 15I5, which guarantees thatG1-λiJ, i=2, , 5are Hurwitz.
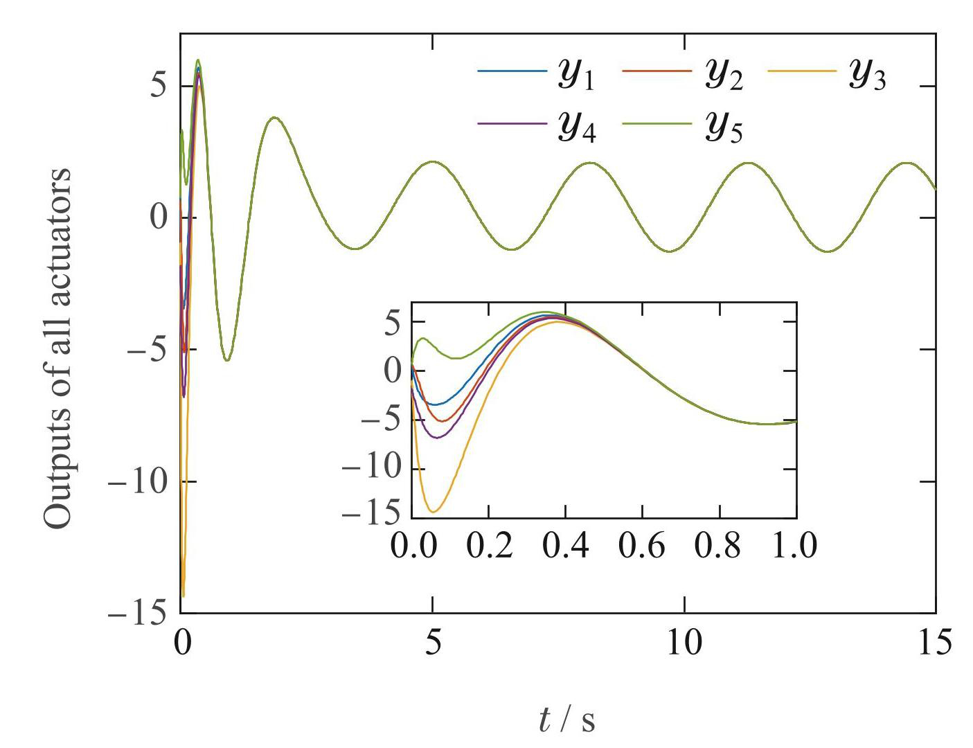
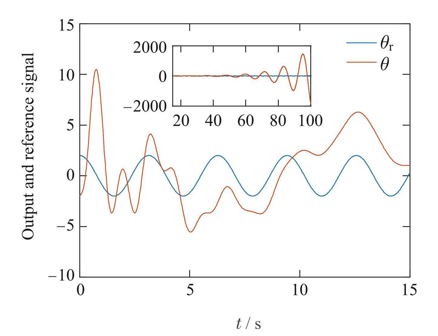
The simulation of the closed-loop system is performed with Jp=0.6 and Bp=1.4, both of which deviate from their nominal values at 1. Fig.2 shows the tracking performance of θ to θr . Fig.3 shows that the input up to the plant is equally shared by output torques yi, i = 1, · · ·, 5 of the five electric motors. Despite the uncertainties of Jp and Bp , asymptotic tracking and input sharing are observed.
Fig.2The reference signal and the plant output under the control law (11)
Fig.3The plant input provided by all actuators under the control law (11)
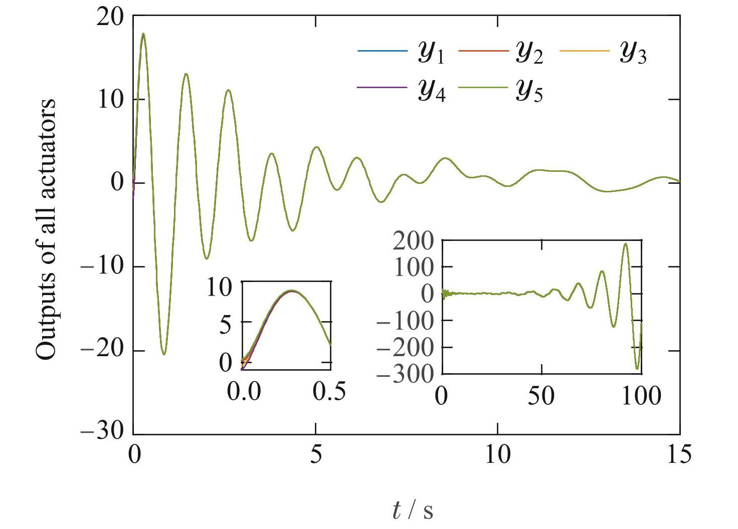
Furthermore, we perform a comparative simulation using the control law from [15]. The simulation results are shown in Figs.4–5. Fig.4 shows the plant output trajectory and the desired reference trajectory. It is seen that the output regulation of the closed-loop system is not achieved. Moreover, as shown in Fig.5, applying the control law from [15] may lead to an unstable closed-loop system. Although plant input sharing among all actuators can be achieved, the common trajectory becomes unbounded.
Fig.4The reference signal and the plant output using the control law from [15]
Fig.5The plant input provided by all actuators using the control law from [15]
6 Conclusions
In this paper, we have studied the cooperative robust parallel operation problem where a linear uncertain plant is collectively driven by multiple actuators. Assuming that the communication graph among the actuators is undirected and connected, we have proposed a distributed dynamic output control law based on the internal model principle. Our study demonstrates that, under the same standard assumptions as used in the output regulation literature, both robust output regulation of the closed-loop system and plant input sharing among the actuators can be achieved. Extensions of the current study to general digraphs and to switching graphs are underway. Additionally, investigating cooperative parallel operation involving non-identical or uncertain actuators presents an intriguing avenue for future research.
HUANG Y, CHI K T. Circuit theoretic classification of parallel connected DC-DC converters. IEEE Transactions on Circuits and Systems I: Regular Papers,2007,54(5):1099-1108.
IRVING B T, JOVANOVIĆM M. Analysis,design,and performance evaluation of droop current-sharing method. Proceedings of the 15th Annual IEEE Applied Power Electronics Conference and Exposition. New Orleans: IEEE,2000:235-241.
PANOV Y, RAJAGOPALAN J, LEE F C. Analysis and design of N paralleled DC-DC converters with master-slave current-sharing control. Proceedings of APEC 97-Applied Power Electronics Conference. Atlanta: IEEE,1997:436-442.
BEHJATI H, DAVOUDI A, LEWIS F. Modular DC-DC converters on graphs: Cooperative control. IEEE Transactions on Power Electronics,2014,29(12):6725-6741.
SADABADI M S. A distributed control strategy for parallel DC-DC converters. IEEE Control Systems Letters,2021,5(4):1231-1236.
GHAMARI S M, MOLLAEE H, KHAVARI F. Robust self-tuning regressive adaptive controller design for a DC-DC buck converter. Measurement,2021,174:109071.
BALDIVIESO-MONASTERIOS P R, SADABADI M S, KONSTANTOPOULOS G C. Two-layer nonlinear control of DC-DC buck converters with meshed network topology. Automatica,2023,155:111111.
LEE H J, LIM Y H, OH K K. Consensus based parallel operation of electric motors ensuring speed regulation and load torque sharing. International Journal of Control, Automation,and Systems,2021,19(9):3111-3121.
LIM Y H, LEE H J, OH K K. Current coupling based parallel operation of multiple electric motors. International Journal of Control, Automation and Systems,2023,21(4):1233-1242.
GAO F, KANG R, CAO J,et al. Primary and secondary control in DC microgrids: A review. Journal of Modern Power Systems and Clean Energy,2019,7(2):227-242.
MENG L, DRÁGICÉVIC T, ROLDAN-P EREZ J,et al. Modeling and sensitivity study of consensus algorithm-based distributed hierarchical control for DC microgrids. IEEE Transactions on Smart Grid,2016,7(3):1504-1515.
SADABADI M S, MIJATOVIC N, DRAGIĆEVIČ T. A robust co-operative distributed secondary control strategy for DC microgrids with fewer communication requirements. IEEE Transactions on Power Electronics,2023,38(1):271-282.
WANG Y W, ZHANG Y, LIU X K,et al. Distributed predefined-time optimization and control for multi-bus DC microgrid. IEEE Transactions on Power Systems,2024,39(4):5769-5779.
MORADI M, HEYDARI M, ZAREI S F. An overview on consensusbased distributed secondary control schemes in DC microgrids. Electric Power Systems Research,2023,225:109870.
LIM Y H, OH K K. Cooperative parallel operation of multiple actuators. Automatica,2024,162:111515.
HUANG J. Nonlinear Output Regulation: Theory and Applications. Philadelphia, PA: SIAM,2004.
SU Y, CAI H, HUANG J. An overview on the distributed internal model approach and its applications. Control Theory and Technology,2024,22(3):345-359.
WU X, YU X, LAN W. Composite nonlinear feedback control for cooperative output regulation of linear multi-agent systems by a distributed dynamic compensator. Control Theory and Technology,2023,21(3):414-424.
SU Y, HONG Y, HUANG J. A general result on the robust cooperative output regulation for linear uncertain multi-agent systems. IEEE Transactions on Automatic Control,2013,58(5):1275-1279.
LI Z, DUAN Z. Cooperative Control of Multi-agent Systems: A Consensus Region Approach. Boca Raton, FL: CRC Press,2014.